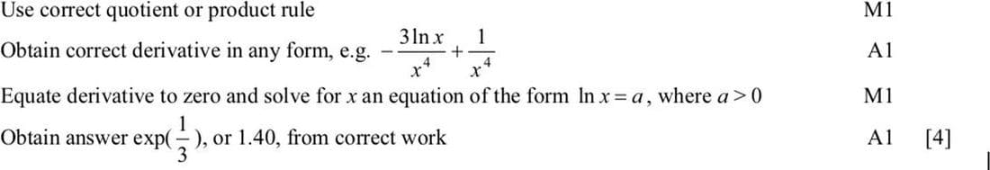
To find the stationary point, we need to find the derivative of \(y = \frac{\ln x}{x^3}\) and set it to zero.
Using the quotient rule, \(\frac{d}{dx} \left( \frac{u}{v} \right) = \frac{v \frac{du}{dx} - u \frac{dv}{dx}}{v^2}\), where \(u = \ln x\) and \(v = x^3\).
\(\frac{du}{dx} = \frac{1}{x}\) and \(\frac{dv}{dx} = 3x^2\).
Thus, \(\frac{dy}{dx} = \frac{x^3 \cdot \frac{1}{x} - \ln x \cdot 3x^2}{x^6} = \frac{x^2 - 3x^2 \ln x}{x^6} = \frac{1 - 3 \ln x}{x^4}\).
Set \(\frac{dy}{dx} = 0\):
\(\frac{1 - 3 \ln x}{x^4} = 0\).
This implies \(1 - 3 \ln x = 0\).
Solving for \(x\), we get \(3 \ln x = 1\).
\(\ln x = \frac{1}{3}\).
Therefore, \(x = e^{1/3}\), which is approximately 1.40.