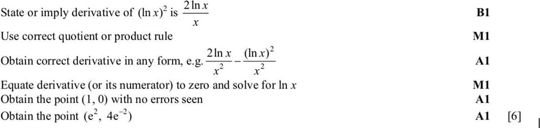
To find the stationary points, we need to find the derivative of \(y = \frac{{(\ln x)^2}}{x}\) and set it to zero.
Using the quotient rule, if \(u = (\ln x)^2\) and \(v = x\), then \(y = \frac{u}{v}\).
The derivative is given by:
\(\frac{dy}{dx} = \frac{v \cdot \frac{du}{dx} - u \cdot \frac{dv}{dx}}{v^2}\)
\(\frac{du}{dx} = 2 \ln x \cdot \frac{1}{x} = \frac{2 \ln x}{x}\)
\(\frac{dv}{dx} = 1\)
Substituting these into the quotient rule:
\(\frac{dy}{dx} = \frac{x \cdot \frac{2 \ln x}{x} - (\ln x)^2 \cdot 1}{x^2}\)
\(= \frac{2 \ln x - (\ln x)^2}{x^2}\)
Setting \(\frac{dy}{dx} = 0\) gives:
\(2 \ln x - (\ln x)^2 = 0\)
\(\ln x (2 - \ln x) = 0\)
This gives \(\ln x = 0\) or \(\ln x = 2\).
If \(\ln x = 0\), then \(x = e^0 = 1\).
If \(\ln x = 2\), then \(x = e^2\).
For \(x = 1\), \(y = \frac{(\ln 1)^2}{1} = 0\).
For \(x = e^2\), \(y = \frac{(\ln e^2)^2}{e^2} = \frac{4}{e^2} = 4e^{-2}\).
Thus, the stationary points are \((1, 0)\) and \(\left(e^2, 4e^{-2}\right)\).