Express \(4x^2 - 12x + 13\) in the form \((2x + a)^2 + b\), where \(a\) and \(b\) are constants.
The function \(f\) is defined by \(f(x) = x^2 - 4x + 8\) for \(x \in \mathbb{R}\). Express \(x^2 - 4x + 8\) in the form \((x-a)^2 + b\).
Express \(3x^2 - 12x + 7\) in the form \(a(x + b)^2 + c\), where \(a\), \(b\), and \(c\) are constants.
Express \(x^2 + 6x + 2\) in the form \((x + a)^2 + b\), where \(a\) and \(b\) are constants.
The function \(f\) is defined for \(x \in \mathbb{R}\) by \(f(x) = x^2 + ax + b\), where \(a\) and \(b\) are constants. The solutions of the equation \(f(x) = 0\) are \(x = 1\) and \(x = 9\). Find:
Express \(2x^2 - 12x + 7\) in the form \(a(x+b)^2 + c\), where \(a, b\) and \(c\) are constants.
Express \(2x^2 - 10x + 8\) in the form \(a(x + b)^2 + c\), where \(a\), \(b\), and \(c\) are constants, and use your answer to state the minimum value of \(2x^2 - 10x + 8\).
Express \(4x^2 - 12x\) in the form \((2x + a)^2 + b\).
A curve is described by the equation \(y = 2x^2 - 3x\). Express \(2x^2 - 3x\) in the form \(a(x + b)^2 + c\), where \(a\), \(b\), and \(c\) are constants, and determine the coordinates of the vertex of the curve.
The function \(f\) is defined as \(f(x) = 8 - (x - 2)^2\), for \(x \in \mathbb{R}\). Find the coordinates and the nature of the stationary point on the curve \(y = f(x)\).
Rewrite the expression \(x^2 - 4x + 5\) in the form \((x + a)^2 + b\). Then, find the coordinates of the minimum point on the curve.
Express \(4x^2 - 24x + p\) in the form \(a(x + b)^2 + c\), where \(a\) and \(b\) are integers and \(c\) is to be given in terms of the constant \(p\).
Express \(2x^2 - 4x + 1\) in the form \(a(x + b)^2 + c\) and hence state the coordinates of the minimum point, \(A\), on the curve \(y = 2x^2 - 4x + 1\).
The equation of a curve is \(y = 4x^2 + 20x + 6\).
(a) Express \(x^2 - 8x + 11\) in the form \((x + p)^2 + q\) where \(p\) and \(q\) are constants.
(b) Hence find the exact solutions of the equation \(x^2 - 8x + 11 = 1\).
Express \(2x^2 - 8x + 14\) in the form \(2[(x-a)^2 + b]\).
Rewrite the expression \(5y^2 - 30y + 50\) in the form \(5(y + a)^2 + b\), where \(a\) and \(b\) are constants.
Express \(16x^2 - 24x + 10\) in the form \((4x + a)^2 + b\).
Express \(x^2 + 6x + 5\) in the form \((x + a)^2 + b\), where \(a\) and \(b\) are constants.
The equation of a curve is given by \(y = 2x^2 + kx + k - 1\), where \(k\) is a constant. Given that \(k = 2\), express the equation of the curve in the form \(y = 2(x + a)^2 + b\), where \(a\) and \(b\) are constants. Also, state the coordinates of the vertex of the curve.
A line has equation \(y = 6x - c\) and a curve has equation \(y = cx^2 + 2x - 3\), where \(c\) is a constant. The line is a tangent to the curve at point \(P\).
Find the possible values of \(c\) and the corresponding coordinates of \(P\).
The line x + 2y = 9 intersects the curve xy + 18 = 0 at the points A and B. Find the coordinates of A and B.
The equation of a curve is \(y = 4x^2 - kx + \frac{1}{2}k^2\) and the equation of a line is \(y = x - a\), where \(k\) and \(a\) are constants.
Given that the curve and the line intersect at the points with \(x\)-coordinates 0 and \(\frac{3}{4}\), find the values of \(k\) and \(a\).
A line with equation \(y = mx - 6\) is a tangent to the curve with equation \(y = x^2 - 4x + 3\).
Find the possible values of the constant \(m\), and the corresponding coordinates of the points at which the line touches the curve.
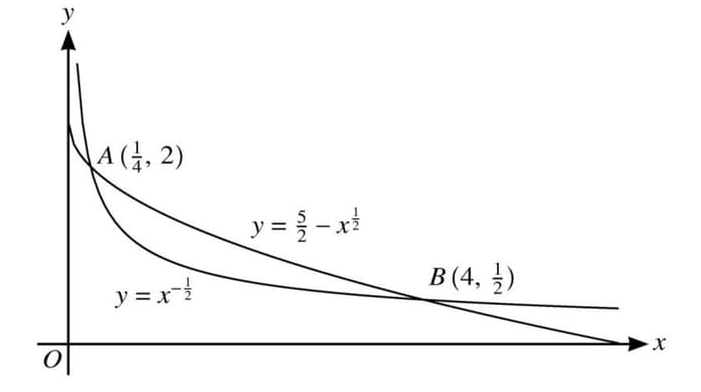
The diagram shows the curve \(y = 7\sqrt{x}\) and the line \(y = 6x + k\), where \(k\) is a constant. The curve and the line intersect at the points \(A\) and \(B\).
For the case where \(k = 2\), find the \(x\)-coordinates of \(A\) and \(B\).

The equation of a curve is \(y^2 + 2x = 13\) and the equation of a line is \(2y + x = k\), where \(k\) is a constant. In the case where \(k = 8\), find the coordinates of the points of intersection of the line and the curve.
The diagram shows the line \(2y = x + 5\) and the curve \(y = x^2 - 4x + 7\), which intersect at the points \(A\) and \(B\). Findthe \(x\)-coordinates of \(A\) and \(B\),

The equation of a curve C is \(y = 2x^2 - 8x + 9\) and the equation of a line L is \(x + y = 3\).
(i) Find the x-coordinates of the points of intersection of L and C.
(ii) Show that one of these points is also the stationary point of C.
The equation of a curve is \(xy = 12\) and the equation of a line \(l\) is \(2x + y = k\), where \(k\) is a constant.
In the case where \(k = 11\), find the coordinates of the points of intersection of \(l\) and the curve.
Find the coordinates of the points of intersection of the line \(y + 2x = 11\) and the curve \(xy = 12\).
The diagram shows part of the curve \(y = x(9 - x^2)\) and the line \(y = 5x\), intersecting at the origin \(O\) and the point \(R\). Point \(P\) lies on the line \(y = 5x\) between \(O\) and \(R\) and the \(x\)-coordinate of \(P\) is \(t\). Point \(Q\) lies on the curve and \(PQ\) is parallel to the \(y\)-axis.

Points A and B lie on the curve \(y = x^2 - 4x + 7\). Point A has coordinates (4, 7) and B is the stationary point of the curve. The equation of a line L is \(y = mx - 2\), where \(m\) is a constant.
(i) In the case where L passes through the mid-point of AB, find the value of \(m\).
(ii) Find the set of values of \(m\) for which L does not meet the curve.
A curve has equation \(y = x^2 - x + 3\) and a line has equation \(y = 3x + a\), where \(a\) is a constant.
(i) Show that the \(x\)-coordinates of the points of intersection of the line and the curve are given by the equation \(x^2 - 4x + (3 - a) = 0\). [1]
(ii) For the case where the line intersects the curve at two points, it is given that the \(x\)-coordinate of one of the points of intersection is \(-1\). Find the \(x\)-coordinate of the other point of intersection. [2]
(iii) For the case where the line is a tangent to the curve at a point \(P\), find the value of \(a\) and the coordinates of \(P\). [4]
A straight line has equation \(y = -2x + k\), where \(k\) is a constant, and a curve has equation \(y = \frac{2}{x - 3}\).
(i) Show that the \(x\)-coordinates of any points of intersection of the line and curve are given by the equation \(2x^2 - (6 + k)x + (2 + 3k) = 0\). [1]
(ii) Find the two values of \(k\) for which the line is a tangent to the curve. [3]
The two tangents, given by the values of \(k\) found in part (ii), touch the curve at points \(A\) and \(B\).
(iii) Find the coordinates of \(A\) and \(B\) and the equation of the line \(AB\). [6]
The diagram shows the curve \(y = 2x^5 + 3x^3\) and the line \(y = 2x\) intersecting at points \(A, O\) and \(B\).
(i) Show that the \(x\)-coordinates of \(A\) and \(B\) satisfy the equation \(2x^4 + 3x^2 - 2 = 0\).
(ii) Solve the equation \(2x^4 + 3x^2 - 2 = 0\) and hence find the coordinates of \(A\) and \(B\), giving your answers in an exact form.

The equation of a curve is \(y = x^2 - 3x + 4\).
(i) Show that the whole of the curve lies above the \(x\)-axis.
(ii) Find the set of values of \(x\) for which \(x^2 - 3x + 4\) is a decreasing function of \(x\).
The equation of a line is \(y + 2x = k\), where \(k\) is a constant.
(iii) In the case where \(k = 6\), find the coordinates of the points of intersection of the line and the curve.
(iv) Find the value of \(k\) for which the line is a tangent to the curve.
Solve the equation \(8x^6 + 215x^3 - 27 = 0\).
Use an appropriate substitution to solve the equation:
\((2x - 3)^2 - \frac{4}{(2x - 3)^2} - 3 = 0\).
Solve the equation \(4x - 11x^{\frac{1}{2}} + 6 = 0\), showing all necessary steps.
Determine the intersection points of the curves given by the equations:
\(y = x^{\frac{2}{3}} - 1\) and \(y = x^{\frac{1}{3}} + 1\).
Determine the real roots of the equation \(\frac{18}{x^4} + \frac{1}{x^2} = 4\).
The function \(f\) is defined for \(x \in \mathbb{R}\) by \(f(x) = x^2 - 6x + c\), where \(c\) is a constant. It is given that \(f(x) > 2\) for all values of \(x\). Find the set of possible values of \(c\).
Solve the equation \(3x + 2 = \frac{2}{x - 1}\).
The function \(f\) is defined by \(f(x) = x^2 - 4x + 8\) for \(x \in \mathbb{R}\). Find the set of values of \(x\) for which \(f(x) < 9\), giving your answer in exact form.
A curve is described by the equation \(y = 2x^2 - 6x + 5\). Determine the range of \(x\) values for which \(y > 13\).
Find the set of values of \(x\) for which \(x^2 + 6x + 2 > 9\).
The function \(f\) is defined by \(f : x \mapsto 6x - x^2 - 5\) for \(x \in \mathbb{R}\). Find the set of values of \(x\) for which \(f(x) \leq 3\).
Find the set of values of \(x\) satisfying \(4x^2 - 12x > 7\).
A curve is defined by the equation \(y = 2x^2 - 3x\). Determine the set of \(x\) values for which \(y > 9\).
The function \(f\) is defined by \(f: x \mapsto x^2 - 3x\) for \(x \in \mathbb{R}\). Find the set of values of \(x\) for which \(f(x) > 4\).
A line has equation \(y = 2x + 3\) and a curve has equation \(y = cx^2 + 3x - c\), where \(c\) is a constant.
Showing all necessary working, determine which of the following statements is correct.
A. The line and curve intersect only for a particular set of values of \(c\).
B. The line and curve intersect for all values of \(c\).
C. The line and curve do not intersect for any values of \(c\).
The equation of a curve is \(y = (2k - 3)x^2 - kx - (k - 2)\), where \(k\) is a constant. The line \(y = 3x - 4\) is tangent to the curve.
Find the value of \(k\).
A line has equation \(y = 3x + k\) and a curve has equation \(y = x^2 + kx + 6\), where \(k\) is a constant.
Find the set of values of \(k\) for which the line and curve have two distinct points of intersection.
A curve has equation \(y = 3x^2 - 4x + 4\) and a straight line has equation \(y = mx + m - 1\), where \(m\) is a constant.
Find the set of values of \(m\) for which the curve and the line have two distinct points of intersection.
The equation of a curve is \(y = 2x^2 + m(2x + 1)\), where \(m\) is a constant, and the equation of a line is \(y = 6x + 4\).
Show that, for all values of \(m\), the line intersects the curve at two distinct points.
Find the set of values of m for which the line with equation \(y = mx - 3\) and the curve with equation \(y = 2x^2 + 5\) do not meet.
Find the set of values of m for which the line with equation \(y = mx + 1\) and the curve with equation \(y = 3x^2 + 2x + 4\) intersect at two distinct points.
The equation of a curve is \(y = 2x^2 + kx + k - 1\), where \(k\) is a constant. Given that the line \(y = 2x + 3\) is a tangent to the curve, find the value of \(k\).
The equation of a line is \(y = mx + c\), where \(m\) and \(c\) are constants, and the equation of a curve is \(xy = 16\).
(a) Given that the line is a tangent to the curve, express \(m\) in terms of \(c\).
(b) Given instead that \(m = -4\), find the set of values of \(c\) for which the line intersects the curve at two distinct points.
A line has equation \(y = 3kx - 2k\) and a curve has equation \(y = x^2 - kx + 2\), where \(k\) is a constant.
(i) Find the set of values of \(k\) for which the line and curve meet at two distinct points.
(ii) For each of two particular values of \(k\), the line is a tangent to the curve. Show that these two tangents meet on the x-axis.
A straight line has gradient m and passes through the point (0, -2). Find the two values of m for which the line is a tangent to the curve y = x^2 - 2x + 7 and, for each value of m, find the coordinates of the point where the line touches the curve.
Find the set of values of p for which the equation \(4x^2 - 24x + p = 0\) has no real roots.
The line \(4y = x + c\), where \(c\) is a constant, is a tangent to the curve \(y^2 = x + 3\) at the point \(P\) on the curve.
(i) Find the value of \(c\).
(ii) Find the coordinates of \(P\).
A curve has equation \(y = 2x^2 - 3x + 1\) and a line has equation \(y = kx + k^2\), where \(k\) is a constant.
(i) Show that, for all values of \(k\), the curve and the line meet. [4]
(ii) State the value of \(k\) for which the line is a tangent to the curve and find the coordinates of the point where the line touches the curve. [4]
The equation of a curve is \(y = 2x + \frac{12}{x}\) and the equation of a line is \(y + x = k\), where \(k\) is a constant.
Find the set of values of \(k\) for which the line does not meet the curve.
A line has equation \(y = x + 1\) and a curve has equation \(y = x^2 + bx + 5\). Find the set of values of the constant \(b\) for which the line meets the curve.
The equation of a curve is \(y = x^2 - 6x + k\), where \(k\) is a constant.
(i) Find the set of values of \(k\) for which the whole of the curve lies above the \(x\)-axis.
(ii) Find the value of \(k\) for which the line \(y + 2x = 7\) is a tangent to the curve.
Find the set of values of a for which the curve \(y = -\frac{2}{x}\) and the straight line \(y = ax + 3a\) meet at two distinct points.
Find the set of values of k for which the equation \(2x^2 + 3kx + k = 0\) has distinct real roots.
Find the set of values of k for which the curve y = kx^2 - 3x and the line y = x - k do not meet.
A curve has equation \(y = 2x^2 - 6x + 5\). Find the value of the constant \(k\) for which the line \(y = 2x + k\) is a tangent to the curve.
The function \(f\) is defined by \(f : x \mapsto 6x - x^2 - 5\) for \(x \in \mathbb{R}\).
Given that the line \(y = mx + c\) is a tangent to the curve \(y = f(x)\), show that \(4c = m^2 - 12m + 16\).
The line with equation \(y = kx - k\), where \(k\) is a positive constant, is a tangent to the curve with equation \(y = -\frac{1}{2x}\).
Find, in either order, the value of \(k\) and the coordinates of the point where the tangent meets the curve.
Find the values of the constant m for which the line y = mx is a tangent to the curve y = 2x^2 - 4x + 8.
A line has equation \(y = 2x - 7\) and a curve has equation \(y = x^2 - 4x + c\), where \(c\) is a constant. Find the set of possible values of \(c\) for which the line does not intersect the curve.
The function \(f\) is defined by \(f : x \mapsto 2x^2 - 6x + 5\) for \(x \in \mathbb{R}\).
Find the set of values of \(p\) for which the equation \(f(x) = p\) has no real roots.
Find the set of values of k for which the line y = 2x - k meets the curve y = x^2 + kx - 2 at two distinct points.
Find the set of values of k for which the equation \(2x^2 - 10x + 8 = kx\) has no real roots.
A line has equation \(y = 2x + c\) and a curve has equation \(y = 8 - 2x - x^2\). For the case where the line is a tangent to the curve, find the value of the constant \(c\).
The straight line \(y = mx + 14\) is a tangent to the curve \(y = \frac{12}{x} + 2\) at the point \(P\). Find the value of the constant \(m\) and the coordinates of \(P\).
A curve has equation \(y = x^2 - 4x + 4\) and a line has equation \(y = mx\), where \(m\) is a constant.
Find the non-zero value of \(m\) for which the line is a tangent to the curve, and find the coordinates of the point where the tangent touches the curve.
The line \(y = \frac{x}{k} + k\), where \(k\) is a constant, is a tangent to the curve \(4y = x^2\) at the point \(P\). Find
Find the set of values of k for which the line 2y + x = k intersects the curve xy = 6 at two distinct points.
A line has equation \(y = 3x - 2k\) and a curve has equation \(y = x^2 - kx + 2\), where \(k\) is a constant.
Show that the line and the curve meet for all values of \(k\).
Find the value of k for which y = 6x + k is a tangent to the curve y = 7/√x.
(i) A straight line passes through the point (2, 0) and has gradient m. Write down the equation of the line.
(ii) Find the two values of m for which the line is a tangent to the curve \(y = x^2 - 4x + 5\). For each value of m, find the coordinates of the point where the line touches the curve.
The equation of a curve is \(y^2 + 2x = 13\) and the equation of a line is \(2y + x = k\), where \(k\) is a constant. Find the value of \(k\) for which the line is a tangent to the curve.
A line has equation \(y = kx + 6\) and a curve has equation \(y = x^2 + 3x + 2k\), where \(k\) is a constant. Find the two values of \(k\) for which the line is a tangent to the curve.
Find the set of values of m for which the line y = mx + 4 intersects the curve y = 3x^2 - 4x + 7 at two distinct points.
The equation \(x^2 + px + q = 0\), where \(p\) and \(q\) are constants, has roots \(-3\) and \(5\).
(i) Find the values of \(p\) and \(q\).
(ii) Using these values of \(p\) and \(q\), find the value of the constant \(r\) for which the equation \(x^2 + px + q + r = 0\) has equal roots.
A curve has equation \(y = kx^2 + 1\) and a line has equation \(y = kx\), where \(k\) is a non-zero constant.
(i) Find the set of values of \(k\) for which the curve and the line have no common points. [3]
(ii) State the value of \(k\) for which the line is a tangent to the curve and, for this case, find the coordinates of the point where the line touches the curve. [4]
The equation of a curve is \(y = \frac{9}{2-x}\).
Find the set of values of \(k\) for which the line \(y = x + k\) intersects the curve at two distinct points.
The function \(f : x \mapsto 2x^2 - 8x + 14\) is defined for \(x \in \mathbb{R}\). Find the values of the constant \(k\) for which the line \(y + kx = 12\) is a tangent to the curve \(y = f(x)\).
Determine the set of values of k for which the line 2y = x + k does not intersect the curve y = x^2 - 4x + 7.
Find the set of values of k for which the equation \(8x^2 + kx + 2 = 0\) has no real roots.
Find the set of values of k for which the line y = kx - 4 intersects the curve y = x^2 - 2x at two distinct points.
Determine the set of values of the constant k for which the line y = 4x + k does not intersect the curve y = x2.
Find the value of the constant c for which the line y = 2x + c is a tangent to the curve y2 = 4x.
The equation of a curve is \(xy = 12\) and the equation of a line \(l\) is \(2x + y = k\), where \(k\) is a constant.
Find the set of values of \(k\) for which \(l\) does not intersect the curve.
The equation of a curve is \(y = 4x^2 - kx + \frac{1}{2}k^2\) and the equation of a line is \(y = x - a\), where \(k\) and \(a\) are constants.
Given instead that \(a = -\frac{7}{2}\), find the values of \(k\) for which the line is a tangent to the curve.
A curve has equation \(y = x^2 + 2cx + 4\) and a straight line has equation \(y = 4x + c\), where \(c\) is a constant.
Find the set of values of \(c\) for which the curve and line intersect at two distinct points.
A curve has equation \(y = kx^2 + 2x - k\) and a line has equation \(y = kx - 2\), where \(k\) is a constant.
Find the set of values of \(k\) for which the curve and line do not intersect.
It is given that the equation \(16x^2 - 24x + 10 = k\), where \(k\) is a constant, has exactly one root.
Find the value of this root.
The heights, in cm, of the 11 players in each of two teams, the Aces and the Jets, are shown in the following table.
| Aces | 180 | 174 | 169 | 182 | 181 | 166 | 173 | 182 | 168 | 171 | 164 |
|---|---|---|---|---|---|---|---|---|---|---|---|
| Jets | 175 | 174 | 188 | 168 | 166 | 174 | 181 | 181 | 170 | 188 | 190 |
The heights, in cm, of the 11 members of the Anvils athletics team and the 11 members of the Brecons swimming team are shown below.
| Anvils | 173 | 158 | 180 | 196 | 175 | 165 | 170 | 169 | 181 | 184 | 172 |
|---|---|---|---|---|---|---|---|---|---|---|---|
| Brecons | 166 | 170 | 171 | 172 | 178 | 181 | 182 | 183 | 183 | 192 |
The number of Olympic medals won in the 2012 Olympic Games by the top 27 countries is shown below.
104, 88, 82, 65, 44, 38, 35, 34, 28, 28, 18, 18, 17, 17, 14, 13, 13, 12, 12, 10, 10, 10, 9, 6, 5, 2, 2
Draw a stem-and-leaf diagram to illustrate the data.
The masses, in grams, of components made in factory A and components made in factory B are shown below.
Factory A
| 0.049 | 0.050 | 0.053 | 0.054 | 0.057 | 0.058 | 0.058 |
| 0.059 | 0.061 | 0.061 | 0.061 | 0.063 | 0.065 |
Factory B
| 0.031 | 0.056 | 0.049 | 0.044 | 0.038 | 0.048 | 0.051 |
| 0.064 | 0.035 | 0.042 | 0.047 | 0.054 | 0.058 |
(i) Draw a back-to-back stem-and-leaf diagram to represent the masses of components made in the two factories.
(ii) Find the median and the interquartile range for the masses of components made in factory B.
(iii) Make two comparisons between the masses of components made in factory A and the masses of those made in factory B.
The following are the maximum daily wind speeds in kilometres per hour for the first two weeks in April for two towns, Bronlea and Rogate.
| Bronlea | 21 | 45 | 6 | 33 | 27 | 3 | 32 | 14 | 28 | 24 | 13 | 17 | 25 | 22 |
|---|---|---|---|---|---|---|---|---|---|---|---|---|---|---|
| Rogate | 7 | 5 | 4 | 15 | 23 | 7 | 11 | 13 | 26 | 18 | 23 | 16 | 10 | 34 |
The weights, in kilograms, of the 15 rugby players in each of two teams, A and B, are shown below.
| Team A | 97 | 98 | 104 | 84 | 100 | 109 | 115 | 99 | 122 | 82 | 116 | 96 | 84 | 107 | 91 |
|---|---|---|---|---|---|---|---|---|---|---|---|---|---|---|---|
| Team B | 75 | 79 | 94 | 101 | 96 | 77 | 111 | 108 | 83 | 84 | 86 | 115 | 82 | 113 | 95 |
A random sample of 25 people recorded the number of glasses of water they drank in a particular week. The results are shown below.
23, 19, 32, 14, 25, 22, 26, 36, 45, 42, 47, 28, 17, 38, 15, 46, 18, 26, 22, 41, 19, 21, 28, 24, 30
Draw a stem-and-leaf diagram to represent the data.
Some adults and some children each tried to estimate, without using a watch, the number of seconds that had elapsed in a fixed time-interval. Their estimates are shown below.
| Adults | 55 | 58 | 67 | 74 | 63 | 61 | 63 | 71 | 56 | 53 | 54 | 78 | 73 | 64 | 62 |
|---|---|---|---|---|---|---|---|---|---|---|---|---|---|---|---|
| Children | 86 | 95 | 89 | 72 | 61 | 84 | 77 | 92 | 81 | 54 | 43 | 68 | 62 | 67 | 83 |
The following are the annual amounts of money spent on clothes, to the nearest $10, by 27 people.
| 10 | 40 | 60 | 80 | 100 | 130 | 140 | 140 | 140 |
| 150 | 150 | 150 | 160 | 160 | 160 | 160 | 170 | 180 |
| 180 | 200 | 210 | 250 | 270 | 280 | 310 | 450 | 570 |
Prices in dollars of 11 caravans in a showroom are as follows.
16 800, 18 500, 17 700, 14 300, 15 500, 15 300, 16 100, 16 800, 17 300, 15 400, 16 400
(i) Represent these prices by a stem-and-leaf diagram.
(ii) Write down the lower quartile of the prices of the caravans in the showroom.
The lengths of the diagonals in metres of the 9 most popular flat screen TVs and the 9 most popular conventional TVs are shown below.
Flat screen: 0.85, 0.94, 0.91, 0.96, 1.04, 0.89, 1.07, 0.92, 0.76
Conventional: 0.69, 0.65, 0.85, 0.77, 0.74, 0.67, 0.71, 0.86, 0.75
The times taken, in minutes, to complete a cycle race by 19 cyclists from each of two clubs, the Cheetahs and the Panthers, are represented in the following back-to-back stem-and-leaf diagram.
| Cheetahs | Panthers | |
|---|---|---|
| 9 8 | 7 | 4 |
| 8 7 3 2 0 | 8 | 6 8 |
| 9 8 7 | 9 | 1 7 8 8 9 9 |
| 6 5 3 3 | 10 | 2 3 4 4 5 6 |
| 9 8 2 | 11 | 1 2 8 |
| 4 | 12 | 0 6 |
Key: \( 7 \mid 9 \mid 1 \) means 97 minutes for Cheetahs and 91 minutes for Panthers.
(a) Find the median and the interquartile range of the times of the Cheetahs.
The median and interquartile range for the Panthers are 103 minutes and 14 minutes respectively.
(b) Make two comparisons between the times taken by the Cheetahs and the times taken by the Panthers.
Another cyclist, Kenny, from the Cheetahs also took part in the race. The mean time taken by the 20 cyclists from the Cheetahs was 99 minutes.
(c) Find the time taken by Kenny to complete the race.
The weights in kilograms of 11 bags of sugar and 7 bags of flour are as follows:
Sugar: 1.961, 1.983, 2.008, 2.014, 1.968, 1.994, 2.011, 2.017, 1.977, 1.984, 1.989
Flour: 1.945, 1.962, 1.949, 1.977, 1.964, 1.941, 1.953
(i) Represent this information on a back-to-back stem-and-leaf diagram with sugar on the left-hand side.
(ii) Find the median and interquartile range of the weights of the bags of sugar.
The numbers of people travelling on a certain bus at different times of the day are as follows.
17, 5, 2, 23, 16, 31, 8, 22, 14, 25, 35, 17, 27, 12, 6, 23, 19, 21, 23, 8, 26
(i) Draw a stem-and-leaf diagram to illustrate the information given above. [3]
(ii) Find the median, the lower quartile, the upper quartile and the interquartile range. [3]
(iii) State, in this case, which of the median and mode is preferable as a measure of central tendency, and why. [1]
The pulse rates, in beats per minute, of a random sample of 15 small animals are shown in the following table.
115, 120, 158, 132, 125, 104, 142, 160, 145, 104, 162, 117, 109, 124, 134
Draw a stem-and-leaf diagram to represent the data.
The stem-and-leaf diagram below represents data collected for the number of hits on an internet site on each day in March 2007. There is one missing value, denoted by \(x\).
Stem-and-leaf diagram:
| Stem | leaf | |
|---|---|---|
| 0 | 0 1 5 6 | (4) |
| 1 | 1 3 5 6 6 8 | (6) |
| 2 | 1 1 2 3 4 4 4 8 9 | (9) |
| 3 | 1 2 2 2 x 8 9 | (7) |
| 4 | 2 5 6 7 9 | (5) |
Key: \( 1 \mid 5 \) represents 15 hits.
(i) Find the median and lower quartile for the number of hits each day.
(ii) The interquartile range is 19. Find the value of \(x\).
The lengths of time in minutes to swim a certain distance by the members of a class of twelve 9-year-olds and by the members of a class of eight 16-year-olds are shown below.
9-year-olds: 13.0, 16.1, 16.0, 14.4, 15.9, 15.1, 14.2, 13.7, 16.7, 16.4, 15.0, 13.2
16-year-olds: 14.8, 13.0, 11.4, 11.7, 16.5, 13.7, 12.8, 12.9
(i) Draw a back-to-back stem-and-leaf diagram to represent the information above.
(ii) A new pupil joined the 16-year-old class and swam the distance. The mean time for the class of nine pupils was now 13.6 minutes. Find the new pupil’s time to swim the distance.
(i) The diagram represents the sales of Superclene toothpaste over the last few years. Give a reason why it is misleading.
(ii) The following data represent the daily ticket sales at a small theatre during three weeks.
52, 73, 34, 85, 62, 79, 89, 50, 45, 83, 84, 91, 85, 84, 87, 44, 86, 41, 35, 73, 86.
(a) Construct a stem-and-leaf diagram to illustrate the data.
(b) Use your diagram to find the median of the data.

The Lions and the Tigers are two basketball clubs. The heights, in cm, of the 11 players in each of their first team squads are given in the table.
| Lions | 178 | 186 | 181 | 187 | 179 | 190 | 189 | 190 | 180 | 169 | 196 |
|---|---|---|---|---|---|---|---|---|---|---|---|
| Tigers | 194 | 179 | 187 | 190 | 183 | 201 | 184 | 180 | 195 | 191 | 197 |
Lakeview and Riverside are two schools. The pupils at both schools took part in a competition to see how far they could throw a ball. The distances thrown, to the nearest metre, by 11 pupils from each school are shown in the following table.
| Lakeview | 10 | 14 | 19 | 22 | 26 | 27 | 28 | 30 | 32 | 33 | 41 |
|---|---|---|---|---|---|---|---|---|---|---|---|
| Riverside | 23 | 36 | 21 | 18 | 37 | 25 | 18 | 20 | 24 | 30 | 25 |
The heights, in cm, of the 11 basketball players in each of two clubs, the Amazons and the Giants, are shown below.
| Amazons | 205 | 198 | 181 | 182 | 190 | 215 | 201 | 178 | 202 | 196 | 184 |
|---|---|---|---|---|---|---|---|---|---|---|---|
| Giants | 175 | 182 | 184 | 187 | 189 | 192 | 193 | 195 | 195 | 195 | 204 |
The following table gives the weekly snowfall, in centimetres, for 11 weeks in 2018 at two ski resorts, Dados and Linva.
| Dados | 6 | 8 | 12 | 15 | 10 | 36 | 42 | 28 | 10 | 22 | 16 |
|---|---|---|---|---|---|---|---|---|---|---|---|
| Linva | 2 | 11 | 15 | 16 | 0 | 32 | 36 | 40 | 10 | 12 | 9 |
The annual salaries, in thousands of dollars, for 11 employees at each of two companies A and B are shown below.
| Company A | 30 | 32 | 35 | 41 | 41 | 42 | 47 | 49 | 52 | 53 | 64 |
|---|---|---|---|---|---|---|---|---|---|---|---|
| Company B | 26 | 47 | 30 | 52 | 41 | 38 | 35 | 42 | 49 | 31 | 42 |
The times in minutes taken by 13 pupils at each of two schools in a cross-country race are recorded in the table below.
| Thaters School | 38 | 43 | 48 | 52 | 54 | 56 | 57 | 58 | 58 | 61 | 62 | 66 | 75 |
|---|---|---|---|---|---|---|---|---|---|---|---|---|---|
| Whitefay Park School | 45 | 47 | 53 | 56 | 56 | 61 | 64 | 66 | 69 | 73 | 75 | 78 | 83 |
The weights, in kg, of the 11 members of the Dolphins swimming team and the 11 members of the Sharks swimming team are shown below.
| Dolphins | 62 | 75 | 69 | 82 | 63 | 80 | 65 | 65 | 73 | 82 | 72 |
|---|---|---|---|---|---|---|---|---|---|---|---|
| Sharks | 68 | 84 | 59 | 70 | 71 | 64 | 77 | 80 | 66 | 74 | 72 |
The times, to the nearest minute, of 150 athletes taking part in a charity run are recorded. The results are summarised in the table.
| Time (minutes) | 101–120 | 121–130 | 131–135 | 136–145 | 146–160 |
|---|---|---|---|---|---|
| Frequency | 18 | 48 | 34 | 32 | 18 |
Draw a histogram to represent this information.
The speeds, in km h-1, of 90 cars as they passed a certain marker on a road were recorded, correct to the nearest km h-1. The results are summarised in the following table.
| Speed (km h-1) | 10–29 | 30–39 | 40–49 | 50–59 | 60–89 |
|---|---|---|---|---|---|
| Frequency | 10 | 24 | 30 | 14 | 12 |
The masses in kilograms of 50 children having a medical check-up were recorded correct to the nearest kilogram. The results are shown in the table.
| Mass (kg) | 10–14 | 15–19 | 20–24 | 25–34 | 35–59 |
|---|---|---|---|---|---|
| Frequency | 6 | 12 | 14 | 10 | 8 |
The lengths, t minutes, of 242 phone calls made by a family over a period of 1 week are summarised in the frequency table below.
| Length of phone call (t minutes) | 0 < t ≤ 1 | 1 < t ≤ 2 | 2 < t ≤ 5 | 5 < t ≤ 10 | 10 < t ≤ 30 |
|---|---|---|---|---|---|
| Frequency | 14 | 46 | 102 | a | 40 |
The times taken, \(t\) seconds, by 1140 people to solve a puzzle are summarised in the table.
\(\begin{array}{|c|c|} \hline \text{Time (} t \text{ seconds)} & \text{Number of people} \\ \hline 0 \leq t < 20 & 320 \\ 20 \leq t < 40 & 280 \\ 40 \leq t < 60 & 220 \\ 60 \leq t < 100 & 220 \\ 100 \leq t < 140 & 100 \\ \hline \end{array}\)
(i) On the grid, draw a histogram to illustrate this information.
(ii) Calculate an estimate of the mean of \(t\).
The number of people a football stadium can hold is called the 'capacity'. The capacities of 130 football stadiums in the UK, to the nearest thousand, are summarised in the table.
| Capacity (people) | 3,000–7,000 | 8,000–12,000 | 13,000–22,000 | 23,000–42,000 | 43,000–82,000 |
|---|---|---|---|---|---|
| Number of stadiums | 40 | 30 | 18 | 34 | 8 |
A survey was made of the journey times of 63 people who cycle to work in a certain town. The results are summarised in the following cumulative frequency table.
| Journey time (minutes) | ≤ 10 | ≤ 25 | ≤ 45 | ≤ 60 | ≤ 80 |
|---|---|---|---|---|---|
| Cumulative frequency | 0 | 18 | 50 | 59 | 63 |
The heights to the nearest metre of 134 office buildings in a certain city are summarised in the table below.
| Height (m) | 21–40 | 41–45 | 46–50 | 51–60 | 61–80 |
|---|---|---|---|---|---|
| Frequency | 18 | 15 | 21 | 52 | 28 |
(i) Draw a histogram on graph paper to illustrate the data.
(ii) Calculate estimates of the mean and standard deviation of these heights.
Robert has a part-time job delivering newspapers. On a number of days he noted the time, correct to the nearest minute, that it took him to do his job. Robert used his results to draw up the following table; two of the values in the table are denoted by \(a\) and \(b\).
\(\begin{array}{|c|c|c|c|c|} \hline \text{Time (t minutes)} & 60 - 62 & 63 - 64 & 65 - 67 & 68 - 71 \\ \hline \text{Frequency (number of days)} & 3 & 9 & 6 & b \\ \hline \text{Frequency density} & 1 & a & 2 & 1.5 \\ \hline \end{array}\)
(i) Find the values of \(a\) and \(b\).
(ii) On graph paper, draw a histogram to represent Robert’s times.
The table summarises the lengths in centimetres of 104 dragonflies.
| Length (cm) | 2.0–3.5 | 3.5–4.5 | 4.5–5.5 | 5.5–7.0 | 7.0–9.0 |
|---|---|---|---|---|---|
| Frequency | 8 | 25 | 28 | 31 | 12 |
The times taken by 57 athletes to run 100 metres are summarised in the following cumulative frequency table.
| Time (seconds) | <10.0 | <10.5 | <11.0 | <12.0 | <12.5 | <13.5 |
|---|---|---|---|---|---|---|
| Cumulative frequency | 0 | 4 | 10 | 40 | 49 | 57 |
The populations of 150 villages in the UK, to the nearest hundred, are summarised in the table.
| Population | 100–800 | 900–1200 | 1300–2000 | 2100–3200 | 3300–4800 |
|---|---|---|---|---|---|
| Number of villages | 8 | 12 | 50 | 48 | 32 |
(a) Draw a histogram to represent this information.
(b) Write down the class interval which contains the median for this information.
(c) Find the greatest possible value of the interquartile range for the populations of the 150 villages.
A typing test is taken by 111 people. The numbers of typing errors they make in the test are summarised in the table below.
| Number of typing errors | 1–5 | 6–20 | 21–35 | 36–60 | 61–80 |
|---|---|---|---|---|---|
| Frequency | 24 | 9 | 21 | 15 | 42 |
The distance of a student’s home from college, correct to the nearest kilometre, was recorded for each of 55 students. The distances are summarised in the following table.
| Distance from college (km) | 1–3 | 4–5 | 6–8 | 9–11 | 12–16 |
|---|---|---|---|---|---|
| Number of students | 18 | 13 | 8 | 12 | 4 |
Dominic is asked to draw a histogram to illustrate the data. Dominic’s diagram is shown below.
Give two reasons why this is not a correct histogram.

The following histogram summarises the times, in minutes, taken by 190 people to complete a race.
(i) Show that 75 people took between 200 and 250 minutes to complete the race.
(ii) Calculate estimates of the mean and standard deviation of the times of the 190 people.
(iii) Explain why your answers to part (ii) are estimates.

In a survey, the percentage of meat in a certain type of take-away meal was found. The results, to the nearest integer, for 193 take-away meals are summarised in the table.
| Percentage of meat | 1–5 | 6–10 | 11–20 | 21–30 | 31–50 |
|---|---|---|---|---|---|
| Frequency | 59 | 67 | 38 | 18 | 11 |
(i) Calculate estimates of the mean and standard deviation of the percentage of meat in these take-away meals.
(ii) Draw, on graph paper, a histogram to illustrate the information in the table.
The table summarises the times that 112 people took to travel to work on a particular day.
| Time (minutes) | 0 < t ≤ 10 | 10 < t ≤ 15 | 15 < t ≤ 20 | 20 < t ≤ 25 | 25 < t ≤ 40 | 40 < t ≤ 60 |
|---|---|---|---|---|---|---|
| Frequency | 19 | 12 | 28 | 22 | 18 | 13 |
The weights of 220 sausages are summarised in the following table.
| Weight (grams) | <20 | <30 | <40 | <45 | <50 | <60 | <70 |
|---|---|---|---|---|---|---|---|
| Cumulative frequency | 0 | 20 | 50 | 100 | 160 | 210 | 220 |
The following histogram illustrates the distribution of times, in minutes, that some students spent taking a shower.
(i) Copy and complete the following frequency table for the data.
| Time \( t \) (minutes) | \( 2 < t \le 4 \) | \( 4 < t \le 6 \) | \( 6 < t \le 7 \) | \( 7 < t \le 8 \) | \( 8 < t \le 10 \) | \( 10 < t \le 16 \) |
|---|---|---|---|---|---|---|
| Frequency |
(ii) Calculate an estimate of the mean time to take a shower.

The weights in grams of a number of stones, measured correct to the nearest gram, are represented in the following table.
| Weight (grams) | 1–10 | 11–20 | 21–25 | 26–30 | 31–50 | 51–70 |
|---|---|---|---|---|---|---|
| Frequency | 2x | 4x | 3x | 5x | 4x | x |
A histogram is drawn with a scale of 1 cm to 1 unit on the vertical axis, which represents frequency density. The 1–10 rectangle has height 3 cm.
(i) Calculate the value of \( x \) and the height of the 51–70 rectangle.
(ii) Calculate an estimate of the mean weight of the stones.
The following table gives the marks, out of 75, in a pure mathematics examination taken by 234 students.
| Marks | 1–20 | 21–30 | 31–40 | 41–50 | 51–60 | 61–75 |
|---|---|---|---|---|---|---|
| Frequency | 40 | 34 | 56 | 54 | 29 | 21 |
(i) Draw a histogram on graph paper to represent these results.
(ii) Calculate estimates of the mean mark and the standard deviation.
As part of a data collection exercise, members of a certain school year group were asked how long they spent on their Mathematics homework during one particular week. The times are given to the nearest 0.1 hour. The results are displayed in the following table.
| Time spent \( t \) (hours) | \( 0.1 \le t \le 0.5 \) | \( 0.6 \le t \le 1.0 \) | \( 1.1 \le t \le 2.0 \) | \( 2.1 \le t \le 3.0 \) | \( 3.1 \le t \le 4.5 \) |
|---|---|---|---|---|---|
| Frequency | 11 | 15 | 18 | 30 | 21 |
(i) Draw, on graph paper, a histogram to illustrate this information.
(ii) Calculate an estimate of the mean time spent on their Mathematics homework by members of this year group.
The times taken, in minutes, to complete a word processing task by 250 employees at a particular company are summarised in the table.
| Time taken \( t \) (minutes) | \( 0 \le t \lt 20 \) | \( 20 \le t \lt 40 \) | \( 40 \le t \lt 50 \) | \( 50 \le t \lt 60 \) | \( 60 \le t \lt 100 \) |
|---|---|---|---|---|---|
| Frequency | 32 | 46 | 96 | 52 | 24 |
(a) Draw a histogram to represent this information.
From the data, the estimate of the mean time taken by these 250 employees is \( 43.2 \) minutes.
(b) Calculate an estimate for the standard deviation of these times.
The weights of 30 children in a class, to the nearest kilogram, were as follows:
50, 45, 61, 53, 55, 47, 52, 49, 46, 51, 60, 52, 54, 47, 57, 59, 42, 46, 51, 53, 56, 48, 50, 51, 44, 52, 49, 58, 55, 45
Construct a grouped frequency table for these data such that there are five equal class intervals with the first class having a lower boundary of 41.5 kg and the fifth class having an upper boundary of 61.5 kg.
Each father in a random sample of fathers was asked how old he was when his first child was born. The following histogram represents the information.

The lengths of cars travelling on a car ferry are noted. The data are summarised in the following table.
| Length of car \( x \) (metres) | \( 2.80 \le x < 3.00 \) | \( 3.00 \le x < 3.10 \) | \( 3.10 \le x < 3.20 \) | \( 3.20 \le x < 3.40 \) |
|---|---|---|---|---|
| Frequency | 17 | 24 | 19 | 8 |
| Frequency density | 85 | 240 | 190 | \( a \) |
(i) Find the value of \( a \).
(ii) Draw a histogram on graph paper to represent the data.
The floor areas, \( x \) m\(^2\), of 20 factories are as follows:
150, 350, 450, 578, 595, 644, 722, 798, 802, 904, 1000, 1330, 1533, 1561, 1778, 1960, 2167, 2330, 2433, 3231
Represent these data by a histogram on graph paper, using intervals:
A random sample of 97 people who own mobile phones was used to collect data on the amount of time they spent per day on their phones. The results are displayed in the table below.
| Time spent per day \( t \) (minutes) | \( 0 \le t < 5 \) | \( 5 \le t < 10 \) | \( 10 \le t < 20 \) | \( 20 \le t < 30 \) | \( 30 \le t < 40 \) | \( 40 \le t < 70 \) |
|---|---|---|---|---|---|---|
| Frequency (people) | 11 | 20 | 32 | 18 | 10 | 6 |
(i) Calculate estimates of the mean and standard deviation of the time spent per day on these mobile phones.
(ii) On graph paper, draw a fully labelled histogram to represent the data.
The times taken to travel to college by 2500 students are summarised in the table.
| Time taken \( t \) (minutes) | \( 0 \le t < 20 \) | \( 20 \le t < 30 \) | \( 30 \le t < 40 \) | \( 40 \le t < 60 \) | \( 60 \le t < 90 \) |
|---|---|---|---|---|---|
| Frequency | 440 | 720 | 920 | 300 | 120 |
(a) Draw a histogram to represent this information.
From the data, the estimate of the mean value of \( t \) is \( 31.44 \).
(b) Calculate an estimate of the standard deviation of the times taken to travel to college.
(c) In which class interval does the upper quartile lie?
It was later discovered that the times taken to travel to college by two students were incorrectly recorded. One student’s time was recorded as \( 15 \) instead of \( 5 \) and the other’s time was recorded as \( 65 \) instead of \( 75 \).
(d) Without doing any further calculations, state with a reason whether the estimate of the standard deviation in part (b) would be increased, decreased or stay the same.
At a summer camp an arithmetic test is taken by 250 children. The times taken, to the nearest minute, to complete the test were recorded. The results are summarised in the table.
| Time taken (minutes) | 1–30 | 31–45 | 46–65 | 66–75 | 76–100 |
|---|---|---|---|---|---|
| Frequency | 21 | 30 | 68 | 86 | 45 |
(a) Draw a histogram to represent this information.
(b) State which class interval contains the median.
(c) Given that an estimate of the mean time is 61.05 minutes, state what feature of the distribution accounts for the median and the mean being different.
The times taken, in minutes, by 360 employees at a large company to travel from home to work are summarised in the following table.
| Time \( t \) (minutes) | \( 0 \le t < 5 \) | \( 5 \le t < 10 \) | \( 10 \le t < 20 \) | \( 20 \le t < 30 \) | \( 30 \le t < 50 \) |
|---|---|---|---|---|---|
| Frequency | 23 | 102 | 135 | 76 | 24 |
(a) Draw a histogram to represent this information.
(b) Calculate an estimate of the mean time taken by an employee to travel to work.
The times taken by 200 players to solve a computer puzzle are summarised in the following table.
| Time \( t \) (seconds) | \( 0 \le t < 10 \) | \( 10 \le t < 20 \) | \( 20 \le t < 40 \) | \( 40 \le t < 60 \) | \( 60 \le t < 100 \) |
|---|---|---|---|---|---|
| Number of players | 16 | 54 | 78 | 32 | 20 |
A particular piece of music was played by 91 pianists and for each pianist, the number of incorrect notes was recorded. The results are summarised in the table.
| Number of incorrect notes | 1–5 | 6–10 | 11–20 | 21–40 | 41–70 |
|---|---|---|---|---|---|
| Frequency | 10 | 5 | 26 | 32 | 18 |
The numbers of chocolate bars sold per day in a cinema over a period of 100 days are summarised in the following table.
| Number of chocolate bars sold | 1–10 | 11–15 | 16–30 | 31–50 | 51–60 |
|---|---|---|---|---|---|
| Number of days | 18 | 24 | 30 | 20 | 8 |
(a) Draw a histogram to represent this information.
(b) What is the greatest possible value of the interquartile range for the data?
(c) Calculate estimates of the mean and standard deviation of the number of chocolate bars sold.
The weights, x kg, of 120 students in a sports college are recorded. The results are summarised in the following table.
| Weight (x kg) | \(x ≤40\) | \(x ≤ 60\) | \(x ≤ 65\) | \(x ≤ 70\) | \(x ≤ 85\) | \(x ≤ 100\) |
|---|---|---|---|---|---|---|
| Cumulative frequency | 0 | 14 | 38 | 60 | 106 | 120 |
(a) Draw a cumulative frequency graph to represent this information.
(b) It is found that 35% of the students weigh more than W kg. Use your graph to estimate the value of W.
Helen measures the lengths of 150 fish of a certain species in a large pond. These lengths, correct to the nearest centimetre, are summarised in the following table.
| Length (cm) | 0 – 9 | 10 – 14 | 15 – 19 | 20 – 30 |
|---|---|---|---|---|
| Frequency | 15 | 48 | 66 | 21 |
(a) Draw a cumulative frequency graph to illustrate the data.
(b) 40% of these fish have a length of d cm or more. Use your graph to estimate the value of d.
The mean length of these 150 fish is 15.295 cm.
(c) Calculate an estimate for the variance of the lengths of the fish.
Ransha measured the lengths, in centimetres, of 160 palm leaves. His results are illustrated in the cumulative frequency graph below.
(i) Estimate how many leaves have a length between 14 and 24 centimetres.
(ii) 10% of the leaves have a length of \(L\) centimetres or more. Estimate the value of \(L\).
(iii) Estimate the median and the interquartile range of the lengths.
Sharim measured the lengths, in centimetres, of 160 palm leaves of a different type. He drew a box-and-whisker plot for the data, as shown on the grid below.
(iv) Compare the central tendency and the spread of the two sets of data.

The Mathematics and English A-level marks of 1400 pupils all taking the same examinations are shown in the cumulative frequency graphs below. Both examinations are marked out of 100.
Use suitable data from these graphs to compare the central tendency and spread of the marks in Mathematics and English.

Last Saturday, 200 drivers entering a car park were asked the time, in minutes, that it had taken them to travel from home to the car park. The results are summarised in the following cumulative frequency table.
| Time (t minutes) | \(t \leq 10\) | \(t \leq 20\) | \(t \leq 30\) | \(t \leq 50\) | \(t \leq 70\) | \(t \leq 90\) |
|---|---|---|---|---|---|---|
| Cumulative frequency | 16 | 50 | 106 | 146 | 176 | 200 |
The daily rainfall, \(x\) mm, in a certain village is recorded on 250 consecutive days. The results are summarised in the following cumulative frequency table.
| Rainfall, \(x\) mm | \(x \leq 20\) | \(x \leq 30\) | \(x \leq 40\) | \(x \leq 50\) | \(x \leq 70\) | \(x \leq 100\) |
|---|---|---|---|---|---|---|
| Cumulative frequency | 52 | 94 | 142 | 172 | 222 | 250 |
There are 900 students in a certain year-group. An identical puzzle is given to each student and the time taken, \(t\) minutes, to complete the puzzle is recorded. These times are summarised in the following frequency table.
| Time taken, \(t\) minutes | \(t \leq 3\) | \(3 < t \leq 4\) | \(4 < t \leq 5\) | \(5 < t \leq 6\) | \(6 < t \leq 8\) | \(8 < t \leq 10\) | \(10 < t \leq 14\) |
|---|---|---|---|---|---|---|---|
| Frequency | 120 | 180 | 200 | 160 | 110 | 80 | 50 |
On the grid, draw a cumulative frequency graph to represent the data. Use your graph to estimate the median time taken by these students to complete the puzzle.
The circumferences, \(c\) cm, of some trees in a wood were measured. The results are summarised in the table.
| Circumference (c cm) | \(40 < c \leq 50\) | \(50 < c \leq 80\) | \(80 < c \leq 100\) | \(100 < c \leq 120\) |
|---|---|---|---|---|
| Frequency | 14 | 48 | 70 | 8 |
(i) On the grid, draw a cumulative frequency graph to represent the information.
(ii) Estimate the percentage of trees which have a circumference larger than 75 cm.
The time taken by a car to accelerate from 0 to 30 metres per second was measured correct to the nearest second. The results from 48 cars are summarised in the following table.
| Time (seconds) | 3 – 5 | 6 – 8 | 9 – 11 | 12 – 16 | 17 – 25 |
|---|---|---|---|---|---|
| Frequency | 10 | 15 | 17 | 4 | 2 |
(i) On the grid, draw a cumulative frequency graph to represent this information. [3]
(ii) 35 of these cars accelerated from 0 to 30 metres per second in a time more than \(t\) seconds. Estimate the value of \(t\). [2]
The following histogram represents the lengths of worms in a garden.
(i) Calculate the frequencies represented by each of the four histogram columns.
(ii) On the grid on the next page, draw a cumulative frequency graph to represent the lengths of worms in the garden.
(iii) Use your graph to estimate the median and interquartile range of the lengths of worms in the garden.
(iv) Calculate an estimate of the mean length of worms in the garden.

Anabel measured the lengths, in centimetres, of 200 caterpillars. Her results are illustrated in the cumulative frequency graph below.
(i) Estimate the median and the interquartile range of the lengths.
(ii) Estimate how many caterpillars had a length of between 2 and 3.5 cm.
(iii) 6% of caterpillars were of length \(l\) centimetres or more. Estimate \(l\).

The times taken by 120 children to complete a particular puzzle are represented in the cumulative frequency graph.
(a) Use the graph to estimate the interquartile range of the data.
35% of the children took longer than \(T\) seconds to complete the puzzle.
(b) Use the graph to estimate the value of \(T\).

The tables summarise the heights, \(h\) (cm), of 60 girls and 60 boys.
| Height of girls (cm) | \(140 < h \le 150\) | \(150 < h \le 160\) | \(160 < h \le 170\) | \(170 < h \le 180\) | \(180 < h \le 190\) |
|---|---|---|---|---|---|
| Frequency | 12 | 21 | 17 | 10 | 0 |
| Height of boys (cm) | \(140 < h \le 150\) | \(150 < h \le 160\) | \(160 < h \le 170\) | \(170 < h \le 180\) | \(180 < h \le 190\) |
|---|---|---|---|---|---|
| Frequency | 0 | 20 | 23 | 12 | 5 |
The amounts spent by 160 shoppers at a supermarket are summarised in the following table.
| Amount spent \((x)\) | \(0 < x \le 30\) | \(30 < x \le 50\) | \(50 < x \le 70\) | \(70 < x \le 90\) | \(90 < x \le 140\) |
|---|---|---|---|---|---|
| Number of shoppers | 16 | 40 | 48 | 26 | 30 |
Seventy samples of fertiliser were collected and the nitrogen content was measured for each sample. The cumulative frequency distribution is shown below.
| Nitrogen content | \(\le 3.5\) | \(\le 3.8\) | \(\le 4.0\) | \(\le 4.2\) | \(\le 4.5\) | \(\le 4.8\) |
|---|---|---|---|---|---|---|
| Cumulative frequency | 0 | 6 | 18 | 41 | 62 | 70 |
In an open-plan office there are 88 computers. The times taken by these 88 computers to access a particular web page are represented in the cumulative frequency diagram.
(i) On graph paper draw a box-and-whisker plot to summarise this information.An ‘outlier’ is defined as any data value which is more than 1.5 times the interquartile range above the upper quartile, or more than 1.5 times the interquartile range below the lower quartile.
(ii) Show that there are no outliers.

On a certain day in spring, the heights of 200 daffodils are measured, correct to the nearest centimetre. The frequency distribution is given below.
| Height (cm) | 4 – 10 | 11 – 15 | 16 – 20 | 21 – 25 | 26 – 30 |
|---|---|---|---|---|---|
| Frequency | 22 | 32 | 78 | 40 | 28 |
The weights, \(x\) kilograms, of 144 people were recorded. The results are summarised in the cumulative frequency table below.
| Weight (\(x\) kilograms) | \(x < 40\) | \(x < 50\) | \(x < 60\) | \(x < 65\) | \(x < 70\) | \(x < 90\) |
|---|---|---|---|---|---|---|
| Cumulative frequency | 0 | 12 | 34 | 64 | 92 | 144 |
The cumulative frequency graph shows the annual salaries, in thousands of euros, of a random sample of 500 adults with jobs, in France. It has been plotted using grouped data. You may assume that the lowest salary is 5000 euros and the highest salary is 80000 euros.

The following cumulative frequency table shows the examination marks for 300 candidates in country A and 300 candidates in country B.
| Mark | \(< 10\) | \(< 20\) | \(< 35\) | \(< 50\) | \(< 70\) | \(< 100\) |
|---|---|---|---|---|---|---|
| Cumulative frequency, A | 25 | 68 | 159 | 234 | 260 | 300 |
| Cumulative frequency, B | 10 | 46 | 72 | 144 | 198 | 300 |
A hotel has 90 rooms. The table summarises information about the number of rooms occupied each day for a period of 200 days.
| Number of rooms occupied | 1 – 20 | 21 – 40 | 41 – 50 | 51 – 60 | 61 – 70 | 71 – 90 |
|---|---|---|---|---|---|---|
| Frequency | 10 | 32 | 62 | 50 | 28 | 18 |
There are 5000 schools in a certain country. The cumulative frequency table shows the number of pupils in a school and the corresponding number of schools.
| Number of pupils in a school | \(\leq 100\) | \(\leq 150\) | \(\leq 200\) | \(\leq 250\) | \(\leq 350\) | \(\leq 450\) | \(\leq 600\) |
|---|---|---|---|---|---|---|---|
| Cumulative frequency | 200 | 800 | 1600 | 2100 | 4100 | 4700 | 5000 |
Each year the total number of hours, \(x\), of sunshine in Kintoo is recorded during the month of June. The results for the last 60 years are summarised in the table.
| \(x\) | 30 \(\leq x <\) 60 | 60 \(\leq x <\) 90 | 90 \(\leq x <\) 110 | 110 \(\leq x <\) 140 | 140 \(\leq x <\) 180 | 180 \(\leq x <\) 240 |
|---|---|---|---|---|---|---|
| Number of years | 4 | 8 | 14 | 25 | 7 | 2 |
(a) Draw a cumulative frequency graph to illustrate the data.
(b) Use your graph to estimate the 70th percentile of the data.
The birth weights of random samples of 900 babies born in country A and 900 babies born in country B are illustrated in the cumulative frequency graphs. Use suitable data from these graphs to compare the central tendency and spread of the birth weights of the two sets of babies.

During January the numbers of people entering a store during the first hour after opening were as follows.
| Time after opening, x minutes | Frequency | Cumulative frequency |
|---|---|---|
| 0 < x ≤ 10 | 210 | 210 |
| 10 < x ≤ 20 | 134 | 344 |
| 20 < x ≤ 30 | 78 | 422 |
| 30 < x ≤ 40 | 72 | a |
| 40 < x ≤ 60 | b | 540 |
The arrival times of 204 trains were noted and the number of minutes, t, that each train was late was recorded. The results are summarised in the table.
| Number of minutes late (t) | -2 ≤ t < 0 | 0 ≤ t < 2 | 2 ≤ t < 4 | 4 ≤ t < 6 | 6 ≤ t < 10 |
|---|---|---|---|---|---|
| Number of trains | 43 | 51 | 69 | 22 | 19 |
In a recent survey, 640 people were asked about the length of time each week that they spent watching television. The median time was found to be 20 hours, and the lower and upper quartiles were 15 hours and 35 hours respectively. The least amount of time that anyone spent was 3 hours, and the greatest amount was 60 hours.
The manager of a company noted the times spent in 80 meetings. The results were as follows.
| Time \((t)\) minutes | \( 0 < t \le 15 \) | \( 15 < t \le 30 \) | \( 30 < t \le 60 \) | \( 60 < t \le 90 \) | \( 90 < t \le 120 \) |
|---|---|---|---|---|---|
| Number of meetings | 4 | 7 | 24 | 38 | 7 |
Draw a cumulative frequency graph and use this to estimate the median time and the interquartile range.
The times, t minutes, taken to complete a walking challenge by 250 members of a club are summarised in the table.
| Time taken (t minutes) | t ≤ 20 | t ≤ 30 | t ≤ 35 | t ≤ 40 | t ≤ 50 | t ≤ 60 |
|---|---|---|---|---|---|---|
| Cumulative frequency | 32 | 66 | 112 | 178 | 228 | 250 |
(a) Draw a cumulative frequency graph to illustrate the data.
(b) Use your graph to estimate the 60th percentile of the data.
It is given that an estimate for the mean time taken to complete the challenge by these 250 members is 34.4 minutes.
(c) Calculate an estimate for the standard deviation of the times taken to complete the challenge by these 250 members.
The time taken, \(t\) minutes, to complete a puzzle was recorded for each of 150 students. These times are summarised in the table.
| Time taken \((t)\) minutes | \(t \le 25\) | \(t \le 50\) | \(t \le 75\) | \(t \le 100\) | \(t \le 150\) | \(t \le 200\) |
|---|---|---|---|---|---|---|
| Cumulative frequency | 16 | 44 | 86 | 104 | 132 | 150 |
The distances, x m, travelled to school by 140 children were recorded. The results are summarised in the table below.
| Distance, x m | x ≤ 200 | x ≤ 300 | x ≤ 500 | x ≤ 900 | x ≤ 1200 | x ≤ 1600 |
|---|---|---|---|---|---|---|
| Cumulative frequency | 16 | 46 | 88 | 122 | 134 | 140 |
(a) On the grid, draw a cumulative frequency graph to represent these results.
(b) Use your graph to estimate the interquartile range of the distances.
(c) Calculate estimates of the mean and standard deviation of the distances.
The heights in cm of 160 sunflower plants were measured. The results are summarised on the following cumulative frequency curve.
(a) Use the graph to estimate the number of plants with heights less than 100 cm.
(b) Use the graph to estimate the 65th percentile of the distribution.
(c) Use the graph to estimate the interquartile range of the heights of these plants.

A driver records the distance travelled in each of 150 journeys. These distances, correct to the nearest km, are summarised in the following table.
| Distance (km) | 0 – 4 | 5 – 10 | 11 – 20 | 21 – 30 | 31 – 40 | 41 – 60 |
|---|---|---|---|---|---|---|
| Frequency | 12 | 16 | 32 | 66 | 20 | 4 |
(a) Draw a cumulative frequency graph to illustrate the data.
(b) For 30% of these journeys the distance travelled is \(d\) km or more. Use your graph to estimate the value of \(d\).
(c) Calculate an estimate of the mean distance travelled for the 150 journeys.
The times, t minutes, taken by 150 students to complete a particular challenge are summarised in the following cumulative frequency table.
| Time taken (t minutes) | t ≤ 20 | t ≤ 30 | t ≤ 40 | t ≤ 60 | t ≤ 100 |
|---|---|---|---|---|---|
| Cumulative frequency | 12 | 48 | 106 | 134 | 150 |
(a) Draw a cumulative frequency graph to illustrate the data.
(b) 24% of the students take k minutes or longer to complete the challenge. Use your graph to estimate the value of k.
(c) Calculate estimates of the mean and the standard deviation of the time taken to complete the challenge.
The following back-to-back stem-and-leaf diagram represents the monthly salaries, in dollars, of 27 employees at each of two companies, A and B.
| Company A | Company B | |
|---|---|---|
| 5 4 1 1 0 | 25 | 4 4 5 6 6 7 |
| 9 9 8 7 2 0 | 26 | 0 1 3 5 7 9 9 |
| 8 6 4 2 1 0 | 27 | 1 3 4 6 6 8 8 |
| 6 5 4 2 0 | 28 | 0 1 2 2 2 |
| 9 8 5 | 29 | |
| 1 | 30 | 9 |
Key: 1 | 27 | 6 means $2710 for company A and $2760 for company B.
(a) Find the median and the interquartile range of the monthly salaries of employees in company A.
The lower quartile, median and upper quartile for company B are $2600, $2690 and $2780 respectively.
(b) Draw two box-and-whisker plots in a single diagram to represent the information for the salaries of employees at companies A and B.
(c) Comment on whether the mean would be a more appropriate measure than the median for comparing the given information for the two companies.
A group of children played a computer game which measured their time in seconds to perform a certain task. A summary of the times taken by girls and boys in the group is shown below.
| Minimum | Lower quartile | Median | Upper quartile | Maximum | |
|---|---|---|---|---|---|
| Girls | 5 | 5.5 | 7 | 9 | 13 |
| Boys | 4 | 6 | 8.5 | 11 | 16 |
A random sample of 25 people recorded the number of glasses of water they drank in a particular week. The results are shown below.
23, 19, 32, 14, 25, 22, 26, 36, 45, 42, 47, 28, 17, 38, 15, 46, 18, 26, 22, 41, 19, 21, 28, 24, 30
On graph paper draw a box-and-whisker plot to represent the data.
The following back-to-back stem-and-leaf diagram shows the times to load an application on 61 smartphones of type A and 43 smartphones of type B.
| Type A | Type B | |||
|---|---|---|---|---|
| (7) | 9 7 6 6 4 3 3 | 2 | 1 3 5 8 | (4) |
| (7) | 5 5 4 4 2 2 2 | 3 | 0 4 4 5 6 6 6 7 8 9 | (12) |
| (13) | 9 9 8 8 8 7 6 4 3 2 2 0 | 4 | 0 1 1 2 3 6 8 8 9 9 | (10) |
| (9) | 6 5 5 4 3 2 1 1 0 | 5 | 2 5 6 6 9 | (5) |
| (4) | 9 7 3 0 | 6 | 1 3 8 9 | (4) |
| (6) | 8 7 4 4 1 0 | 7 | 5 7 | (2) |
| (10) | 7 6 6 6 5 3 2 1 0 | 8 | 1 2 4 4 | (4) |
| (5) | 8 6 5 5 5 | 9 | 0 6 | (2) |
Key: 3 | 2 | 1 means 0.23 seconds for type A and 0.21 seconds for type B.
The following are the house prices in thousands of dollars, arranged in ascending order, for 51 houses from a certain area.
| 253 | 270 | 310 | 354 | 386 | 428 | 433 | 468 | 472 | 477 | 485 | 520 | 520 | 524 | 526 | 531 | 535 |
| 536 | 538 | 541 | 543 | 546 | 548 | 549 | 551 | 554 | 572 | 583 | 590 | 605 | 614 | 638 | 649 | 652 |
| 666 | 670 | 682 | 684 | 690 | 710 | 725 | 726 | 731 | 734 | 745 | 760 | 800 | 854 | 863 | 957 | 986 |
An expensive house is defined as a house which has a price that is more than 1.5 times the interquartile range above the upper quartile.
The following back-to-back stem-and-leaf diagram shows the annual salaries of a group of 39 females and 39 males.
| Females | Males | |||
|---|---|---|---|---|
| (4) | 5 2 0 0 | 20 | 3 | (1) |
| (9) | 9 8 8 7 6 4 0 0 0 | 21 | 0 0 7 | (3) |
| (8) | 8 7 5 3 3 1 0 0 | 22 | 0 0 0 4 5 6 6 | (6) |
| (6) | 6 4 2 1 0 0 | 23 | 0 0 2 3 3 5 6 7 7 | (9) |
| (6) | 7 5 4 0 0 0 | 24 | 0 1 1 2 5 5 6 8 8 9 | (10) |
| (4) | 9 5 0 0 | 25 | 3 4 5 7 7 8 9 | (7) |
| (2) | 5 0 | 26 | 0 4 6 | (3) |
Key: 2 | 20 | 3 means $20 200 for females and $20 300 for males.
(i) Find the median and the quartiles of the females’ salaries.
You are given that the median salary of the males is \($24 000\), the lower quartile is \($22 600\) and the upper quartile is \($25 300.\)
(ii) Represent the data by means of a pair of box-and-whisker plots in a single diagram on graph paper.
The back-to-back stem-and-leaf diagram shows the values taken by two variables A and B.
| A | B | |||
|---|---|---|---|---|
| (3) | 3 1 0 | 15 | 1 3 3 5 | (4) |
| (2) | 4 1 | 16 | 2 2 3 4 4 5 7 7 8 | (10) |
| (3) | 8 3 3 | 17 | 0 1 3 3 3 4 6 6 7 9 9 | (11) |
| (12) | 9 8 8 6 5 5 4 3 2 1 1 0 | 18 | 2 4 7 | (3) |
| (8) | 9 9 8 8 6 5 4 2 | 19 | 1 5 | (2) |
| (5) | 9 8 7 1 0 | 20 | 4 | (1) |
Key: \(4 \mid 16 \mid 7\) means \(A = 0.164\) and \(B = 0.167\).
The marks of the pupils in a certain class in a History examination are as follows.
28, 33, 55, 38, 42, 39, 27, 48, 51, 37, 57, 49, 33
The marks of the pupils in a Physics examination are summarised as follows.
Lower quartile: 28, Median: 39, Upper quartile: 67. The lowest mark was 17 and the highest mark was 74.
The lengths of some insects of the same type from two countries, X and Y, were measured. The stem-and-leaf diagram shows the results.
| Country X | Country Y | |||
|---|---|---|---|---|
| (10) | 9 7 6 6 6 4 4 3 2 0 | 80 | ||
| (18) | 8 8 7 7 6 6 5 5 5 4 4 3 3 2 2 0 | 81 | 1 1 2 2 3 3 3 5 5 6 7 8 9 | (13) |
| (16) | 9 9 9 8 8 7 7 6 5 5 3 2 1 1 0 0 | 82 | 0 0 1 2 3 3 q 4 5 6 6 7 8 8 | (15) |
| (16) | 8 7 6 5 5 5 3 3 2 2 1 1 1 0 0 | 83 | 0 1 2 2 4 4 4 5 5 6 7 7 7 8 9 | (17) |
| (11) | 8 7 6 5 5 4 4 3 3 1 1 | 84 | 0 1 2 4 4 5 5 6 7 7 7 8 9 | (15) |
| 85 | 1 2 r 3 3 5 5 6 7 8 8 | (12) | ||
| 86 | 0 1 2 2 3 5 5 8 9 9 | (11) |
Key: 5 | 81 | 3 means an insect from country X has length 0.815 cm and an insect from country Y has length 0.813 cm.
A library has many identical shelves. All the shelves are full and the numbers of books on each shelf in a certain section are summarised by the following stem-and-leaf diagram.
| 3 | 6 9 9 | (4) |
| 4 | 6 7 | (2) |
| 5 | 0 1 2 2 | (4) |
| 6 | 0 1 1 2 3 4 4 4 5 5 6 6 6 7 8 9 | (20) |
| 7 | 1 1 3 3 3 5 6 7 8 9 9 | (12) |
| 8 | 0 2 4 5 5 6 8 | (7) |
| 9 | 0 1 2 4 4 4 5 5 6 7 7 8 8 9 9 | (18) |
Key: \( 3 \mid 6 \) represents 36 books.
In another section all the shelves are full and the numbers of books on each shelf are summarised by the following stem-and-leaf diagram.
| 2 | 1 2 2 3 3 4 5 6 6 6 7 9 | (13) |
| 3 | 0 1 1 2 3 4 5 6 6 7 7 8 8 | (15) |
| 4 | 2 2 3 5 7 8 9 | (8) |
Key: \( 3 \mid 6 \) represents 36 books.
The pulse rates, in beats per minute, of a random sample of 15 small animals are shown in the following table.
| 115 | 120 | 158 | 132 | 125 |
| 104 | 142 | 160 | 145 | 104 |
| 162 | 117 | 109 | 124 | 134 |
(ii) Find the median and the quartiles.
(iii) On graph paper, using a scale of 2 cm to represent 10 beats per minute, draw a box-and-whisker plot of the data.
The back-to-back stem-and-leaf diagram shows the diameters, in cm, of 19 cylindrical pipes produced by each of two companies, A and B.
| Company A | Company B | |
|---|---|---|
| 9 8 3 2 0 | 33 | 1 2 8 |
| 8 7 5 4 1 | 34 | 1 6 8 9 9 |
| 9 6 5 2 | 35 | 1 2 2 3 |
| 4 3 1 | 36 | 5 6 |
| 37 | 0 3 4 | |
| 38 | 2 8 |
Key: 1 | 35 | 3 means the pipe diameter from company A is 0.351 cm and from company B is 0.353 cm.
In a survey, people were asked how long they took to travel to and from work, on average. The median time was 3 hours 36 minutes, the upper quartile was 4 hours 42 minutes and the interquartile range was 3 hours 48 minutes. The longest time taken was 5 hours 12 minutes and the shortest time was 30 minutes.
The following back-to-back stem-and-leaf diagram shows the cholesterol count for a group of 45 people who exercise daily and for another group of 63 who do not exercise. The figures in brackets show the number of people corresponding to each set of leaves.
| People who exercise | People who do not exercise | |||
|---|---|---|---|---|
| (9) | 9 8 7 6 4 3 2 2 1 | 3 | 1 5 7 7 | (4) |
| (12) | 9 8 8 7 6 6 5 3 3 2 2 | 4 | 2 3 4 4 5 8 | (6) |
| (9) | 8 7 7 7 6 5 3 3 1 | 5 | 1 2 2 2 3 4 4 5 6 7 8 8 9 | (13) |
| (7) | 6 6 6 6 4 3 2 | 6 | 1 2 3 3 4 5 5 5 7 7 8 9 9 | (14) |
| (3) | 8 4 1 | 7 | 2 4 5 5 6 7 8 8 | (9) |
| (4) | 9 5 5 2 | 8 | 1 3 3 4 6 7 9 9 9 | (9) |
| (1) | 4 | 9 | 1 4 5 5 8 | (5) |
| (0) | 10 | 3 3 6 | (3) |
Key: \( 2 \mid 8 \mid 1 \) represents a cholesterol count of \( 8.2 \) in the group who exercise and \( 8.1 \) in the group who do not exercise.
The weights in kilograms of two groups of 17-year-old males from country P and country Q are displayed in the following back-to-back stem-and-leaf diagram. In the third row of the diagram, 4 | 7 | 1 denotes weights of 74 kg for a male in country P and 71 kg for a male in country Q.
| Country P | Country Q | |
|---|---|---|
| 5 | 1 5 | |
| 6 | 2 3 4 8 | |
| 9 8 7 6 4 | 7 | 1 3 4 5 6 7 7 8 8 9 |
| 8 8 6 6 5 3 | 8 | 2 3 6 7 7 8 8 |
| 9 7 7 6 5 5 5 4 2 | 9 | 0 2 2 4 |
| 5 4 4 3 1 | 10 | 4 5 |
The weights, in kg, of 15 rugby players in the Rebels club and 15 soccer players in the Sharks club are shown below.
| Rebels | 75 | 78 | 79 | 80 | 82 | 82 | 83 | 84 | 85 | 86 | 89 | 93 | 95 | 99 | 102 |
| Sharks | 66 | 68 | 71 | 72 | 74 | 75 | 75 | 76 | 78 | 83 | 83 | 84 | 85 | 86 | 92 |
(a) Represent the data by drawing a back-to-back stem-and-leaf diagram with Rebels on the left-hand side of the diagram.
(b) Find the median and the interquartile range for the Rebels.
A box-and-whisker plot for the Sharks is shown below.
(c) On the same diagram, draw a box-and-whisker plot for the Rebels.
(d) Make one comparison between the weights of the players in the Rebels club and the weights of the players in the Sharks club.

Two machines, A and B, produce metal rods of a certain type. The lengths, in metres, of 19 rods produced by machine A and 19 rods produced by machine B are shown in the following back-to-back stem-and-leaf diagram.
Stem-and-leaf diagram:
| A | B | |
|---|---|---|
| 21 | 1 2 4 | |
| 7 6 3 0 | 22 | 2 4 5 5 6 |
| 8 7 4 3 1 1 | 23 | 0 2 6 8 9 9 |
| 5 5 5 3 2 | 24 | 3 3 4 6 |
| 4 3 1 0 | 25 | 6 |
Key: 7 | 22 | 4 means 0.227 m for machine A and 0.224 m for machine B.
Another group of 33 people ran the same marathon. Their times (in minutes) are:
| 190 | 203 | 215 | 246 | 249 | 253 | 255 | 254 | 258 | 260 | 261 |
| 263 | 267 | 269 | 274 | 276 | 280 | 288 | 283 | 287 | 294 | 300 |
| 307 | 318 | 327 | 331 | 336 | 345 | 351 | 353 | 360 | 368 | 375 |
In a survey 55 students were asked to record, to the nearest kilometre, the total number of kilometres they travelled to school in a particular week. The results are shown below.
| 5 | 5 | 9 | 10 | 13 | 13 | 13 | 15 | 15 | 15 | 15 |
| 16 | 18 | 18 | 18 | 19 | 19 | 20 | 20 | 20 | 20 | 21 |
| 21 | 21 | 23 | 25 | 25 | 25 | 27 | 27 | 29 | 30 | 33 |
| 35 | 38 | 39 | 40 | 42 | 45 | 48 | 50 | 50 | 51 | 51 |
| 52 | 55 | 57 | 57 | 60 | 61 | 64 | 65 | 66 | 69 | 70 |
The number of Olympic medals won in the 2012 Olympic Games by the top \(27\) countries is shown below.
| 104 | 88 | 82 | 65 | 44 | 38 | 35 | 34 | 28 |
| 28 | 18 | 18 | 17 | 17 | 14 | 13 | 13 | 12 |
| 12 | 10 | 10 | 10 | 9 | 6 | 5 | 2 | 2 |
Find the median and quartiles of the data and draw a box-and-whisker plot on the grid.
The weights in kilograms of packets of cereal were noted correct to 4 significant figures. The following stem-and-leaf diagram shows the data.
The weights in kilograms of packets of cereal were noted correct to 4 significant figures.
| 747 | 3 | (1) |
| 748 | 1 2 5 7 7 9 | (6) |
| 749 | 0 2 2 2 3 5 5 5 6 7 8 9 | (12) |
| 750 | 1 1 2 2 2 3 4 4 5 6 7 7 8 8 9 | (15) |
| 751 | 0 0 2 3 3 4 4 5 5 7 7 9 | (13) |
| 752 | 0 0 0 1 1 2 3 4 4 4 | (11) |
| 753 | 2 | (1) |
Key: 748 | 5 represents 0.7485 kg.
The weights, x kg, of 120 students in a sports college are recorded. The results are summarised in the following table.
| Weight (x kg) | x ≤ 40 | x ≤ 60 | x ≤ 65 | x ≤ 70 | x ≤ 85 | x ≤ 100 |
|---|---|---|---|---|---|---|
| Cumulative frequency | 0 | 14 | 38 | 60 | 106 | 120 |
Calculate estimates for the mean and standard deviation of the weights of the 120 students.
The Quivers Archery club has 12 Junior members and 20 Senior members. For the Junior members, the mean age is 15.5 years and the standard deviation of the ages is 1.2 years. The ages of the Senior members are summarised by \(\Sigma y = 910\) and \(\Sigma y^2 = 42\,850\), where \(y\) is the age of a Senior member in years.
(i) Find the mean age of all 32 members of the club.
(ii) Find the standard deviation of the ages of all 32 members of the club.
Farfield Travel and Lacket Travel are two travel companies which arrange tours abroad. The numbers of holidays arranged in a certain week are recorded in the table below, together with the means and standard deviations of the prices.
| Number of holidays | Mean price ($) | Standard deviation ($) | |
|---|---|---|---|
| Farfield Travel | 30 | 1500 | 230 |
| Lacket Travel | 21 | 2400 | 160 |
(i) Calculate the mean price of all 51 holidays.
(ii) The prices of individual holidays with Farfield Travel are denoted by $x_F$ and the prices of individual holidays with Lacket Travel are denoted by $x_L$. By first finding $\sum x_F^2$ and $\sum x_L^2$, find the standard deviation of the prices of all 51 holidays.
Each of a group of 10 boys estimates the length of a piece of string. The estimates, in centimetres, are as follows.
37, 40, 45, 38, 36, 38, 42, 38, 40, 39
The ages of a group of 12 people at an Art class have mean 48.7 years and standard deviation 7.65 years. The ages of a group of 7 people at another Art class have mean 38.1 years and standard deviation 4.2 years.\n\n(i) Find the mean age of all 19 people.\n\n(ii) The individual ages in years of people in the first Art class are denoted by \(x\) and those in the second Art class by \(y\). By first finding \(\Sigma x^2\) and \(\Sigma y^2\), find the standard deviation of the ages of all 19 people.
Rani and Diksha go shopping for clothes.
(i) Rani buys 4 identical vests, 3 identical sweaters and 1 coat. Each vest costs $5.50 and the coat costs $90. The mean cost of Rani’s 8 items is $29. Find the cost of a sweater.
(ii) Diksha buys 1 hat and 4 identical shirts. The mean cost of Diksha’s 5 items is $26 and the standard deviation is $0. Explain how you can tell that Diksha spends $104 on shirts.
120 people were asked to read an article in a newspaper. The times taken, to the nearest second, by the people to read the article are summarised in the following table.
| Time (seconds) | 1 – 25 | 26 – 35 | 36 – 45 | 46 – 55 | 56 – 90 |
|---|---|---|---|---|---|
| Number of people | 4 | 24 | 38 | 34 | 20 |
Calculate estimates of the mean and standard deviation of the reading times.
The table shows the mean and standard deviation of the weights of some turkeys and geese.
| Number of birds | Mean (kg) | Standard deviation (kg) | |
|---|---|---|---|
| Turkeys | 9 | 7.1 | 1.45 |
| Geese | 18 | 5.2 | 0.96 |
(i) Find the mean weight of the 27 birds.
(ii) The weights of individual turkeys are denoted by \(x_t\) kg and the weights of individual geese by \(x_g\) kg. By first finding \(\Sigma x_t^2\) and \(\Sigma x_g^2\), find the standard deviation of the weights of all 27 birds.
Find the mean and variance of the following data. 5 \(-2\) 12 7 \(-3\) 2 \(-6\) 4 0 8
The heights, \(x\) cm, of a group of 28 people were measured. The mean height was found to be 172.6 cm and the standard deviation was found to be 4.58 cm. A person whose height was 161.8 cm left the group. (i) Find the mean height of the remaining group of 27 people. (ii) Find \(\Sigma x^2\) for the original group of 28 people. Hence find the standard deviation of the heights of the remaining group of 27 people.
Barry weighs 20 oranges and 25 lemons. For the oranges, the mean weight is 220 g and the standard deviation is 32 g. For the lemons, the mean weight is 118 g and the standard deviation is 12 g.
(i) Find the mean weight of the 45 fruits.
(ii) The individual weights of the oranges in grams are denoted by \(x_o\), and the individual weights of the lemons in grams are denoted by \(x_l\). By first finding \(\Sigma x_o^2\) and \(\Sigma x_l^2\), find the variance of the weights of the 45 fruits.
The times, to the nearest minute, of 150 athletes taking part in a charity run are recorded. The results are summarised in the table.
| Time in minutes | 101 – 120 | 121 – 130 | 131 – 135 | 136 – 145 | 146 – 160 |
|---|---|---|---|---|---|
| Frequency | 18 | 48 | 34 | 32 | 18 |
Calculate estimates for the mean and standard deviation of the times taken by the athletes.
Ashfaq and Kuljit have done a school statistics project on the prices of a particular model of headphones for MP3 players. Ashfaq collected prices from 21 shops. Kuljit used the internet to collect prices from 163 websites.
The following are the times, in minutes, taken by 11 runners to complete a 10 km run.
48.3, 55.2, 59.9, 67.7, 60.5, 75.6, 62.5, 57.4, 53.4, 49.2, 64.1
Find the mean and standard deviation of these times.
Red Street Garage has 9 used cars for sale. Fairwheel Garage has 15 used cars for sale. The mean age of the cars in Red Street Garage is 3.6 years and the standard deviation is 1.925 years. In Fairwheel Garage, \(\Sigma x = 64\) and \(\Sigma x^2 = 352\), where \(x\) is the age of a car in years.
(i) Find the mean age of all 24 cars.
(ii) Find the standard deviation of the ages of all 24 cars.
The times in minutes for seven students to become proficient at a new computer game were measured. The results are shown below.
15, 10, 48, 10, 19, 14, 16
The numbers of rides taken by two students, Fei and Graeme, at a fairground are shown in the following table.
| Roller coaster | Water slide | Revolving drum | |
|---|---|---|---|
| Fei | 4 | 2 | 0 |
| Graeme | 1 | 3 | 6 |
(i) The mean cost of Fei’s rides is $2.50 and the standard deviation of the costs of Fei’s rides is $0. Explain how you can tell that the roller coaster and the water slide each cost $2.50 per ride. [2]
(ii) The mean cost of Graeme’s rides is $3.76. Find the standard deviation of the costs of Graeme’s rides. [5]
Rachel measured the lengths in millimetres of some of the leaves on a tree. Her results are recorded below.
32, 35, 45, 37, 38, 44, 33, 39, 36, 45
Find the mean and standard deviation of the lengths of these leaves.
32 teams enter for a knockout competition, in which each match results in one team winning and the other team losing. After each match the winning team goes on to the next round, and the losing team takes no further part in the competition. Thus 16 teams play in the second round, 8 teams play in the third round, and so on, until 2 teams play in the final round.
The salaries, in thousands of dollars, of 11 people, chosen at random in a certain office, were found to be:
40, 42, 45, 41, 352, 40, 50, 48, 51, 49, 47.
Choose and calculate an appropriate measure of central tendency (mean, mode or median) to summarise these salaries. Explain briefly why the other measures are not suitable.
A group of 10 married couples and 3 single men found that the mean age \(\bar{x}_w\) of the 10 women was 41.2 years and the standard deviation of the women’s ages was 15.1 years. For the 13 men, the mean age \(\bar{x}_m\) was 46.3 years and the standard deviation was 12.7 years.
(i) Find the mean age of the whole group of 23 people.
(ii) The individual women’s ages are denoted by \(x_w\) and the individual men’s ages by \(x_m\). By first finding \(\Sigma x_w^2\) and \(\Sigma x_m^2\), find the standard deviation for the whole group.
A study of the ages of car drivers in a certain country produced the results shown in the table.
Percentage of drivers in each age group
| Young | Middle-aged | Elderly | |
|---|---|---|---|
| Males | 40 | 35 | 25 |
| Females | 20 | 70 | 10 |
Illustrate these results diagrammatically.
Each year the total number of hours, \(x\), of sunshine in Kintoo is recorded during the month of June. The results for the last 60 years are summarised in the table.
| \(x\) | 30 \(\leq x <\) 60 | 60 \(\leq x <\) 90 | 90 \(\leq x <\) 110 | 110 \(\leq x <\) 140 | 140 \(\leq x <\) 180 | 180 \(\leq x <\) 240 |
|---|---|---|---|---|---|---|
| Number of years | 4 | 8 | 14 | 25 | 7 | 2 |
Calculate an estimate for the mean number of hours of sunshine in Kintoo during June over the last 60 years.
The following table shows the results of a survey to find the average daily time, in minutes, that a group of schoolchildren spent in internet chat rooms.
| Time per day (t minutes) | Frequency |
|---|---|
| \(0 \leq t < 10\) | 2 |
| \(10 \leq t < 20\) | f |
| \(20 \leq t < 40\) | 11 |
| \(40 \leq t < 80\) | 4 |
The mean time was calculated to be 27.5 minutes.
The ages, \(x\) years, of 18 people attending an evening class are summarised by the following totals: \(\Sigma x = 745, \Sigma x^2 = 33951\).
(i) Calculate the mean and standard deviation of the ages of this group of people. [3]
(ii) One person leaves the group and the mean age of the remaining 17 people is exactly 41 years. Find the age of the person who left and the standard deviation of the ages of the remaining 17 people. [4]
Two cricket teams kept records of the number of runs scored by their teams in 8 matches. The scores are shown in the following table.
| Team A | 150 | 220 | 77 | 30 | 298 | 118 | 160 | 57 |
|---|---|---|---|---|---|---|---|---|
| Team B | 166 | 142 | 170 | 93 | 111 | 130 | 148 | 86 |
The mean and standard deviation for team B are 130.75 and 29.63 respectively.
A computer can generate random numbers which are either 0 or 2. On a particular occasion, it generates a set of numbers which consists of 23 zeros and 17 twos. Find the mean and variance of this set of 40 numbers.
Twenty children were asked to estimate the height of a particular tree. Their estimates, in metres, were as follows.
4.1, 4.2, 4.4, 4.5, 4.6, 4.8, 5.0, 5.2, 5.3, 5.4, 5.5, 5.8, 6.0, 6.2, 6.3, 6.4, 6.6, 6.8, 6.9, 19.4
(a) Find the mean of the estimated heights.
(b) Find the median of the estimated heights.
(c) Give a reason why the median is likely to be more suitable than the mean as a measure of the central tendency for this information.
A sports club has a volleyball team and a hockey team. The heights of the 6 members of the volleyball team are summarised by \(\Sigma x = 1050\) and \(\Sigma x^2 = 193700\), where \(x\) is the height of a member in cm. The heights of the 11 members of the hockey team are summarised by \(\Sigma y = 1991\) and \(\Sigma y^2 = 366400\), where \(y\) is the height of a member in cm.
(a) Find the mean height of all 17 members of the club.
(b) Find the standard deviation of the heights of all 17 members of the club.
Twelve tourists were asked to estimate the height, in metres, of a new building. Their estimates were as follows.
50, 45, 62, 30, 40, 55, 110, 38, 52, 60, 55, 40
The mean and standard deviation of 20 values of \(x\) are 60 and 4 respectively.
Another 10 values of \(x\) are such that their sum is 550 and the sum of their squares is 40 500.
The times in minutes taken to run a marathon were recorded for a group of 13 marathon runners and were found to be as follows.
180, 275, 235, 242, 311, 194, 246, 229, 238, 768, 332, 227, 228
State which of the mean, mode or median is most suitable as a measure of central tendency for these times. Explain why the other measures are less suitable.
The heights of the 11 members of the Anvils are denoted by \(x\) cm. It is given that \(\Sigma x = 1923\) and \(\Sigma x^2 = 337221\). The Anvils are joined by 3 new members whose heights are 166 cm, 172 cm and 182 cm. Find the standard deviation of the heights of all 14 members of the Anvils.
(a) Sketch the graph of \(y = |4x - 2|\).
(b) Solve the inequality \(1 + 3x < |4x - 2|\).
Solve the inequality: \(|3x - a| > 2|x + 2a|\), where \(a\) is a positive constant.
Solve the inequality: \(|2x - 1| < 3|x + 1|\)
Solve the inequality: \(2|3x - 1| < |x + 1|\)
Solve the inequality: \(2 - 5x > 2|x - 3|\)
Solve the inequality: \(|2x - 1| > 3|x + 2|\)
Solve the inequality: \(|x - 2| < 3x - 4\)
Sketch the graph of \(y = |x - 2|\).
Solve the inequality: \(|2x - 3| > 4|x + 1|\)
Solve the inequality: \(3|2x - 1| > |x + 4|\)
Find the set of values of x satisfying the inequality:
2|2x - a| < |x + 3a|, Where a is a positive constant.
Solve the inequality \(|5x - 3| < 2|3x - 7|\).
Solve the inequality: \(|x - 3| < 3x - 4\)
Solve the inequality: \(|2x + 1| < 3|x - 2|\)
Solve the inequality: \(|x - 4| < 2|3x + 1|\)
Solve the inequality: \(2|x - 2| > |3x + 1|\)
Solve the equation: \(2|x - 1| = 3|x|\)
Solve the inequality: \(|2x - 5| > 3|2x + 1|\)
Solve the inequality: \(|x - 2| > 2x - 3\)
Solve the inequality: \(|3x - 1| < |2x + 5|\)
Find the set of values of x satisfying the inequality: \(|x + 2a| > 3|x - a|\), where a is a positive constant.
Solve the inequality: \(|4x + 3| > |x|\)
(a) Sketch the graph of \(y = |2x + 3|\).
(b) Solve the inequality \(3x + 8 > |2x + 3|\).
Solve the equation: \(|x - 2| = \left|\frac{1}{3}x\right|\)
Solve the equation: \(|4x - 1| = |x - 3|\)
Find the set of values of x satisfying the inequality:
\(3|x - 1| < |2x + 1|\)
Solve the inequality: \(|x| < |5 + 2x|\)
Solve the inequality: \(2|x - 3| > |3x + 1|\)
Solve the inequality: \(|x - 3| > 2|x + 1|\)
Solve the inequality: \(|x + 3a| > 2|x - 2a|\), where \(a\) is a positive constant.
Solve the inequality: \(2 - 3x < |x - 3|\)
Solve the inequality: \(|x - 2| > 3|2x + 1|\)
Solve the inequality: \(2x > |x - 1|\)
Solve the inequality: \(3x + 5 < |2x + 1|\)
Solve the inequality: \(|x - 3a| > |x - a|\), where \(a\) is a positive constant.
Solve the inequality: \(|2x + 1| < |x|\)
Solve the inequality: \(|x - 2| < 3 - 2x\)
Solve the inequality: \(|9 - 2x| < 1\)
Sketch the graph of \(y = |2x + 1|\)
Find, in terms of a, the set of values of x satisfying the inequality:
2|3x + a| < |2x + 3a|, where a is a positive constant.
Solve the inequality: \(|2x + 3| > 3|x + 2|\)
Solve the inequality: \(|2x - 3| < 3x + 2\)
Sketch the graph of \(y = |2x - 3|\).
The polynomial \(2x^3 + ax^2 + bx + 6\), where \(a\) and \(b\) are constants, is denoted by \(p(x)\). When \(p(x)\) is divided by \((x + 2)\) the remainder is \(-38\) and when \(p(x)\) is divided by \((2x - 1)\) the remainder is \(\frac{19}{2}\).
Find the values of \(a\) and \(b\).
The polynomial \(ax^3 + 5x^2 - 4x + b\), where \(a\) and \(b\) are constants, is denoted by \(p(x)\). It is given that \((x + 2)\) is a factor of \(p(x)\) and that when \(p(x)\) is divided by \((x + 1)\) the remainder is 2.
Find the values of \(a\) and \(b\).
Find the quotient and remainder when \(6x^4 + x^3 - x^2 + 5x - 6\) is divided by \(2x^2 - x + 1\).
The polynomial \(6x^3 + ax^2 + bx - 2\), where \(a\) and \(b\) are constants, is denoted by \(p(x)\). It is given that \((2x + 1)\) is a factor of \(p(x)\) and that when \(p(x)\) is divided by \((x + 2)\) the remainder is \(-24\). Find the values of \(a\) and \(b\).
The polynomial \(x^4 + 3x^3 + ax + b\), where \(a\) and \(b\) are constants, is denoted by \(p(x)\). When \(p(x)\) is divided by \(x^2 + x - 1\) the remainder is \(2x + 3\). Find the values of \(a\) and \(b\).
The polynomial \(x^4 + 2x^3 + ax + b\), where \(a\) and \(b\) are constants, is divisible by \(x^2 - x + 1\). Find the values of \(a\) and \(b\).
Find the quotient and remainder when \(x^4\) is divided by \(x^2 + 2x - 1\).
The polynomial \(4x^4 + ax^2 + 11x + b\), where \(a\) and \(b\) are constants, is denoted by \(p(x)\). It is given that \(p(x)\) is divisible by \(x^2 - x + 2\).
The polynomial \(4x^3 + ax + 2\), where \(a\) is a constant, is denoted by \(p(x)\). It is given that \((2x + 1)\) is a factor of \(p(x)\).
Show that \((x + 1)\) is a factor of \(4x^3 - x^2 - 11x - 6\).
The polynomial \(8x^3 + ax^2 + bx - 1\), where \(a\) and \(b\) are constants, is denoted by \(p(x)\). It is given that \((x + 1)\) is a factor of \(p(x)\) and that when \(p(x)\) is divided by \((2x + 1)\) the remainder is 1.
(i) Find the values of \(a\) and \(b\).
(ii) When \(a\) and \(b\) have these values, factorise \(p(x)\) completely.
The polynomial \(2x^3 + ax^2 - 11x + b\) is denoted by \(p(x)\). It is given that \(p(x)\) is divisible by \((2x - 1)\) and that when \(p(x)\) is divided by \((x + 1)\) the remainder is 12.
Find the values of \(a\) and \(b\).
The polynomial \(4x^3 + ax^2 + bx - 2\), where \(a\) and \(b\) are constants, is denoted by \(p(x)\). It is given that \((x+1)\) and \((x+2)\) are factors of \(p(x)\).
(i) Find the values of \(a\) and \(b\).
(ii) When \(a\) and \(b\) have these values, find the remainder when \(p(x)\) is divided by \((x^2 + 1)\).
The polynomial \(ax^3 + bx^2 + x + 3\), where \(a\) and \(b\) are constants, is denoted by \(p(x)\). It is given that \((3x + 1)\) is a factor of \(p(x)\), and that when \(p(x)\) is divided by \((x - 2)\) the remainder is 21. Find the values of \(a\) and \(b\).
The polynomial \(f(x)\) is defined by
\(f(x) = x^3 + ax^2 - ax + 14\),
where \(a\) is a constant. It is given that \((x + 2)\) is a factor of \(f(x)\).
(i) Find the value of \(a\).
(ii) Show that, when \(a\) has this value, the equation \(f(x) = 0\) has only one real root.
The polynomial \(8x^3 + ax^2 + bx + 3\), where \(a\) and \(b\) are constants, is denoted by \(p(x)\). It is given that \((2x + 1)\) is a factor of \(p(x)\) and that when \(p(x)\) is divided by \((2x - 1)\) the remainder is 1.
The polynomial \(ax^3 - 20x^2 + x + 3\), where \(a\) is a constant, is denoted by \(p(x)\). It is given that \((3x + 1)\) is a factor of \(p(x)\).
(i) Find the value of \(a\).
(ii) When \(a\) has this value, factorise \(p(x)\) completely.
Find the quotient and remainder when \(2x^2\) is divided by \(x + 2\).
The polynomial \(p(x)\) is defined by
\(p(x) = x^3 - 3ax + 4a\),
where \(a\) is a constant.
(i) Given that \((x - 2)\) is a factor of \(p(x)\), find the value of \(a\).
(ii) When \(a\) has this value,
(a) factorise \(p(x)\) completely,
(b) find all the roots of the equation \(p(x^2) = 0\).
The polynomial \(p(x)\) is defined by
\(p(x) = ax^3 - x^2 + 4x - a\),
where \(a\) is a constant. It is given that \((2x - 1)\) is a factor of \(p(x)\).
Find the value of \(a\) and hence factorise \(p(x)\).
The polynomial \(x^4 + 3x^3 + ax + 3\) is denoted by \(p(x)\). It is given that \(p(x)\) is divisible by \(x^2 - x + 1\).
The polynomial \(ax^3 + bx^2 + 5x - 2\), where \(a\) and \(b\) are constants, is denoted by \(p(x)\). It is given that \((2x - 1)\) is a factor of \(p(x)\) and that when \(p(x)\) is divided by \((x - 2)\) the remainder is 12.
(i) Find the values of \(a\) and \(b\).
(ii) When \(a\) and \(b\) have these values, find the quadratic factor of \(p(x)\).
Find the quotient and remainder when \(2x^4 - 27\) is divided by \(x^2 + x + 3\).
The polynomial \(f(x)\) is defined by
\(f(x) = 12x^3 + 25x^2 - 4x - 12\).
(i) Show that \(f(-2) = 0\) and factorise \(f(x)\) completely.
(ii) Given that
\(12 \times 27^y + 25 \times 9^y - 4 \times 3^y - 12 = 0\),
state the value of \(3^y\) and hence find \(y\) correct to 3 significant figures.
The polynomial \(p(z)\) is defined by
\(p(z) = z^3 + mz^2 + 24z + 32\),
where \(m\) is a constant. It is given that \((z + 2)\) is a factor of \(p(z)\).
The polynomial \(2x^3 + 5x^2 + ax + b\), where \(a\) and \(b\) are constants, is denoted by \(p(x)\). It is given that \((2x + 1)\) is a factor of \(p(x)\) and that when \(p(x)\) is divided by \((x + 2)\) the remainder is 9.
(i) Find the values of \(a\) and \(b\).
(ii) When \(a\) and \(b\) have these values, factorise \(p(x)\) completely.
The polynomial \(4x^3 - 4x^2 + 3x + a\), where \(a\) is a constant, is denoted by \(p(x)\). It is given that \(p(x)\) is divisible by \(2x^2 - 3x + 3\).
(i) Find the value of \(a\).
(ii) When \(a\) has this value, solve the inequality \(p(x) < 0\), justifying your answer.
The polynomial \(x^4 + 3x^2 + a\), where \(a\) is a constant, is denoted by \(p(x)\). It is given that \(x^2 + x + 2\) is a factor of \(p(x)\). Find the value of \(a\) and the other quadratic factor of \(p(x)\).
The polynomial \(x^3 - 2x + a\), where \(a\) is a constant, is denoted by \(p(x)\). It is given that \((x + 2)\) is a factor of \(p(x)\).
(i) Find the value of \(a\).
(ii) When \(a\) has this value, find the quadratic factor of \(p(x)\).
The polynomial \(x^4 + 5x + a\) is denoted by \(p(x)\). It is given that \(x^2 - x + 3\) is a factor of \(p(x)\).
(i) Find the value of \(a\) and factorise \(p(x)\) completely.
(ii) Hence state the number of real roots of the equation \(p(x) = 0\), justifying your answer.
The polynomial \(2x^3 + ax^2 - 4\) is denoted by \(p(x)\). It is given that \((x - 2)\) is a factor of \(p(x)\).
(i) Find the value of \(a\).
When \(a\) has this value,
(ii) factorise \(p(x)\),
(iii) solve the inequality \(p(x) > 0\), justifying your answer.
The polynomial \(x^4 - 2x^3 - 2x^2 + a\) is denoted by \(f(x)\). It is given that \(f(x)\) is divisible by \(x^2 - 4x + 4\).
(i) Find the value of \(a\).
(ii) When \(a\) has this value, show that \(f(x)\) is never negative.
The polynomial \(x^4 + 4x^2 + x + a\) is denoted by \(p(x)\). It is given that \((x^2 + x + 2)\) is a factor of \(p(x)\).
Find the value of \(a\) and the other quadratic factor of \(p(x)\).
The polynomial \(2x^4 + ax^3 + bx - 1\), where \(a\) and \(b\) are constants, is denoted by \(p(x)\). When \(p(x)\) is divided by \(x^2 - x + 1\) the remainder is \(3x + 2\).
Find the values of \(a\) and \(b\).
The polynomial \(ax^3 + x^2 + bx + 3\) is denoted by \(p(x)\). It is given that \(p(x)\) is divisible by \((2x - 1)\) and that when \(p(x)\) is divided by \((x + 2)\) the remainder is 5.
Find the values of \(a\) and \(b\).
The polynomial \(ax^3 - 10x^2 + bx + 8\), where \(a\) and \(b\) are constants, is denoted by \(p(x)\). It is given that \((x-2)\) is a factor of both \(p(x)\) and \(p'(x)\).
(a) Find the values of \(a\) and \(b\).
(b) When \(a\) and \(b\) have these values, factorise \(p(x)\) completely.
Find the quotient and remainder when \(8x^3 + 4x^2 + 2x + 7\) is divided by \(4x^2 + 1\).
Find the quotient and remainder when \(2x^4 + 1\) is divided by \(x^2 - x + 2\).
A summary of 50 values of x gives
\(\Sigma (x - q) = 700\),
\(\Sigma (x - q)^2 = 14235\),
where q is a constant.
(a) Find the standard deviation of these values of x.
(b) Given that \(\Sigma x = 2865\), find the value of q.
A summary of n values of x gave the following information:
\(\Sigma(x - 20) = 136\),
\(\Sigma(x - 20)^2 = 2888\).
The mean of the n values of x is 24.25.
Tien measured the arm lengths, x cm, of 20 people in his class. He found that \(\Sigma x = 1218\) and the standard deviation of x was 4.2. Calculate \(\Sigma(x - 45)\) and \(\Sigma(x - 45)^2\).
Andy counts the number of emails, x, he receives each day and notes that, over a period of n days, \(\Sigma(x - 10) = 27\) and the mean number of emails is 11.5. Find the value of n.
Kadijat noted the weights, x grams, of 30 chocolate buns. Her results are summarised by
\(\Sigma (x - k) = 315, \quad \Sigma (x - k)^2 = 4022,\)
where k is a constant. The mean weight of the buns is 50.5 grams.
Twelve values of x are shown below.
1761.6, 1758.5, 1762.3, 1761.4, 1759.4, 1759.1, 1762.5, 1761.9, 1762.4, 1761.9, 1762.8, 1761.0
Find the mean and standard deviation of \((x - 1760)\). Hence find the mean and standard deviation of \(x\).
The monthly rental prices, \(x\), for 9 apartments in a certain city are listed and are summarised as follows.
\(\Sigma(x-c) = 1845\)
\(\Sigma(x-c)^2 = 477450\)
The mean monthly rental price is $2205.
For 10 values of x the mean is 86.2 and \(\Sigma(x-a) = 362\). Find the value of
The time taken, t hours, to deliver letters on a particular route each day is measured on 250 working days. The mean time taken is 2.8 hours. Given that \(\Sigma(t - 2.5)^2 = 96.1\), find the standard deviation of the times taken.
For n values of the variable x, it is given that \(\Sigma (x - 100) = 216\) and \(\Sigma x = 2416\). Find the value of n.
Amy measured her pulse rate while resting, x beats per minute, at the same time each day on 30 days. The results are summarised below.
\(\Sigma (x - 80) = -147\)
\(\Sigma (x - 80)^2 = 952\)
Find the mean and standard deviation of Amy’s pulse rate.
50 values of the variable x are summarised by
\(\Sigma(x - 20) = 35\) and \(\Sigma x^2 = 25036\).
Find the variance of these 50 values.
A traffic camera measured the speeds, x kilometres per hour, of 8 cars travelling along a certain street, with the following results.
62.7, 59.6, 64.2, 61.5, 68.3, 66.9, 62.0, 62.3
Swati measured the lengths, x cm, of 18 stick insects and found that \(\Sigma x^2 = 967\). Given that the mean length is \(\frac{58}{9}\) cm, find the values of \(\Sigma (x - 5)\) and \(\Sigma (x - 5)^2\).
A summary of the speeds, x kilometres per hour, of 22 cars passing a certain point gave the following information:
\(\Sigma(x - 50) = 81.4\) and \(\Sigma(x - 50)^2 = 671.0\).
Find the variance of the speeds and hence find the value of \(\Sigma x^2\).
A summary of 30 values of x gave the following information:
\(\Sigma(x-c) = 234\), \(\Sigma(x-c)^2 = 1957.5\),
where c is a constant.
The amounts of money, x dollars, that 24 people had in their pockets are summarised by \(\Sigma(x - 36) = -60\) and \(\Sigma(x - 36)^2 = 227.76\). Find \(\Sigma x\) and \(\Sigma x^2\).
The heights, \(x\) cm, of a group of young children are summarised by
\(\Sigma(x - 100) = 72\), \(\Sigma(x - 100)^2 = 499.2\).
The mean height is 104.8 cm.
The ages, x years, of 150 cars are summarised by \(\Sigma x = 645\) and \(\Sigma x^2 = 8287.5\). Find \(\Sigma (x - \bar{x})^2\), where \(\bar{x}\) denotes the mean of x.
The values, x, in a particular set of data are summarised by \(\Sigma(x - 25) = 133\), \(\Sigma(x - 25)^2 = 3762\).
The mean, \(\bar{x}\), is 28.325.
A sample of 36 data values, \(x\), gave \(\Sigma(x - 45) = -148\) and \(\Sigma(x - 45)^2 = 3089\).
Delip measured the speeds, x km per hour, of 70 cars on a road where the speed limit is 60 km per hour. His results are summarised by \(\Sigma(x - 60) = 245\).
For n values of the variable x, it is given that
\(\Sigma(x - 200) = 446\) and \(\Sigma x = 6846\).
Find the value of n.
Esme noted the test marks, \(x\), of 16 people in a class. She found that \(\Sigma x = 824\) and that the standard deviation of \(x\) was 6.5.
Anita made observations of the maximum temperature, \(t\) °C, on 50 days. Her results are summarised by \(\Sigma t = 910\) and \(\Sigma (t - \bar{t})^2 = 876\), where \(\bar{t}\) denotes the mean of the 50 observations. Calculate \(\bar{t}\) and the standard deviation of the observations.
The heights, \(x\) cm, of a group of 82 children are summarised as follows.
\(\Sigma(x - 130) = -287\), standard deviation of \(x = 6.9\).
A summary of 24 observations of \(x\) gave the following information:
\(\Sigma(x-a) = -73.2\) and \(\Sigma(x-a)^2 = 2115\).
The mean of these values of \(x\) is 8.95.
The length of time, t minutes, taken to do the crossword in a certain newspaper was observed on 12 occasions. The results are summarised below.
\(\Sigma(t - 35) = -15\)
\(\Sigma(t - 35)^2 = 82.23\)
Calculate the mean and standard deviation of these times taken to do the crossword.
In a spot check of the speeds \(x \text{ km h}^{-1}\) of 30 cars on a motorway, the data were summarised by \(\Sigma(x - 110) = -47.2\) and \(\Sigma(x - 110)^2 = 5460\). Calculate the mean and standard deviation of these speeds.
A summary of 40 values of \(x\) gives the following information:
\(\Sigma(x-k) = 520\), \(\Sigma(x-k)^2 = 9640\),
where \(k\) is a constant.
(a) Given that the mean of these 40 values of \(x\) is 34, find the value of \(k\).
(b) Find the variance of these 40 values of \(x\).
For n values of the variable x, it is given that
\(\Sigma (x - 50) = 144\) and \(\Sigma x = 944\).
Find the value of n.
The time in minutes taken by Whitefay Park School in a cross-country race are recorded in the table below.
| Whitefay Park School | 45 | 47 | 53 | 56 | 56 | 61 | 64 | 66 | 69 | 73 | 75 | 78 | 83 |
The times taken by pupils at Whitefay Park School are denoted by \(x\) minutes.
The times, \(t\) seconds, taken to swim 100 m were recorded for a group of 9 swimmers and were found to be as follows.
95, 126, 117, 135, 120, 125, 114, 119, 136
For 40 values of the variable x, it is given that \(\Sigma (x-c)^2 = 3099.2\), where c is a constant. The standard deviation of these values of x is 3.2.
In a statistics lesson 12 people were asked to think of a number, \(x\), between 1 and 20 inclusive. From the results Tom found that \(\Sigma x = 186\) and that the standard deviation of \(x\) is 4.5. Assuming that Tom’s calculations are correct, find the values of \(\Sigma(x - 10)\) and \(\Sigma(x - 10)^2\).
Tim has two bags of marbles, A and B.
Bag A contains 8 white, 4 red and 3 yellow marbles.
Bag B contains 6 white, 7 red and 2 yellow marbles.
Tim also has an ordinary fair 6-sided dice. He rolls the dice. If he obtains a 1 or 2, he chooses two marbles at random from bag A, without replacement. If he obtains a 3, 4, 5 or 6, he chooses two marbles at random from bag B, without replacement.
Find the probability that both marbles are white.
In a group of students, the numbers of boys and girls studying Art, Music and Drama are given in the following table. Each of these 160 students is studying exactly one of these subjects.
| Art | Music | Drama | |
|---|---|---|---|
| Boys | 24 | 40 | 32 |
| Girls | 15 | 12 | 37 |
Three students are chosen at random. Find the probability that exactly 1 is studying Music and exactly 2 are boys.
A biased die has faces numbered 1 to 6. The probabilities of the die landing on 1, 3 or 5 are each equal to 0.1. The probabilities of the die landing on 2 or 4 are each equal to 0.2. The die is thrown twice. Find the probability that the sum of the numbers it lands on is 9.
Two identical biased triangular spinners with sides marked 1, 2 and 3 are spun. For each spinner, the probabilities of landing on the sides marked 1, 2 and 3 are \(p\), \(q\) and \(r\) respectively. The score is the sum of the numbers on the sides on which the spinners land. You are given that \(P(\text{score is } 6) = \frac{1}{36}\) and \(P(\text{score is } 5) = \frac{1}{9}\). Find the values of \(p, q\) and \(r\).
A bag contains 10 pink balloons, 9 yellow balloons, 12 green balloons and 9 white balloons. 7 balloons are selected at random without replacement. Find the probability that exactly 3 of them are green.
One plastic robot is given away free inside each packet of a certain brand of biscuits. There are four colours of plastic robot (red, yellow, blue and green) and each colour is equally likely to occur. Nick buys some packets of these biscuits. Find the probability that
Nick’s friend Amos is also collecting robots.
A box contains 5 discs, numbered 1, 2, 4, 6, 7. William takes 3 discs at random, without replacement, and notes the numbers on the discs.
Find the probability that the numbers on the 3 discs are two even numbers and one odd number.
Sharik attempts a multiple choice revision question on-line. There are 3 suggested answers, one of which is correct. When Sharik chooses an answer the computer indicates whether the answer is right or wrong. Sharik first chooses one of the three suggested answers at random. If this answer is wrong, he has a second try, choosing an answer at random from the remaining 2. If this answer is also wrong, Sharik then chooses the remaining answer, which must be correct.
Draw a fully labelled tree diagram to illustrate the various choices that Sharik can make until the computer indicates that he has answered the question correctly.
Roger and Andy play a tennis match in which the first person to win two sets wins the match. The probability that Roger wins the first set is 0.6. For sets after the first, the probability that Roger wins the set is 0.7 if he won the previous set, and is 0.25 if he lost the previous set. No set is drawn.
(i) Find the probability that there is a winner of the match after exactly two sets.
(ii) Find the probability that Andy wins the match given that there is a winner of the match after exactly two sets.
Playground equipment consists of swings (S), roundabouts (R), climbing frames (C) and play-houses (P). The numbers of pieces of equipment in each of 3 playgrounds are as follows.
| Playground X | Playground Y | Playground Z | |
|---|---|---|---|
| 3S, 2R, 4P | 6S, 3R, 1C, 2P | 8S, 3R, 4C, 1P |
Each day Nur takes her child to one of the playgrounds. The probability that she chooses playground X is \(\frac{1}{4}\). The probability that she chooses playground Y is \(\frac{1}{4}\). The probability that she chooses playground Z is \(\frac{1}{2}\). When she arrives at the playground, she chooses one piece of equipment at random.
Find the probability that Nur chooses a play-house.
Dayo chooses two digits at random, without replacement, from the 9-digit number 113 333 555.
A sports event is taking place for 4 days, beginning on Sunday. The probability that it will rain on Sunday is 0.4. On any subsequent day, the probability that it will rain is 0.7 if it rained on the previous day and 0.2 if it did not rain on the previous day.
(a) Find the probability that it does not rain on any of the 4 days of the event.
(b) Find the probability that the first day on which it rains during the event is Tuesday.
(c) Find the probability that it rains on exactly one of the 4 days of the event.
Jack has a pack of 15 cards. 10 cards have a picture of a robot on them and 5 cards have a picture of an aeroplane on them. Emma has a pack of cards. 7 cards have a picture of a robot on them and x - 3 cards have a picture of an aeroplane on them. One card is taken at random from Jack’s pack and one card is taken at random from Emma’s pack. The probability that both cards have pictures of robots on them is \(\frac{7}{18}\). Write down an equation in terms of x and hence find the value of x.
The 12 houses on one side of a street are numbered with even numbers starting at 2 and going up to 24. A free newspaper is delivered on Monday to 3 different houses chosen at random from these 12. Find the probability that at least 2 of these newspapers are delivered to houses with numbers greater than 14.
Helen has some black tiles, some white tiles and some grey tiles. She places a single row of 8 tiles above her washbasin. Each tile she places is equally likely to be black, white or grey. Find the probability that there are no tiles of the same colour next to each other.
A box of biscuits contains 30 biscuits, some of which are wrapped in gold foil and some of which are unwrapped. Some of the biscuits are chocolate-covered. 12 biscuits are wrapped in gold foil, and of these biscuits, 7 are chocolate-covered. There are 17 chocolate-covered biscuits in total.
(i) Copy and complete the table below to show the number of biscuits in each category.
| Wrapped in gold foil | Unwrapped | Total | |
|---|---|---|---|
| Chocolate-covered | |||
| Not chocolate-covered | |||
| Total | 30 |
A biscuit is selected at random from the box.
(ii) Find the probability that the biscuit is wrapped in gold foil.
The biscuit is returned to the box. An unwrapped biscuit is then selected at random from the box.
(iii) Find the probability that the biscuit is chocolate-covered.
The biscuit is returned to the box. A biscuit is then selected at random from the box.
(iv) Find the probability that the biscuit is unwrapped, given that it is chocolate-covered.
The biscuit is returned to the box. Nasir then takes 4 biscuits without replacement from the box.
(v) Find the probability that he takes exactly 2 wrapped biscuits.
A factory makes a large number of ropes with lengths either 3 m or 5 m. There are four times as many ropes of length 3 m as there are ropes of length 5 m.
(ii) Two ropes are chosen at random. Find the probability that they have different lengths.
(iii) Three ropes are chosen at random. Find the probability that their total length is 11 m.
A triangular spinner has one red side, one blue side and one green side. The red side is weighted so that the spinner is four times more likely to land on the red side than on the blue side. The green side is weighted so that the spinner is three times more likely to land on the green side than on the blue side.
(i) Show that the probability that the spinner lands on the blue side is \(\frac{1}{8}\).
(ii) The spinner is spun 3 times. Find the probability that it lands on a different coloured side each time.
A bag contains 5 green balls and 3 yellow balls. Ronnie and Julie play a game in which they take turns to draw a ball from the bag at random without replacement. The winner of the game is the first person to draw a yellow ball. Julie draws the first ball. Find the probability that Ronnie wins the game.
A small aeroplane has 14 seats for passengers. The seats are arranged in 4 rows of 3 seats and a back row of 2 seats (see diagram). 12 passengers board the aeroplane.
These 12 passengers consist of 2 married couples (Mr and Mrs Lin and Mr and Mrs Brown), 5 students and 3 business people.
If, instead, the 12 passengers are seated randomly, find the probability that Mrs Lin sits directly behind a student and Mrs Brown sits in the front row.

Three friends, Rick, Brenda and Ali, go to a football match but forget to say which entrance to the ground they will meet at. There are four entrances, A, B, C and D. Each friend chooses an entrance independently.
(i) Find the probability that at least 2 friends will choose entrance B. [4]
(ii) Find the probability that the three friends will all choose the same entrance. [4]
Christa takes her dog for a walk every day. The probability that they go to the park on any day is 0.6. If they go to the park there is a probability of 0.35 that the dog will bark. If they do not go to the park there is a probability of 0.75 that the dog will bark.
Find the probability that the dog barks on any particular day.
The probability that it will rain on any given day is x. If it is raining, the probability that Aran wears a hat is 0.8 and if it is not raining, the probability that he wears a hat is 0.3. Whether it is raining or not, if Aran wears a hat, the probability that he wears a scarf is 0.4. If he does not wear a hat, the probability that he wears a scarf is 0.1. The probability that on a randomly chosen day it is not raining and Aran is not wearing a hat or a scarf is 0.36.
Find the value of x.
A bottle of sweets contains 13 red sweets, 13 blue sweets, 13 green sweets, and 13 yellow sweets. 7 sweets are selected at random. Find the probability that exactly 3 of them are red.
Two unbiased tetrahedral dice each have four faces numbered 1, 2, 3, and 4. The two dice are thrown together and the sum of the numbers on the faces on which they land is noted. Find the expected number of occasions on which this sum is 7 or more when the dice are thrown together 200 times.
A vegetable basket contains 12 peppers, of which 3 are red, 4 are green and 5 are yellow. Three peppers are taken, at random and without replacement, from the basket.
The probability that Henk goes swimming on any day is 0.2. On a day when he goes swimming, the probability that Henk has burgers for supper is 0.75. On a day when he does not go swimming, the probability that he has burgers for supper is x. This information is shown on the following tree diagram.
The probability that Henk has burgers for supper on any day is 0.5.
(i) Find x.
(ii) Given that Henk has burgers for supper, find the probability that he went swimming that day.

Boxes of sweets contain toffees and chocolates. Box A contains 6 toffees and 4 chocolates, box B contains 5 toffees and 3 chocolates, and box C contains 3 toffees and 7 chocolates. One of the boxes is chosen at random and two sweets are taken out, one after the other, and eaten.
(i) Find the probability that they are both toffees.
(ii) Given that they are both toffees, find the probability that they both came from box A.
A box contains five balls numbered 1, 2, 3, 4, 5. Three balls are drawn randomly at the same time from the box.
(i) By listing all possible outcomes (123, 124, etc.), find the probability that the sum of the three numbers drawn is an odd number.
The random variable \(L\) denotes the largest of the three numbers drawn.
(ii) Find the probability that \(L\) is 4.
A box contains 10 pens of which 3 are new. A random sample of two pens is taken.
Show that the probability of getting exactly one new pen in the sample is \(\frac{7}{15}\).
Ivan throws three fair dice.
The probability that a student at a large music college plays in the band is 0.6. For a student who plays in the band, the probability that she also sings in the choir is 0.3. For a student who does not play in the band, the probability that she sings in the choir is x. The probability that a randomly chosen student from the college does not sing in the choir is 0.58.
(a) Find the value of x.
Two students from the college are chosen at random.
(b) Find the probability that both students play in the band and both sing in the choir.
A total of 500 students were asked which one of four colleges they attended and whether they preferred soccer or hockey. The numbers of students in each category are shown in the following table.
| Soccer | Hockey | Total | |
|---|---|---|---|
| Amos | 54 | 32 | 86 |
| Benn | 84 | 72 | 156 |
| Canton | 22 | 56 | 78 |
| Devar | 120 | 60 | 180 |
| Total | 280 | 220 | 500 |
Find the probability that a randomly chosen student is at Canton college and prefers hockey.
When Shona goes to college she either catches the bus with probability 0.8 or she cycles with probability 0.2. If she catches the bus, the probability that she is late is 0.4. If she cycles, the probability that she is late is x. The probability that Shona is not late for college on a randomly chosen day is 0.63. Find the value of x.
Jameel has 5 plums and 3 apricots in a box. Rosa has x plums and 6 apricots in a box. One fruit is chosen at random from Jameel’s box and one fruit is chosen at random from Rosa’s box. The probability that both fruits chosen are plums is \(\frac{1}{4}\). Write down an equation in x and hence find x.
Out of a class of 8 boys and 4 girls, a group of 7 people is chosen at random.
Kenny also attempts the puzzle every day. The probability that he will complete the puzzle on a Monday is 0.8. The probability that he will complete it on a Tuesday is 0.9 if he completed it on the previous day and 0.6 if he did not complete it on the previous day.
Find the probability that Kenny will complete the puzzle on at least one of the two days Monday and Tuesday in a randomly chosen week.
Tim has two bags of marbles, A and B.
Bag A contains 8 white, 4 red and 3 yellow marbles.
Bag B contains 6 white, 7 red and 2 yellow marbles.
Tim also has an ordinary fair 6-sided dice. He rolls the dice. If he obtains a 1 or 2, he chooses two marbles at random from bag A, without replacement. If he obtains a 3, 4, 5 or 6, he chooses two marbles at random from bag B, without replacement.
Find the probability that the two marbles come from bag B given that one is white and one is red.
Box A contains 6 red balls and 4 blue balls. Box B contains x red balls and 9 blue balls. A ball is chosen at random from box A and placed in box B. A ball is then chosen at random from box B.
(a) Complete the tree diagram below, giving the remaining four probabilities in terms of x.
(b) Show that the probability that both balls chosen are blue is \(\frac{4}{x+10}\).
It is given that the probability that both balls chosen are blue is \(\frac{1}{6}\).
(c) Find the probability, correct to 3 significant figures, that the ball chosen from box A is red given that the ball chosen from box B is red.

Each of the 180 students at a college plays exactly one of the piano, the guitar, and the drums. The numbers of male and female students who play the piano, the guitar, and the drums are given in the following table.
| Piano | Guitar | Drums | |
|---|---|---|---|
| Male | 25 | 44 | 11 |
| Female | 42 | 38 | 20 |
A student at the college is chosen at random.
Find the probability that the student is male given that the student plays the drums.
For her bedtime drink, Suki has either chocolate, tea or milk with probabilities 0.45, 0.35 and 0.2 respectively. When she has chocolate, the probability that she has a biscuit is 0.3. When she has tea, the probability that she has a biscuit is 0.6. When she has milk, she never has a biscuit.
Find the probability that Suki has tea given that she does not have a biscuit.
In the region of Arka, the total number of households in the three villages Reeta, Shan and Teber is 800. Each of the households was asked about the quality of their broadband service. Their responses are summarised in the following table.
| Village | Excellent | Good | Poor |
|---|---|---|---|
| Reeta | 75 | 118 | 32 |
| Shan | 223 | 177 | 40 |
| Teber | 12 | 60 | 63 |
(i) Find the probability that a randomly chosen household is in Shan and has poor broadband service.
(ii) Find the probability that a randomly chosen household has good broadband service given that the household is in Shan.
On each day that Alexa goes to work, the probabilities that she travels by bus, by train or by car are 0.4, 0.35 and 0.25 respectively. When she travels by bus, the probability that she arrives late is 0.55. When she travels by train, the probability that she arrives late is 0.7. When she travels by car, the probability that she arrives late is x.
On a randomly chosen day when Alexa goes to work, the probability that she does not arrive late is 0.48.
(a) Find the value of x.
(b) Find the probability that Alexa travels to work by train given that she arrives late.
To gain a place at a science college, students first have to pass a written test and then a practical test.
Each student is allowed a maximum of two attempts at the written test. A student is only allowed a second attempt if they fail the first attempt. No student is allowed more than one attempt at the practical test. If a student fails both attempts at the written test, then they cannot attempt the practical test.
The probability that a student will pass the written test at the first attempt is 0.8. If a student fails the first attempt at the written test, the probability that they will pass at the second attempt is 0.6. The probability that a student will pass the practical test is always 0.3.
(a) Draw a tree diagram to represent this information, showing the probabilities on the branches.
(b) Find the probability that a randomly chosen student will succeed in gaining a place at the college.
(c) Find the probability that a randomly chosen student passes the written test at the first attempt given that the student succeeds in gaining a place at the college.
Georgie has a red scarf, a blue scarf and a yellow scarf. Each day she wears exactly one of these scarves. The probabilities for the three colours are 0.2, 0.45 and 0.35 respectively. When she wears a red scarf, she always wears a hat. When she wears a blue scarf, she wears a hat with probability 0.4. When she wears a yellow scarf, she wears a hat with probability 0.3.
(a) Find the probability that on a randomly chosen day Georgie wears a hat.
(b) Find the probability that on a randomly chosen day Georgie wears a yellow scarf given that she does not wear a hat.
In a certain country, the weather each day is classified as fine or rainy. The probability that a fine day is followed by a fine day is 0.75 and the probability that a rainy day is followed by a fine day is 0.4. The probability that it is fine on 1 April is 0.8. The tree diagram below shows the possibilities for the weather on 1 April and 2 April.
(a) Complete the tree diagram to show the probabilities.
(b) Find the probability that 2 April is fine.
Let \(X\) be the event that 1 April is fine and \(Y\) be the event that 3 April is rainy.
(c) Find the value of \(P(X \cap Y)\).
(d) Find the probability that 1 April is fine given that 3 April is rainy.

Juan goes to college each day by any one of car or bus or walking. The probability that he goes by car is 0.2, the probability that he goes by bus is 0.45 and the probability that he walks is 0.35. When Juan goes by car, the probability that he arrives early is 0.6. When he goes by bus, the probability that he arrives early is 0.1. When he walks he always arrives early.
(a) Draw a fully labelled tree diagram to represent this information.
(b) Find the probability that Juan goes to college by car given that he arrives early.
A total of 500 students were asked which one of four colleges they attended and whether they preferred soccer or hockey. The numbers of students in each category are shown in the following table.
| Soccer | Hockey | Total | |
|---|---|---|---|
| Amos | 54 | 32 | 86 |
| Benn | 84 | 72 | 156 |
| Canton | 22 | 56 | 78 |
| Devar | 120 | 60 | 180 |
| Total | 280 | 220 | 500 |
Find the probability that a randomly chosen student is at Devar college given that he prefers soccer.
Freddie has two bags of marbles.
Bag X contains 7 red marbles and 3 blue marbles.
Bag Y contains 4 red marbles and 1 blue marble.
Freddie chooses one of the bags at random. A marble is removed at random from that bag and not replaced. A new red marble is now added to each bag. A second marble is then removed at random from the same bag that the first marble had been removed from.
(a) Draw a tree diagram to represent this information, showing the probability on each of the branches. [3]
(b) Find the probability that both of the marbles removed from the bag are the same colour. [4]
(c) Find the probability that bag Y is chosen given that the marbles removed are not both the same colour. [2]
On Mondays, Rani cooks her evening meal. She has a pizza, a burger or a curry with probabilities 0.35, 0.44, 0.21 respectively. When she cooks a pizza, Rani has some fruit with probability 0.3. When she cooks a burger, she has some fruit with probability 0.8. When she cooks a curry, she never has any fruit.
(a) Draw a fully labelled tree diagram to represent this information.
(b) Find the probability that Rani has some fruit.
(c) Find the probability that Rani does not have a burger given that she does not have any fruit.
Box A contains 7 red balls and 1 blue ball. Box B contains 9 red balls and 5 blue balls. A ball is chosen at random from box A and placed in box B. A ball is then chosen at random from box B. The tree diagram below shows the possibilities for the colours of the balls chosen.
(a) Complete the tree diagram to show the probabilities.
(b) Find the probability that the two balls chosen are not the same colour.
(c) Find the probability that the ball chosen from box A is blue given that the ball chosen from box B is blue.

Benju cycles to work each morning and he has two possible routes. He chooses the hilly route with probability 0.4 and the busy route with probability 0.6. If he chooses the hilly route, the probability that he will be late for work is \(x\) and if he chooses the busy route the probability that he will be late for work is \(2x\). The probability that Benju is late for work on any day is 0.36.
(i) Show that \(x = 0.225\).
(ii) Given that Benju is not late for work, find the probability that he chooses the hilly route.
Megan sends messages to her friends in one of 3 different ways: text, email or social media. For each message, the probability that she uses text is 0.3 and the probability that she uses email is 0.2. She receives an immediate reply from a text message with probability 0.4, from an email with probability 0.15 and from social media with probability 0.6.
(i) Draw a fully labelled tree diagram to represent this information.
(ii) Given that Megan does not receive an immediate reply to a message, find the probability that the message was an email.
On each day that Tamar goes to work, he wears either a blue suit with probability 0.6 or a grey suit with probability 0.4. If he wears a blue suit then the probability that he wears red socks is 0.2. If he wears a grey suit then the probability that he wears red socks is 0.32.
(i) Find the probability that Tamar wears red socks on any particular day that he is at work.
(ii) Given that Tamar is not wearing red socks at work, find the probability that he is wearing a grey suit.
A box contains 3 red balls and 5 blue balls. One ball is taken at random from the box and not replaced. A yellow ball is then put into the box. A second ball is now taken at random from the box.

In a group of students, the numbers of boys and girls studying Art, Music and Drama are given in the following table. Each of these 160 students is studying exactly one of these subjects.
| Art | Music | Drama | |
|---|---|---|---|
| Boys | 24 | 40 | 32 |
| Girls | 15 | 12 | 37 |
Find the probability that a randomly chosen student is not studying Drama, given that the student is a girl.
The members of a swimming club are classified either as ‘Advanced swimmers’ or ‘Beginners’. The proportion of members who are male is \(x\), and the proportion of males who are Beginners is 0.7. The proportion of females who are Advanced swimmers is 0.55. This information is shown in the tree diagram.
For a randomly chosen member, the probability of being an Advanced swimmer is the same as the probability of being a Beginner.
(i) Find \(x\).
(ii) Given that a randomly chosen member is an Advanced swimmer, find the probability that the member is male.

Vehicles approaching a certain road junction from town A can either turn left, turn right or go straight on. Over time it has been noted that of the vehicles approaching this particular junction from town A, 55% turn left, 15% turn right and 30% go straight on. The direction a vehicle takes at the junction is independent of the direction any other vehicle takes at the junction.
Three vehicles approach the junction from town A. Given that all three drivers choose the same direction at the junction, find the probability that they all go straight on.
At the end of a revision course in mathematics, students have to pass a test to gain a certificate. The probability of any student passing the test at the first attempt is 0.85. Those students who fail are allowed to retake the test once, and the probability of any student passing the retake test is 0.65.
Jasmine throws two ordinary fair 6-sided dice at the same time and notes the numbers on the uppermost faces. The events A and B are defined as follows.
A: The sum of the two numbers is less than 6.
B: The difference between the two numbers is at most 2.
Find \(P(B \,|\, A')\).
Over a period of time Julian finds that on long-distance flights he flies economy class on 82% of flights. On the rest of the flights he flies first class. When he flies economy class, the probability that he gets a good night's sleep is \(x\). When he flies first class, the probability that he gets a good night's sleep is 0.9.
(i) Draw a fully labelled tree diagram to illustrate this situation.
The probability that Julian gets a good night's sleep on a randomly chosen flight is 0.285.
(ii) Find the value of \(x\).
(iii) Given that on a particular flight Julian does not get a good night's sleep, find the probability that he is flying economy class.
A shop sells two makes of coffee, Café Premium and Café Standard. Both coffees come in two sizes, large jars and small jars. Of the jars on sale, 65% are Café Premium and 35% are Café Standard. Of the Café Premium, 40% of the jars are large and of the Café Standard, 25% of the jars are large. A jar is chosen at random.
During the school holidays, each day Khalid either rides on his bicycle with probability 0.6, or on his skateboard with probability 0.4. Khalid does not ride on both on the same day. If he rides on his bicycle then the probability that he hurts himself is 0.05. If he rides on his skateboard the probability that he hurts himself is 0.75.
(i) Find the probability that Khalid hurts himself on any particular day.
(ii) Given that Khalid hurts himself on a particular day, find the probability that he is riding on his skateboard.
Redbury United soccer team play a match every week. Each match can be won, drawn or lost. At the beginning of the soccer season the probability that Redbury United win their first match is \(\frac{3}{5}\), with equal probabilities of losing or drawing. If they win the first match, the probability that they win the second match is \(\frac{7}{10}\) and the probability that they lose the second match is \(\frac{1}{10}\). If they draw the first match they are equally likely to win, draw or lose the second match. If they lose the first match, the probability that they win the second match is \(\frac{3}{10}\) and the probability that they draw the second match is \(\frac{1}{20}\).
When Anya goes to school, the probability that she walks is 0.3 and the probability that she cycles is 0.65; if she does not walk or cycle she takes the bus. When Anya walks the probability that she is late is 0.15. When she cycles the probability that she is late is 0.1 and when she takes the bus the probability that she is late is 0.6. Given that Anya is late, find the probability that she cycles.
Deeti has 3 red pens and 1 blue pen in her left pocket and 3 red pens and 1 blue pen in her right pocket. 'Operation T' consists of Deeti taking one pen at random from her left pocket and placing it in her right pocket, then taking one pen at random from her right pocket and placing it in her left pocket.
(i) Find the probability that, when Deeti carries out operation T, she takes a blue pen from her left pocket and then a blue pen from her right pocket.
The random variable X is the number of blue pens in Deeti's left pocket after carrying out operation T.
\((ii) Find P(X = 1).\)
(iii) Given that the pen taken from Deeti's right pocket is blue, find the probability that the pen taken from Deeti's left pocket is blue.
Ayman’s breakfast drink is tea, coffee or hot chocolate with probabilities 0.65, 0.28, 0.07 respectively. When he drinks tea, the probability that he has milk in it is 0.8. When he drinks coffee, the probability that he has milk in it is 0.5. When he drinks hot chocolate he always has milk in it.
(i) Draw a fully labelled tree diagram to represent this information.
(ii) Find the probability that Ayman’s breakfast drink is coffee, given that his drink has milk in it.
The probability that the school bus is on time on any particular day is 0.6. If the bus is on time the probability that Sam the driver gets a cup of coffee is 0.9. If the bus is not on time the probability that Sam gets a cup of coffee is 0.3.
(i) Find the probability that Sam gets a cup of coffee.
(ii) Given that Sam does not get a cup of coffee, find the probability that the bus is not on time.
In a certain town, 35% of the people take a holiday abroad and 65% take a holiday in their own country. Of those going abroad 80% go to the seaside, 15% go camping and 5% take a city break. Of those taking a holiday in their own country, 20% go to the seaside and the rest are divided equally between camping and a city break.
A person is chosen at random. Given that the person chosen goes camping, find the probability that the person goes abroad.
When Joanna cooks, the probability that the meal is served on time is \(\frac{1}{5}\). The probability that the kitchen is left in a mess is \(\frac{3}{5}\). The probability that the meal is not served on time and the kitchen is not left in a mess is \(\frac{3}{10}\). Some of this information is shown in the following table.
| Kitchen left in a mess | Kitchen not left in a mess | Total | |
|---|---|---|---|
| Meal served on time | \(\frac{1}{5}\) | ||
| Meal not served on time | \(\frac{3}{10}\) | ||
| Total | 1 |
(i) Copy and complete the table.
(ii) Given that the kitchen is left in a mess, find the probability that the meal is not served on time.
Two fair 5-sided spinners, each with sides labelled 1, 2, 3, 4, 5, are spun at the same time. If the numbers obtained are equal, the score is 0. Otherwise, the score is the higher number minus the lower number.
Find the probability that the score is greater than 0 given that the score is not equal to 2.
Nikita goes shopping to buy a birthday present for her mother. She buys either a scarf, with probability 0.3, or a handbag. The probability that her mother will like the choice of scarf is 0.72. The probability that her mother will like the choice of handbag is x. This information is shown on the tree diagram. The probability that Nikita’s mother likes the present that Nikita buys is 0.783.
(i) Find x.
(ii) Given that Nikita’s mother does not like her present, find the probability that the present is a scarf.

A survey is undertaken to investigate how many photos people take on a one-week holiday and also how many times they view past photos. For a randomly chosen person, the probability of taking fewer than 100 photos is \(x\). The probability that these people view past photos at least 3 times is 0.76. For those who take at least 100 photos, the probability that they view past photos fewer than 3 times is 0.90. This information is shown in the tree diagram. The probability that a randomly chosen person views past photos fewer than 3 times is 0.801.
(i) Find \(x\).
(ii) Given that a person views past photos at least 3 times, find the probability that this person takes at least 100 photos.

In country X, 25% of people have fair hair. In country Y, 60% of people have fair hair. There are 20 million people in country X and 8 million people in country Y. A person is chosen at random from these 28 million people.
Jodie tosses a biased coin and throws two fair tetrahedral dice. The probability that the coin shows a head is \(\frac{1}{3}\). Each of the dice has four faces, numbered 1, 2, 3, and 4. Jodie’s score is calculated from the numbers on the faces that the dice land on, as follows:
Find the probability that the coin shows a head given that Jodie’s score is 8.
Tom and Ben play a game repeatedly. The probability that Tom wins any game is 0.3. Each game is won by either Tom or Ben. Tom and Ben stop playing when one of them (to be called the champion) has won two games.
Playground equipment consists of swings (S), roundabouts (R), climbing frames (C) and play-houses (P). The numbers of pieces of equipment in each of 3 playgrounds are as follows.
| Playground X | Playground Y | Playground Z | |
|---|---|---|---|
| 3S, 2R, 4P | 6S, 3R, 1C, 2P | 8S, 3R, 4C, 1P |
Each day Nur takes her child to one of the playgrounds. The probability that she chooses playground X is \(\frac{1}{4}\). The probability that she chooses playground Y is \(\frac{1}{4}\). The probability that she chooses playground Z is \(\frac{1}{2}\). When she arrives at the playground, she chooses one piece of equipment at random.
Given that Nur chooses a climbing frame, find the probability that she chose playground Y. [4]
Dayo chooses two digits at random, without replacement, from the 9-digit number 113 333 555.
Find the probability that the first digit Dayo chose was a 5, given that the second digit he chose is not a 5.
On Saturday afternoons Mohit goes shopping with probability 0.25, or goes to the cinema with probability 0.35 or stays at home. If he goes shopping the probability that he spends more than $50 is 0.7. If he goes to the cinema the probability that he spends more than $50 is 0.8. If he stays at home he spends $10 on a pizza.
(i) Find the probability that Mohit will go to the cinema and spend less than $50.
(ii) Given that he spends less than $50, find the probability that he went to the cinema.
The people living in two towns, Mumbok and Bagville, are classified by age. The numbers in thousands living in each town are shown in the table below.
| Mumbok | Bagville | |
|---|---|---|
| Under 18 years | 15 | 35 |
| 18 to 60 years | 55 | 95 |
| Over 60 years | 20 | 30 |
One of the towns is chosen. The probability of choosing Mumbok is 0.6 and the probability of choosing Bagville is 0.4. Then a person is chosen at random from that town. Given that the person chosen is between 18 and 60 years old, find the probability that the town chosen was Mumbok.
John plays two games of squash. The probability that he wins his first game is 0.3. If he wins his first game, the probability that he wins his second game is 0.6. If he loses his first game, the probability that he wins his second game is 0.15. Given that he wins his second game, find the probability that he won his first game.
Sam and Tom are playing a game which involves a bag containing 5 white discs and 3 red discs. They take turns to remove one disc from the bag at random. Discs that are removed are not replaced into the bag. The game ends as soon as one player has removed two red discs from the bag. That player wins the game.
Sam removes the first disc.
(a) Find the probability that Tom removes a red disc on his first turn.
(b) Find the probability that Tom wins the game on his second turn.
(c) Find the probability that Sam removes a red disc on his first turn given that Tom wins the game on his second turn.
Susan has a bag of sweets containing 7 chocolates and 5 toffees. Ahmad has a bag of sweets containing 3 chocolates, 4 toffees and 2 boiled sweets. A sweet is taken at random from Susan’s bag and put in Ahmad’s bag. A sweet is then taken at random from Ahmad’s bag.
(i) Find the probability that the two sweets taken are a toffee from Susan’s bag and a boiled sweet from Ahmad’s bag.
(ii) Given that the sweet taken from Ahmad’s bag is a chocolate, find the probability that the sweet taken from Susan’s bag was also a chocolate.
Box A contains 8 white balls and 2 yellow balls. Box B contains 5 white balls and x yellow balls. A ball is chosen at random from box A and placed in box B. A ball is then chosen at random from box B. The tree diagram below shows the possibilities for the colours of the balls chosen.
(i) Justify the probability \(\frac{x}{x+6}\) on the tree diagram.
(ii) Copy and complete the tree diagram.
(iii) If the ball chosen from box A is white then the probability that the ball chosen from box B is also white is \(\frac{1}{3}\). Show that the value of \(x\) is 12.
(iv) Given that the ball chosen from box B is yellow, find the conditional probability that the ball chosen from box A was yellow.

Fabio drinks coffee each morning. He chooses Americano, Cappuccino or Latte with probabilities 0.5, 0.3 and 0.2 respectively. If he chooses Americano he either drinks it immediately with probability 0.8, or leaves it to drink later. If he chooses Cappuccino he either drinks it immediately with probability 0.6, or leaves it to drink later. If he chooses Latte he either drinks it immediately with probability 0.1, or leaves it to drink later.
(i) Find the probability that Fabio chooses Americano and leaves it to drink later.
(ii) Fabio drinks his coffee immediately. Find the probability that he chose Latte.
Ana meets her friends once every day. For each day the probability that she is early is 0.05 and the probability that she is late is 0.75. Otherwise she is on time.
If she is early there is a probability of 0.7 that she will eat a banana. If she is late she does not eat a banana. If she is on time there is a probability of 0.4 that she will eat a banana. Given that for one particular meeting with friends she does not eat a banana, find the probability that she is on time.
Maria has 3 pre-set stations on her radio. When she switches her radio on, there is a probability of 0.3 that it will be set to station 1, a probability of 0.45 that it will be set to station 2 and a probability of 0.25 that it will be set to station 3. On station 1 the probability that the presenter is male is 0.1, on station 2 the probability that the presenter is male is 0.85 and on station 3 the probability that the presenter is male is \(p\). When Maria switches on the radio, the probability that it is set to station 3 and the presenter is male is 0.075.
When Ted is looking for his pen, the probability that it is in his pencil case is 0.7. If his pen is in his pencil case he always finds it. If his pen is somewhere else, the probability that he finds it is 0.2. Given that Ted finds his pen when he is looking for it, find the probability that it was in his pencil case.
It was found that 68% of the passengers on a train used a cell phone during their train journey. Of those using a cell phone, 70% were under 30 years old, 25% were between 30 and 65 years old and the rest were over 65 years old. Of those not using a cell phone, 26% were under 30 years old and 64% were over 65 years old.
(i) Draw a tree diagram to represent this information, giving all probabilities as decimals.
(ii) Given that one of the passengers is 45 years old, find the probability of this passenger using a cell phone during the journey.
A fair five-sided spinner has sides numbered 1, 2, 3, 4, 5. Raj spins the spinner and throws two fair dice. He calculates his score as follows:
Given that Raj’s score is 12, find the probability that the spinner landed on an even-numbered side.
When the farmer’s dog is let loose, it chases either the ducks with probability \(\frac{3}{5}\) or the geese with probability \(\frac{2}{5}\). If the dog chases the ducks there is a probability of \(\frac{1}{10}\) that they will attack the dog. If the dog chases the geese there is a probability of \(\frac{3}{4}\) that they will attack the dog. Given that the dog is not attacked, find the probability that it was chasing the geese.
In a television quiz show Peter answers questions one after another, stopping as soon as a question is answered wrongly.
On the first occasion that Peter decides to ask for help he asks the audience. The probability that the audience gives the correct answer to any question is 0.95. This information is shown in the tree diagram below.
(i) Show that the probability that the first question is answered correctly is 0.89.
On the second occasion that Peter decides to ask for help he phones a friend. The probability that his friend gives the correct answer to any question is 0.65.
(ii) Find the probability that the first two questions are both answered correctly.
(iii) Given that the first two questions were both answered correctly, find the probability that Peter asked the audience.

On any day, Kino travels to school by bus, by car or on foot with probabilities 0.2, 0.1 and 0.7 respectively. The probability that he is late when he travels by bus is \(x\). The probability that he is late when he travels by car is \(2x\) and the probability that he is late when he travels on foot is 0.25.
The probability that, on a randomly chosen day, Kino is late is 0.235.
(a) Find the value of \(x\).
(b) Find the probability that, on a randomly chosen day, Kino travels to school by car given that he is not late.
Maria chooses toast for her breakfast with probability 0.85. If she does not choose toast then she has a bread roll. If she chooses toast then the probability that she will have jam on it is 0.8. If she has a bread roll then the probability that she will have jam on it is 0.4.
(i) Draw a fully labelled tree diagram to show this information.
(ii) Given that Maria did not have jam for breakfast, find the probability that she had toast.
A box contains 4 pears and 7 oranges. Three fruits are taken out at random and eaten. Find the probability that
At a zoo, rides are offered on elephants, camels and jungle tractors. Ravi has money for only one ride. To decide which ride to choose, he tosses a fair coin twice. If he gets 2 heads he will go on the elephant ride, if he gets 2 tails he will go on the camel ride and if he gets 1 of each he will go on the jungle tractor ride.
(i) Find the probabilities that he goes on each of the three rides.
The probabilities that Ravi is frightened on each of the rides are as follows:
elephant ride \(\frac{6}{10}\), camel ride \(\frac{7}{10}\), jungle tractor ride \(\frac{8}{10}\).
(ii) Draw a fully labelled tree diagram showing the rides that Ravi could take and whether or not he is frightened.
Ravi goes on a ride.
(iii) Find the probability that he is frightened.
(iv) Given that Ravi is not frightened, find the probability that he went on the camel ride.
There are three sets of traffic lights on Karinne’s journey to work. The independent probabilities that Karinne has to stop at the first, second and third set of lights are 0.4, 0.8 and 0.3 respectively.
In country A, 30% of people who drink tea have sugar in it. In country B, 65% of people who drink tea have sugar in it. There are 3 million people in country A who drink tea and 12 million people in country B who drink tea. A person is chosen at random from these 15 million people.
Box A contains 5 red paper clips and 1 white paper clip. Box B contains 7 red paper clips and 2 white paper clips. One paper clip is taken at random from box A and transferred to box B. One paper clip is then taken at random from box B.
Jamie is equally likely to attend or not to attend a training session before a football match. If he attends, he is certain to be chosen for the team which plays in the match. If he does not attend, there is a probability of 0.6 that he is chosen for the team.
(i) Find the probability that Jamie is chosen for the team.
(ii) Find the conditional probability that Jamie attended the training session, given that he was chosen for the team.
When Andrea needs a taxi, she rings one of three taxi companies, A, B or C. 50% of her calls are to taxi company A, 30% to B and 20% to C. A taxi from company A arrives late 4% of the time, a taxi from company B arrives late 6% of the time and a taxi from company C arrives late 17% of the time.
When Don plays tennis, 65% of his first serves go into the correct area of the court. If the first serve goes into the correct area, his chance of winning the point is 90%. If his first serve does not go into the correct area, Don is allowed a second serve, and of these, 80% go into the correct area. If the second serve goes into the correct area, his chance of winning the point is 60%. If neither serve goes into the correct area, Don loses the point.
In a certain country 54% of the population is male. It is known that 5% of the males are colour-blind and 2% of the females are colour-blind. A person is chosen at random and found to be colour-blind. By drawing a tree diagram, or otherwise, find the probability that this person is male.
Sajid is practising for a long jump competition. He counts any jump that is longer than 6 m as a success. On any day, the probability that he has a success with his first jump is 0.2. For any subsequent jump, the probability of a success is 0.3 if the previous jump was a success and 0.1 otherwise. Sajid makes three jumps.
(a) Draw a tree diagram to illustrate this information, showing all the probabilities.
(b) Find the probability that Sajid has exactly one success given that he has at least one success.
On another day, Sajid makes six jumps.
(c) Find the probability that only his first three jumps are successes or only his last three jumps are successes.
The people living in 3 houses are classified as children (C), parents (P) or grandparents (G). The numbers living in each house are shown in the table below.
| House number 1 | House number 2 | House number 3 | |
|---|---|---|---|
| 4C, 1P, 2G | 2C, 2P, 3G | 1C, 1G |
Rachel and Anna play each other at badminton. Each game results in either a win for Rachel or a win for Anna. The probability of Rachel winning the first game is 0.6. If Rachel wins a particular game, the probability of her winning the next game is 0.7, but if she loses, the probability of her winning the next game is 0.4. By using a tree diagram, or otherwise,
Hanna buys 12 hollow chocolate eggs that each contain a sweet. The eggs look identical but Hanna knows that 3 contain a red sweet, 4 contain an orange sweet and 5 contain a yellow sweet. Each of Hanna’s three children in turn randomly chooses and eats one of the eggs, keeping the sweet it contained.
(a) Find the probability that all 3 eggs chosen contain the same colour sweet.
(b) Find the probability that all 3 eggs chosen contain a yellow sweet, given that all three children have the same colour sweet.
(c) Find the probability that at least one of Hanna’s three children chooses an egg that contains an orange sweet.
Janice is playing a computer game. She has to complete level 1 and level 2 to finish the game. She is allowed at most two attempts at any level.
(a) Show that the probability that Janice moves on to level 2 is 0.72.
(b) Find the probability that Janice finishes the game.
(c) Find the probability that Janice fails exactly one attempt, given that she finishes the game.
Jasmine throws two ordinary fair 6-sided dice at the same time and notes the numbers on the uppermost faces. The events A and B are defined as follows.
A: The sum of the two numbers is less than 6.
B: The difference between the two numbers is at most 2.
Determine whether or not the events A and B are independent.
A fair six-sided die is thrown twice and the scores are noted. Event X is defined as ‘The total of the two scores is 4’. Event Y is defined as ‘The first score is 2 or 5’. Are events X and Y independent? Justify your answer.
In a group of students, the numbers of boys and girls studying Art, Music and Drama are given in the following table. Each of these 160 students is studying exactly one of these subjects.
| Art | Music | Drama | |
|---|---|---|---|
| Boys | 24 | 40 | 32 |
| Girls | 15 | 12 | 37 |
In a group of students, \(\frac{3}{4}\) are male. The proportion of male students who like their curry hot is \(\frac{3}{5}\) and the proportion of female students who like their curry hot is \(\frac{4}{5}\). One student is chosen at random.
Last Saturday, Sarah recorded the colour and type of 160 cars in a car park. All the cars that were not red or silver in colour were grouped together as 'other'. Her results are shown in the following table.
| Colour of car | Saloon | Hatchback | Estate |
|---|---|---|---|
| Red | 20 | 40 | 12 |
| Silver | 14 | 26 | 10 |
| Other | 6 | 24 | 8 |
Ashfaq throws two fair dice and notes the numbers obtained. R is the event 'The product of the two numbers is 12'. T is the event 'One of the numbers is odd and one of the numbers is even'. By finding appropriate probabilities, determine whether events R and T are independent.
For a group of 250 cars the numbers, classified by colour and country of manufacture, are shown in the table.
| Germany | Japan | Korea | |
|---|---|---|---|
| Silver | 40 | 26 | 34 |
| White | 32 | 22 | 26 |
| Red | 28 | 12 | 30 |
One car is selected at random from this group. Find the probability that the selected car is
X is the event that the selected car is white. Y is the event that the selected car is manufactured in Germany.
(iii) By using appropriate probabilities, determine whether events X and Y are independent.
In a group of 30 adults, 25 are right-handed and 8 wear spectacles. The number who are right-handed and do not wear spectacles is 19.
(i) Copy and complete the following table to show the number of adults in each category.
| Wears spectacles | Does not wear spectacles | Total | |
|---|---|---|---|
| Right-handed | |||
| Not right-handed | |||
| Total | 30 |
An adult is chosen at random from the group. Event X is ‘the adult chosen is right-handed’; event Y is ‘the adult chosen wears spectacles’.
(ii) Determine whether X and Y are independent events, justifying your answer.
A fair eight-sided die has faces marked 1, 2, 3, 4, 5, 6, 7, 8. The score when the die is thrown is the number on the face the die lands on. The die is thrown twice.
Ellie throws two fair tetrahedral dice, each with faces numbered 1, 2, 3, and 4. She notes the numbers on the faces that the dice land on. Event S is 'the sum of the two numbers is 4'. Event T is 'the product of the two numbers is an odd number'.
Jason throws two fair dice, each with faces numbered 1 to 6. Event A is ‘one of the numbers obtained is divisible by 3 and the other number is not divisible by 3’. Event B is ‘the product of the two numbers obtained is even’.
Marco has four boxes labelled K, L, M and N. He places them in a straight line in the order K, L, M, N with K on the left. Marco also has four coloured marbles: one is red, one is green, one is white and one is yellow. He places a single marble in each box, at random. Events A and B are defined as follows.
A: The white marble is in either box L or box M.
B: The red marble is to the left of both the green marble and the yellow marble.
Determine whether or not events A and B are independent.
Rory has 10 cards. Four of the cards have a 3 printed on them and six of the cards have a 4 printed on them. He takes three cards at random, without replacement, and adds up the numbers on the cards. Event \(R\) is 'the sum of the numbers on the three cards is 11'. Event \(S\) is 'the number on the first card taken is a 3'.
(iii) Determine whether events \(R\) and \(S\) are independent. Justify your answer.
(iv) Determine whether events \(R\) and \(S\) are exclusive. Justify your answer.
Q is the event ‘Nicola throws two fair dice and gets a total of 5’. S is the event ‘Nicola throws two fair dice and gets one low score (1, 2 or 3) and one high score (4, 5 or 6)’. Are events Q and S independent? Justify your answer.
Ronnie obtained data about the gross domestic product (GDP) and the birth rate for 170 countries. He classified each GDP and each birth rate as either ‘low’, ‘medium’ or ‘high’. The table shows the number of countries in each category.
| Birth rate | |||
|---|---|---|---|
| GDP | Low | Medium | High |
| Low | 3 | 5 | 45 |
| Medium | 20 | 42 | 12 |
| High | 35 | 8 | 0 |
One of these countries is chosen at random.
One country is chosen at random from those countries which have a medium GDP and then a different country is chosen at random from those which have a medium birth rate.
Suzanne has 20 pairs of shoes, some of which have designer labels. She has 6 pairs of high-heeled shoes, of which 2 pairs have designer labels. She has 4 pairs of low-heeled shoes, of which 1 pair has designer labels. The rest of her shoes are pairs of sports shoes. Suzanne has 8 pairs of shoes with designer labels in total.
(i) Copy and complete the table below to show the number of pairs in each category.
| Designer labels | No designer labels | Total |
|---|---|---|
| High-heeled shoes | 6 | |
| Low-heeled shoes | 4 | |
| Sports shoes | ||
| Total | 20 |
Suzanne chooses 1 pair of shoes at random to wear.
(ii) Find the probability that she wears the pair of low-heeled shoes with designer labels.
(iii) Find the probability that she wears a pair of sports shoes.
(iv) Find the probability that she wears a pair of high-heeled shoes, given that she wears a pair of shoes with designer labels.
(v) State with a reason whether the events ‘Suzanne wears a pair of shoes with designer labels’ and ‘Suzanne wears a pair of sports shoes’ are independent.
In a group of 30 teenagers, 13 of the 18 males watch 'Kops are Kids' on television and 3 of the 12 females watch 'Kops are Kids'.
(i) Find the probability that a person chosen at random from the group is either female or watches 'Kops are Kids' or both.
(ii) Showing your working, determine whether the events 'the person chosen is male' and 'the person chosen watches Kops are Kids' are independent or not.
Bag A contains 4 balls numbered 2, 4, 5, 8. Bag B contains 5 balls numbered 1, 3, 6, 8, 8. Bag C contains 7 balls numbered 2, 7, 8, 8, 8, 8, 9. One ball is selected at random from each bag.
Tim throws a fair die twice and notes the number on each throw.
(i) Tim calculates his final score as follows. If the number on the second throw is a 5 he multiplies the two numbers together, and if the number on the second throw is not a 5 he adds the two numbers together. Find the probability that his final score is
(a) 12,
(b) 5.
(ii) Events A, B, C are defined as follows.
A: the number on the second throw is 5
B: the sum of the numbers is 6
C: the product of the numbers is even
By calculation find which pairs, if any, of the events A, B and C are independent.
Two fair twelve-sided dice with sides marked 1, 2, 3, 4, 5, 6, 7, 8, 9, 10, 11, 12 are thrown, and the numbers on the sides which land face down are noted. Events \(Q\) and \(R\) are defined as follows.
\(Q\): the product of the two numbers is 24.
\(R\): both of the numbers are greater than 8.
Two fair dice are thrown.
Data about employment for males and females in a small rural area are shown in the table.
| Unemployed | Employed | |
|---|---|---|
| Male | 206 | 412 |
| Female | 358 | 305 |
A person from this area is chosen at random. Let \(M\) be the event that the person is male and let \(E\) be the event that the person is employed.
A game is played with an ordinary fair 6-sided die. A player throws the die once. If the result is 2, 3, 4, or 5, that result is the player's score and the player does not throw the die again. If the result is 1 or 6, the player throws the die a second time and the player's score is the sum of the two numbers from the two throws.
(a) Draw a fully labelled tree diagram to represent this information.
Events A and B are defined as follows.
A: the player's score is 5, 6, 7, 8 or 9
B: the player has two throws
(b) Show that P(A) = \(\frac{1}{3}\).
(c) Determine whether or not events A and B are independent.
(d) Find P(B | A').
Events A and B are such that \(P(A) = 0.3\), \(P(B) = 0.8\) and \(P(A \text{ and } B) = 0.4\). State, giving a reason in each case, whether events A and B are
Each of the 180 students at a college plays exactly one of the piano, the guitar, and the drums. The numbers of male and female students who play the piano, the guitar, and the drums are given in the following table.
| Piano | Guitar | Drums | |
|---|---|---|---|
| Male | 25 | 44 | 11 |
| Female | 42 | 38 | 20 |
A student at the college is chosen at random.
There are 400 students at a school in a certain country. Each student was asked whether they preferred swimming, cycling or running and the results are given in the following table.
| Swimming | Cycling | Running | |
|---|---|---|---|
| Female | 104 | 50 | 66 |
| Male | 31 | 57 | 92 |
A student is chosen at random.
Two ordinary fair dice, one red and the other blue, are thrown.
Event \(A\) is 'the score on the red die is divisible by 3'.
Event \(B\) is 'the sum of the two scores is at least 9'.
(a) Find \(P(A \cap B)\).
(b) Hence determine whether or not the events \(A\) and \(B\) are independent.
A total of 500 students were asked which one of four colleges they attended and whether they preferred soccer or hockey. The numbers of students in each category are shown in the following table.
| Soccer | Hockey | Total | |
|---|---|---|---|
| Amos | 54 | 32 | 86 |
| Benn | 84 | 72 | 156 |
| Canton | 22 | 56 | 78 |
| Devar | 120 | 60 | 180 |
| Total | 280 | 220 | 500 |
One of the students is chosen at random. Determine whether the events ‘the student prefers hockey’ and ‘the student is at Amos college or Benn college’ are independent, justifying your answer.
There are 300 students at a music college. All students play exactly one of the guitar, the piano or the flute. The numbers of male and female students that play each of the instruments are given in the following table.
| Guitar | Piano | Flute | |
|---|---|---|---|
| Female students | 62 | 35 | 43 |
| Male students | 78 | 40 | 42 |
Two ordinary fair dice are thrown and the numbers obtained are noted. Event S is ‘The sum of the numbers is even’. Event T is ‘The sum of the numbers is either less than 6 or a multiple of 4 or both’. Showing your working, determine whether the events S and T are independent.
(a) Find the number of different arrangements of the 9 letters in the word ANDROMEDA in which no consonant is next to another consonant. (The letters D, M, N and R are consonants and the letters A, E and O are not consonants.)
(b) Find the number of different arrangements of the 9 letters in the word ANDROMEDA in which there is an A at each end and the Ds are not together.
(a) Find the total number of different arrangements of the 8 letters in the word TOMORROW.
(b) Find the total number of different arrangements of the 8 letters in the word TOMORROW that have an R at the beginning and an R at the end, and in which the three Os are not all together.
(a) How many different arrangements are there of the 8 letters in the word RELEASED?
(b) How many different arrangements are there of the 8 letters in the word RELEASED in which the letters LED appear together in that order?
(c) An arrangement of the 8 letters in the word RELEASED is chosen at random. Find the probability that the letters A and D are not together.
(a) Find the total number of different arrangements of the 11 letters in the word CATERPILLAR.
(b) Find the total number of different arrangements of the 11 letters in the word CATERPILLAR in which there is an R at the beginning and an R at the end, and the two As are not together.
The 8 letters in the word RESERVED are arranged in a random order.
(a) Find the probability that the arrangement has V as the first letter and E as the last letter.
(b) Find the probability that the arrangement has both Rs together given that all three Es are together.
(a) Find the number of different ways in which the 10 letters of the word SHOPKEEPER can be arranged so that all 3 Es are together.
(b) Find the number of different ways in which the 10 letters of the word SHOPKEEPER can be arranged so that the Ps are not next to each other.
(c) Find the probability that a randomly chosen arrangement of the 10 letters of the word SHOPKEEPER has an E at the beginning and an E at the end.
(a) Find the number of different possible arrangements of the 9 letters in the word CELESTIAL.
(b) Find the number of different arrangements of the 9 letters in the word CELESTIAL in which the first letter is C, the fifth letter is T and the last letter is E.
(c) Find the probability that a randomly chosen arrangement of the 9 letters in the word CELESTIAL does not have the two Es together.
(a) Find the number of different ways in which the 10 letters of the word SUMMERTIME can be arranged so that there is an E at the beginning and an E at the end.
(b) Find the number of different ways in which the 10 letters of the word SUMMERTIME can be arranged so that the Es are not together.
(a) Find the number of different arrangements that can be made from the 9 letters of the word JEWELLERY in which the three Es are together and the two Ls are together.
(b) Find the number of different arrangements that can be made from the 9 letters of the word JEWELLERY in which the two Ls are not next to each other.
(i) How many different arrangements are there of the 9 letters in the word CORRIDORS?
(ii) How many different arrangements are there of the 9 letters in the word CORRIDORS in which the first letter is D and the last letter is R or O?
(i) Find the number of different ways in which the 9 letters of the word TOADSTOOL can be arranged so that all three Os are together and both Ts are together.
(ii) Find the number of different ways in which the 9 letters of the word TOADSTOOL can be arranged so that the Ts are not together.
(iii) Find the probability that a randomly chosen arrangement of the 9 letters of the word TOADSTOOL has a T at the beginning and a T at the end.
(a) Find the number of different arrangements of the 10 letters in the word CASABLANCA in which the two Cs are not together.
(b) Find the number of different arrangements of the 10 letters in the word CASABLANCA which have an A at the beginning, an A at the end and exactly 3 letters between the 2 Cs.
(i) Find the number of different ways in which all 12 letters of the word STEEPLECHASE can be arranged so that all four Es are together.
(ii) Find the number of different ways in which all 12 letters of the word STEEPLECHASE can be arranged so that the Ss are not next to each other.
Find the number of different 7-digit numbers which can be formed from the seven digits 2, 2, 3, 7, 7, 7, 8 in each of the following cases.
Find the number of different arrangements that can be made of all 9 letters in the word CAMERAMAN in each of the following cases.
How many different arrangements are there of the 11 letters in the word MISSISSIPPI?
Find the number of ways the 9 letters of the word SEVENTEEN can be arranged in each of the following cases.
Find the number of ways in which all 9 letters of the word AUSTRALIA can be arranged in each of the following cases.
Find the number of different ways in which all 9 letters of the word MINCEMEAT can be arranged in each of the following cases.
The digits 1, 3, 5, 6, 6, 6, 8 can be arranged to form many different 7-digit numbers.
Find the number of different 3-digit numbers greater than 300 that can be made from the digits 1, 2, 3, 4, 6, 8 if
Find how many numbers between 3000 and 5000 can be formed from the digits 1, 2, 3, 4, and 5,
(a) Find the number of different arrangements of the 8 letters in the word COCOONED.
(b) Find the number of different arrangements of the 8 letters in the word COCOONED in which the first letter is O and the last letter is N.
(c) Find the probability that a randomly chosen arrangement of the 8 letters in the word COCOONED has all three Os together given that the two Cs are next to each other.
Numbers are formed using some or all of the digits 4, 5, 6, 7 with no digit being used more than once.
Find the number of ways all 10 letters of the word COPENHAGEN can be arranged so that
Find the number of different ways of arranging all nine letters of the word PINEAPPLE if no vowel (A, E, I) is next to another vowel.
Find the number of ways all 9 letters of the word EVERGREEN can be arranged if
Find the number of different arrangements which can be made of all 10 letters of the word WALLFLOWER if
(i) Find how many numbers there are between 100 and 999 in which all three digits are different.
(ii) Find how many of the numbers in part (i) are odd numbers greater than 700.
Find the number of different ways that the 13 letters of the word ACCOMMODATION can be arranged in a line if all the vowels (A, I, O) are next to each other.
Find the number of ways in which all nine letters of the word TENNESSEE can be arranged
Find the number of different ways the 7 letters of the word BANANAS can be arranged
Find how many different numbers can be made by arranging all nine digits of the number 223 677 888 if
(a) Find the number of different arrangements of the 9 letters in the word DELIVERED in which the three Es are together and the two Ds are not next to each other.
(b) Find the probability that a randomly chosen arrangement of the 9 letters in the word DELIVERED has exactly 4 letters between the two Ds.
Seven fair dice each with faces marked 1, 2, 3, 4, 5, 6 are thrown and placed in a line. Find the number of possible arrangements where the sum of the numbers at each end of the line add up to 4.
Nine cards are numbered 1, 2, 2, 3, 3, 4, 6, 6, 6.
All nine cards are placed in a line, making a 9-digit number. Find how many different 9-digit numbers can be made in this way
Find how many different numbers can be made from some or all of the digits of the number 1 345 789 if
Find the number of different ways in which all 8 letters of the word TANZANIA can be arranged so that
(i) Find the number of different ways that the 9 letters of the word AGGREGATE can be arranged in a line if the first letter is R.
(ii) Find the number of different ways that the 9 letters of the word AGGREGATE can be arranged in a line if the 3 letters G are together, both letters A are together and both letters E are together.
(iii) The letters G, R and T are consonants and the letters A and E are vowels. Find the number of different ways that the 9 letters of the word AGGREGATE can be arranged in a line if consonants and vowels occur alternately.
The 11 letters of the word REMEMBRANCE are arranged in a line.
(i) The digits of the number 1 244 687 can be rearranged to give many different 7-digit numbers. How many of these 7-digit numbers are even?
(ii) How many different numbers between 20 000 and 30 000 can be formed using 5 different digits from the digits 1, 2, 4, 6, 7, 8?
In how many ways can all 9 letters of the word TELEPHONE be arranged in a line if the letters P and L must be at the ends?
Find the number of different ways in which the 9 letters of the word GREENAGE can be arranged if exactly two of the Gs are next to each other.
Find the number of different ways in which the 12 letters of the word STRAWBERRIES can be arranged
(a) Find the number of different arrangements of the 9 letters in the word ACTIVATED.
(b) Find the number of different arrangements of the 9 letters in the word ACTIVATED in which there are at least 5 letters between the two As.
(a) (i) Find how many different four-digit numbers can be made using only the digits 1, 3, 5 and 6 with no digit being repeated.
(ii) Find how many different odd numbers greater than 500 can be made using some or all of the digits 1, 3, 5 and 6 with no digit being repeated.
(b) Six cards numbered 1, 2, 3, 4, 5, 6 are arranged randomly in a line. Find the probability that the cards numbered 4 and 5 are not next to each other.
Find how many numbers between 5000 and 6000 can be formed from the digits 1, 2, 3, 4, 5, and 6
The six digits 4, 5, 6, 7, 7, 7 can be arranged to give many different 6-digit numbers.
Find the number of ways in which all twelve letters of the word REFRIGERATOR can be arranged
(a) if there are no restrictions,
(b) if the Rs must all be together.
Find how many different arrangements there are of the nine letters in the words GOLD MEDAL
The word ARGENTINA includes the four consonants R, G, N, T and the three vowels A, E, I.
The digits of the number 1223678 can be rearranged to give many different 7-digit numbers. Find how many different 7-digit numbers can be made if
(a) Find the number of different arrangements of the 9 letters in the word ALLIGATOR in which the two As are together and the two Ls are together.
(b) The 9 letters in the word ALLIGATOR are arranged in a random order. Find the probability that the two Ls are together and there are exactly 6 letters between the two As.
(a) Find the number of different arrangements of the 9 letters in the word CROCODILE.
(b) Find the number of different arrangements of the 9 letters in the word CROCODILE in which there is a C at each end and the two Os are not together.
(a) Find the number of different arrangements of the 8 letters in the word DECEIVED in which all three Es are together and the two Ds are together.
(b) Find the number of different arrangements of the 8 letters in the word DECEIVED in which the three Es are not all together.
(a) How many different arrangements are there of the 11 letters in the word REQUIREMENT?
(b) How many different arrangements are there of the 11 letters in the word REQUIREMENT in which the two Rs are together and the three Es are together?
(c) How many different arrangements are there of the 11 letters in the word REQUIREMENT in which there are exactly three letters between the two Rs?
Four letters are selected at random from the 9 letters in the word ANDROMEDA.
Find the probability that this selection contains at least one D and exactly one A.
Find the total number of different selections of 6 letters from the 11 letters of the word CATERPILLAR that contain both Rs and at least one A and at least one L.
Four letters are selected from the 10 letters of the word SHOPKEEPER.
Find the number of different selections if the four letters include exactly one P.
5 letters are selected at random from the 9 letters in the word CELESTIAL.
Find the number of different selections if the 5 letters include at least one E and at most one L.
Four letters are selected from the 10 letters of the word SUMMERTIME. Find the number of different selections if the four letters include at least one M and exactly one E.
Five letters are selected from the 9 letters of the word TOADSTOOL. Find the number of different selections if the five letters include at least 2 Os and at least 1 T.
Four letters are selected from the 12 letters of the word STEEPLECHASE.
Find the number of different selections if the four letters include exactly one S.
Three letters are selected from the 9 letters of the word CAMERAMAN.
(iv) Find the number of different selections if the three letters include exactly one M and exactly one A.
(v) Find the number of different selections if the three letters include at least one M.
Two letters are chosen at random from the 11 letters in the word MISSISSIPPI. Find the probability that these two letters are the same.
5 letters are chosen from the 9 letters of the word SEVENTEEN.
5 of the 9 letters of the word MINCEMEAT are selected.
(iii) Find the number of possible selections which contain exactly 1 M and exactly 1 E.
(iv) Find the number of possible selections which contain at least 1 M and at least 1 E.
Five letters are selected from the 10 letters in the word CASABLANCA.
Find the number of different selections in which the five letters include at least two As and at most one C.
A selection of 3 letters from the 8 letters of the word COLLIDER is made.
Four letters are selected from the 10 letters of the word COPENHAGEN.
Find the number of different selections if the four letters must contain the same number of Es and Ns with at least one of each.
Three letters from the 9 letters of the word EVERGREEN are selected.
(iv) Find the number of selections which contain no Es and exactly 1 R.
(v) Find the number of selections which contain no Es.
Four letters are selected from the nine letters of the word VENEZUELA. Find the number of possible selections which contain exactly one E.
Nine cards are numbered 1, 2, 2, 3, 3, 4, 6, 6, 6.
Three of the nine cards are chosen and placed in a line, making a 3-digit number. Find how many different numbers can be made in this way
(a) if there are no repeated digits,
(b) if the number is between 200 and 300.
4 of the 8 letters of the word TANZANIA are selected. How many possible selections contain
(iii) exactly 1 N and 1 A,
(iv) exactly 1 N?
Find the number of different selections of 4 letters of the word AGGREGATE which contain exactly 2 Gs or exactly 3 Gs.
4 letters from the letters of the word REMEMBRANCE are chosen. Find the number of different selections which contain no Ms and no Rs and at least 2 Es.
How many different selections of 4 letters can be made from the 9 letters of the word TELEPHONE if
Five letters are selected from the 9 letters in the word DELIVERED.
Find the number of different selections if the 5 letters include at least one D and at least one E.
Five letters are selected at random from the 9 letters in the word ACTIVATED.
Find the probability that the selection does not contain more Ts than As.
Find the number of different selections of 5 letters from the 9 letters in the word ALLIGATOR which contain at least one A and at most one L.
(c) Four letters are selected from the 9 letters in the word CROCODILE. Find the number of selections in which the number of Cs is not the same as the number of Os.
(d) Find the number of ways in which the 9 letters in the word CROCODILE can be divided into three groups, each containing three letters, if the two Cs must be in different groups.
(a) In how many different ways can the 9 letters of the word TELESCOPE be arranged?
(b) In how many different ways can the 9 letters of the word TELESCOPE be arranged so that there are exactly two letters between the T and the C?
Five of the 11 letters in the word REQUIREMENT are selected.
How many possible selections contain at least two Es and at least one R?
Four letters are selected at random from the 8 letters of the word TOMORROW.
Find the probability that the selection contains at least one O and at least one R.
Jai and his wife Kaz are having a party. Jai has invited five friends and each friend will bring his wife. At the beginning of the party, the 12 people will stand in a line for a photograph.
Richard has 3 blue candles, 2 red candles and 6 green candles. The candles are identical apart from their colours. He arranges the 11 candles in a line.
(a) Find the number of different arrangements of the 11 candles if there is a red candle at each end.
(b) Find the number of different arrangements of the 11 candles if all the blue candles are together and the red candles are not together.
Mr and Mrs Keene and their 5 children all go to watch a football match, together with their friends Mr and Mrs Uzuma and their 2 children. Find the number of ways in which all 11 people can line up at the entrance in each of the following cases.
Freddie has 6 toy cars and 3 toy buses, all different. Freddie arranges these 9 toys in a line.
(iii) Find the number of possible arrangements if the buses are all next to each other.
(iv) Find the number of possible arrangements if there is a car at each end of the line and no buses are next to each other.
A group consists of 5 men and 2 women. Find the number of different ways that the group can stand in a line if the women are not next to each other.
(i) Find the number of different ways that 5 boys and 6 girls can stand in a row if all the boys stand together and all the girls stand together.
(ii) Find the number of different ways that 5 boys and 6 girls can stand in a row if no boy stands next to another boy.
In an orchestra, there are 11 violinists, 5 cellists and 4 double bass players. A small group of 6 musicians is to be selected from these 20.
The small group that is selected contains 4 violinists, 1 cellist and 1 double bass player. They sit in a line to perform a concert.
How many different arrangements are there of these 6 musicians if the violinists must sit together?
A car park has spaces for 18 cars, arranged in a line. On one day there are 5 cars, of different makes, parked in randomly chosen positions and 13 empty spaces.
A village hall has seats for 40 people, consisting of 8 rows with 5 seats in each row. Mary, Ahmad, Wayne, Elsie and John are the first to arrive in the village hall and no seats are taken before they arrive.
(i) How many possible arrangements are there of seating Mary, Ahmad, Wayne, Elsie and John assuming there are no restrictions?
(ii) How many possible arrangements are there of seating Mary, Ahmad, Wayne, Elsie and John if Mary and Ahmad sit together in the front row and the other three sit together in one of the other rows?
A library contains 4 identical copies of book A, 2 identical copies of book B and 5 identical copies of book C. These 11 books are arranged on a shelf in the library.
Eight children of different ages stand in a random order in a line. Find the number of different ways this can be done if none of the three youngest children stand next to each other.
In a restaurant, the tables are rectangular. Each table seats four people: two along each of the longer sides of the table (see diagram). Eight friends have booked two tables, X and Y. Rajid, Sue, and Tan are three of these friends.
When the friends arrive at the restaurant, Rajid and Sue now decide to sit at table X on the same side as each other. Tan decides that he does not mind at which table he sits.
(b) Find the number of different seating arrangements for the 8 friends.
As they leave the restaurant, the 8 friends stand in a line for a photograph.
(c) Find the number of different arrangements if Rajid and Sue stand next to each other, but neither is at an end of the line.

(ii) Another plate holds 7 cup cakes, each with a different colour icing, and 4 brownies, each of a different size. Find the number of different ways these 11 cakes can be arranged in a row if no brownie is next to another brownie. (iii) A plate of biscuits holds 4 identical chocolate biscuits, 6 identical shortbread biscuits and 2 identical gingerbread biscuits. These biscuits are all placed in a row. Find how many different arrangements are possible if the chocolate biscuits are all kept together.
Hannah chooses 5 singers from 15 applicants to appear in a concert. She lists the 5 singers in the order in which they will perform.
(i) How many different lists can Hannah make?
Of the 15 applicants, 10 are female and 5 are male.
(ii) Find the number of lists in which the first performer is male, the second is female, the third is male, the fourth is female and the fifth is male.
A group of 8 friends travels to the airport in two taxis, P and Q. Each taxi can take 4 passengers.
Each taxi can take 1 passenger in the front and 3 passengers in the back (see diagram). Mark sits in the front of taxi P and Jon and Sarah sit in the back of taxi P next to each other.
Find the number of different seating arrangements that are now possible for the 8 friends.

Rachel has 3 types of ornament. She has 6 different wooden animals, 4 different sea-shells and 3 different pottery ducks.
Rachel displays 10 of the 13 ornaments in a row on her window-sill. Find the number of different arrangements that are possible if
(ii) she has a duck at each end of the row and no ducks anywhere else,
(iii) she has a duck at each end of the row and wooden animals and sea-shells are placed alternately in the positions in between.
Find the number of different ways that 6 boys and 4 girls can stand in a line if
A committee of 6 people is to be chosen from 5 men and 8 women. One particular committee consists of 5 women and 1 man. In how many different ways can the committee members be arranged in a line if the man is not at either end?
A shop has 7 different mountain bicycles, 5 different racing bicycles and 8 different ordinary bicycles on display. A cycling club selects 6 of these 20 bicycles to buy.
The cycling club buys 3 mountain bicycles, 1 racing bicycle and 2 ordinary bicycles and parks them in a cycle rack, which has a row of 10 empty spaces.
(ii) How many different arrangements are there in the cycle rack if the mountain bicycles are all together with no spaces between them, the ordinary bicycles are both together with no spaces between them and the spaces are all together?
(iii) How many different arrangements are there in the cycle rack if the ordinary bicycles are at each end of the bicycles and there are no spaces between any of the bicycles?
There are 10 spaniels, 14 retrievers and 6 poodles at a dog show. 7 dogs are selected to go through to the final. 2 spaniels, 2 retrievers and 3 poodles go through to the final. They are placed in a line.
(ii) How many different arrangements of these 7 dogs are there if the spaniels stand together and the retrievers stand together?
(iii) How many different arrangements of these 7 dogs are there if no poodle is next to another poodle?
A town council plans to plant 12 trees along the centre of a main road. The council buys 4 hibiscus trees, 6 jacaranda trees and 2 oleander trees.
(ii) How many different arrangements of these 12 trees can be made if the hibiscus trees have to be next to each other, the jacaranda trees have to be next to each other and the oleander trees have to be next to each other?
(iii) How many different arrangements of these 12 trees can be made if no hibiscus tree is next to another hibiscus tree?
Four families go to a theme park together. Mr and Mrs Lin take their 2 children. Mr O’Connor takes his 2 children. Mr and Mrs Ahmed take their 3 children. Mrs Burton takes her son. The 14 people all have to go through a turnstile one at a time to enter the theme park.
(i) In how many different orders can the 14 people go through the turnstile if each family stays together?
(ii) In how many different orders can the 8 children and 6 adults go through the turnstile if no two adults go consecutively?
For another competition, a team of 9 people consists of 2 swimmers, 3 cyclists, and 4 runners. The team members stand in a line for a photograph.
(b) How many different arrangements are there of the 9 people if the swimmers stand together, the cyclists stand together, and the runners stand together?
(c) How many different arrangements are there of the 9 people if none of the cyclists stand next to each other?
The back row of a cinema has 12 seats, all of which are empty. A group of 8 people, including Mary and Frances, sit in this row. Find the number of different ways they can sit in these 12 seats if
(a) In a sweet shop 5 identical packets of toffees, 4 identical packets of fruit gums and 9 identical packets of chocolates are arranged in a line on a shelf. Find the number of different arrangements of the packets that are possible if the packets of chocolates are kept together.
(b) Jessica buys 8 different packets of biscuits. She then chooses 4 of these packets.
The 8 packets include 1 packet of chocolate biscuits and 1 packet of custard creams.
Seven friends together with their respective partners all meet up for a meal. To commemorate the occasion they arrange for a photograph to be taken of all 14 of them standing in a line.
Mary saves her digital images on her computer in three separate folders named ‘Family’, ‘Holiday’ and ‘Friends’. Her family folder contains 3 images, her holiday folder contains 4 images and her friends folder contains 8 images. All the images are different.
Find in how many ways she can arrange these 15 images in a row across her computer screen if she keeps the images from each folder together.
Twelve coins are tossed and placed in a line. Each coin can show either a head or a tail.
(i) 4 astronauts are chosen from a certain number of candidates. If order of choosing is not taken into account, the number of ways the astronauts can be chosen is 3876. How many ways are there if order of choosing is taken into account?
(ii) 4 astronauts are chosen to go on a mission. Each of these astronauts can take 3 personal possessions with him. How many different ways can these 12 possessions be arranged in a row if each astronaut’s possessions are kept together?
Fahad has 4 different coloured pairs of shoes (white, red, blue and black), 3 different coloured pairs of jeans (blue, black and brown) and 7 different coloured tee shirts (red, orange, yellow, blue, green, white and purple).
Fahad also has 9 different books about sport. When he goes on holiday he chooses at least one of these books to take with him.
(i) Find the number of different ways that the 9 letters of the word HAPPINESS can be arranged in a line.
(ii) The 9 letters of the word HAPPINESS are arranged in random order in a line. Find the probability that the 3 vowels (A, E, I) are not all next to each other.
A small aeroplane has 14 seats for passengers. The seats are arranged in 4 rows of 3 seats and a back row of 2 seats (see diagram). 12 passengers board the aeroplane.
(i) How many possible seating arrangements are there for the 12 passengers? Give your answer correct to 3 significant figures.
These 12 passengers consist of 2 married couples (Mr and Mrs Lin and Mr and Mrs Brown), 5 students and 3 business people.
(ii) The 3 business people sit in the front row. The 5 students each sit at a window seat. Mr and Mrs Lin sit in the same row on the same side of the aisle. Mr and Mrs Brown sit in another row on the same side of the aisle. How many possible seating arrangements are there?

Pegs are to be placed in the four holes shown, one in each hole. The pegs come in different colours and pegs of the same colour are identical. Calculate how many different arrangements of coloured pegs in the four holes can be made using

In one photograph Abel, Betty, Cally, Doug, Eve, Freya and Gino are the 7 members in the back row.
In how many different ways can these 7 members be arranged so that Abel and Betty are next to each other and Freya and Gino are not next to each other?
Three identical cans of cola, 2 identical cans of green tea, and 2 identical cans of orange juice are arranged in a row. Calculate the number of arrangements if:
Nine cards, each of a different colour, are to be arranged in a line.
The 9 cards include a pink card and a green card.
Consider all possible choices of 3 cards from the 9 cards with the 3 cards being arranged in a line.
(ii) Another set consists of 6 plastic mugs each of a different design and 3 china mugs each of a different design. Find in how many ways these 9 mugs can be arranged in a row if the china mugs are all separated from each other. (iii) Another set consists of 3 identical red mugs, 4 identical blue mugs and 7 identical yellow mugs. These 14 mugs are placed in a row. Find how many different arrangements of the colours are possible if the red mugs are kept together.
A choir consists of 13 sopranos, 12 altos, 6 tenors and 7 basses. A group consisting of 10 sopranos, 9 altos, 4 tenors and 4 basses is to be chosen from the choir.
(ii) In how many ways can the 10 chosen sopranos be arranged in a line if the 6 tallest stand next to each other?
(iii) The 4 tenors and 4 basses in the group stand in a single line with all the tenors next to each other and all the basses next to each other. How many possible arrangements are there if three of the tenors refuse to stand next to any of the basses?
A builder is planning to build 12 houses along one side of a road. He will build 2 houses in style A, 2 houses in style B, 3 houses in style C, 4 houses in style D and 1 house in style E.
(i) Find the number of possible arrangements of these 12 houses.
(ii) The 12 houses will be in two groups of 6 (see diagram). Find the number of possible arrangements if all the houses in styles A and D are in the first group and all the houses in styles B, C and E are in the second group.

Issam has 11 different CDs, of which 6 are pop music, 3 are jazz and 2 are classical.
How many different arrangements of all 11 CDs on a shelf are there if the jazz CDs are all next to each other?
Six men and three women are standing in a supermarket queue.
The diagram shows the seating plan for passengers in a minibus, which has 17 seats arranged in 4 rows. The back row has 5 seats and the other 3 rows have 2 seats on each side. 11 passengers get on the minibus.

A staff car park at a school has 13 parking spaces in a row. There are 9 cars to be parked.
A group of 15 friends visit an adventure park. The group consists of four families.
The group enter the park by walking through a gate one at a time.
In how many different orders can the 15 friends go through the gate if Mr Lizo goes first and each family stays together?
A group of 12 people consists of 3 boys, 4 girls and 5 adults.
How many different arrangements are there in which the 3 boys stand together and an adult is at each end of the line?
A security code consists of 2 letters followed by a 4-digit number. The letters are chosen from \{A, B, C, D, E\} and the digits are chosen from \{1, 2, 3, 4, 5, 6, 7\}. No letter or digit may appear more than once. An example of a code is BE3216.
(a) How many different codes can be formed?
(b) Find the number of different codes that include the letter A or the digit 5 or both.
A security code is formed at random.
(c) Find the probability that the code is DE followed by a number between 4500 and 5000.
Raman and Sanjay are members of a quiz team which has 9 members in total. Two photographs of the quiz team are to be taken.
For the first photograph, the 9 members will stand in a line.
(a) How many different arrangements of the 9 members are possible in which Raman will be at the centre of the line?
(b) How many different arrangements of the 9 members are possible in which Raman and Sanjay are not next to each other?
Mr and Mrs Ahmed with their two children, and Mr and Mrs Baker with their three children, are visiting an activity centre together. All 9 people stand in a line.
(c) Find the number of different arrangements in which Mr Ahmed is not standing next to Mr Baker.
(d) Find the number of different arrangements in which there is exactly one person between Mr Ahmed and Mr Baker.
Jai and his wife Kaz are having a party. Jai has invited five friends and each friend will bring his wife.
For a competition during the party, the 12 people are divided at random into a group of 5, a group of 4 and a group of 3.
Find the probability that Jai and Kaz are in the same group as each other.
A group of 6 people is to be chosen from 4 men and 11 women.
(a) In how many different ways can a group of 6 be chosen if it must contain exactly 1 man?
Two of the 11 women are sisters Jane and Kate.
(b) In how many different ways can a group of 6 be chosen if Jane and Kate cannot both be in the group?
Raman and Sanjay are members of a quiz team which has 9 members in total. Two photographs of the quiz team are to be taken.
For the second photograph, the members will stand in two rows, with 5 in the back row and 4 in the front row.
(c) In how many different ways can the 9 members be divided into a group of 5 and a group of 4?
(d) For a random division into a group of 5 and a group of 4, find the probability that Raman and Sanjay are in the same group as each other.
A bag contains 12 marbles, each of a different size. 8 of the marbles are red and 4 of the marbles are blue.
How many different selections of 5 marbles contain at least 4 marbles of the same colour?
A committee of 6 people is to be chosen from 9 women and 5 men.
(a) Find the number of ways in which the 6 people can be chosen if there must be more women than men on the committee.
The 9 women and 5 men include a sister and brother.
(b) Find the number of ways in which the committee can be chosen if the sister and brother cannot both be on the committee.
Mr and Mrs Ahmed with their two children, and Mr and Mrs Baker with their three children, are visiting an activity centre together. They will divide into groups for some of the activities.
(a) In how many ways can the 9 people be divided into a group of 6 and a group of 3?
(b) 5 of the 9 people are selected at random for a particular activity. Find the probability that this group of 5 people contains all 3 of the Baker children.
In a music competition, there are 8 pianists, 4 guitarists and 6 violinists. 7 of these musicians will be selected to go through to the final.
How many different selections of 7 finalists can be made if there must be at least 2 pianists, at least 1 guitarist and more violinists than guitarists?
The 40 members of a club include Ranuf and Saed. All 40 members will travel to a concert. 35 members will travel in a coach and the other 5 will travel in a car. Ranuf will be in the coach and Saed will be in the car.
In how many ways can the members who will travel in the coach be chosen?
A sports team of 7 people is to be chosen from 6 attackers, 5 defenders and 4 midfielders. The team must include at least 3 attackers, at least 2 defenders and at least 1 midfielder.
The team of 7 that is chosen travels to a match in two cars. A group of 4 travel in one car and a group of 3 travel in the other car.
(i) Find the number of ways a committee of 6 people can be chosen from 8 men and 4 women if there must be at least twice as many men as there are women on the committee.
(ii) Find the number of ways a committee of 6 people can be chosen from 8 men and 4 women if 2 particular men refuse to be on the committee together.
A group of 6 teenagers go boating. There are three boats available. One boat has room for 3 people, one has room for 2 people and one has room for 1 person. Find the number of different ways the group of 6 teenagers can be divided between the three boats.
In a restaurant, the tables are rectangular. Each table seats four people: two along each of the longer sides of the table (see diagram). Eight friends have booked two tables, X and Y. Rajid, Sue, and Tan are three of these friends.
The eight friends will be divided into two groups of 4, one group for table X and one group for table Y.
Find the number of ways in which this can be done if Rajid and Sue must sit at the same table as each other and Tan must sit at the other table.

Freddie has 6 toy cars and 3 toy buses, all different. He chooses 4 toys to take on holiday with him.
In an orchestra, there are 11 violinists, 5 cellists and 4 double bass players. A small group of 6 musicians is to be selected from these 20.
How many different selections of 6 musicians can be made if there must be at least 4 violinists, at least 1 cellist and no more than 1 double bass player?
9 people are to be divided into a group of 4, a group of 3 and a group of 2. In how many different ways can this be done?
Donna has 2 necklaces, 8 rings and 4 bracelets, all different. She chooses 4 pieces of jewellery. How many possible selections can she make if she chooses at least 1 necklace and at least 1 bracelet?
A car park has spaces for 18 cars, arranged in a line. One day, 12 cars of different makes are parked in the car park. 5 of these cars are red, 4 are white and 3 are black. Elizabeth selects 3 of these cars.
Find the number of selections Elizabeth can make that include cars of at least 2 different colours.
A team of 5 is chosen from 6 boys and 4 girls. Find the number of ways the team can be chosen if
In how many ways can a team of 4 people be chosen from 10 people if 2 of the people, Ross and Lionel, refuse to be in the team together?
A box of 20 biscuits contains 4 different chocolate biscuits, 2 different oatmeal biscuits and 14 different ginger biscuits. 6 biscuits are selected from the box at random.
(i) Find the number of different selections that include the 2 oatmeal biscuits.
(ii) Find the probability that fewer than 3 chocolate biscuits are selected.
(b) David chooses 5 chocolates from 6 different dark chocolates, 4 different white chocolates and 1 milk chocolate. He must choose at least one of each type. Find the number of different selections he can make.
(c) A password for Chelsea’s computer consists of 4 characters in a particular order. The characters are chosen from the following:
The password must include at least one capital letter, at least one digit and at least one symbol. No character can be repeated. Find the number of different passwords that Chelsea can make.
A plate of cakes holds 12 different cakes. Find the number of ways these cakes can be shared between Alex and James if each receives an odd number of cakes.
In a group of 25 people there are 6 swimmers, 8 cyclists and 11 runners. Each person competes in only one of these sports. A team of 7 people is selected from these 25 people to take part in a competition.
Find the number of different ways in which the team of 7 can be selected if it consists of exactly 1 swimmer, at least 4 cyclists and at most 2 runners.
A committee of 5 people is to be chosen from 4 men and 6 women. William is one of the 4 men and Mary is one of the 6 women. Find the number of different committees that can be chosen if William and Mary refuse to be on the committee together.
A certain country has a cricket squad of 16 people, consisting of 7 batsmen, 5 bowlers, 2 all-rounders, and 2 wicket-keepers. The manager chooses a team of 11 players consisting of 5 batsmen, 4 bowlers, 1 all-rounder, and 1 wicket-keeper.
A team of 6 people is to be chosen from 5 swimmers, 7 athletes, and 4 cyclists. There must be at least 1 from each activity and there must be more athletes than cyclists. Find the number of different ways in which the team can be chosen.
A bunch of flowers consists of a mixture of roses, tulips and daffodils. Tom orders a bunch of 7 flowers from a shop to give to a friend. There must be at least 2 of each type of flower. The shop has 6 roses, 5 tulips and 4 daffodils, all different from each other. Find the number of different bunches of flowers that are possible.
Hannah chooses 5 singers from 15 applicants to appear in a concert. Of the 15 applicants, 10 are female and 5 are male. Hannah's friend Ami would like the group of 5 performers to include more males than females.
(iii) Find the number of different selections of 5 performers with more males than females.
(iv) Two of the applicants are Mr and Mrs Blake. Find the number of different selections that include Mr and Mrs Blake and also fulfil Ami’s requirement.
There are 7 Chinese, 6 European and 4 American students at an international conference. Four of the students are to be chosen to take part in a television broadcast. Find the number of different ways the students can be chosen if at least one Chinese and at least one European student are included.
A group of 8 friends travels to the airport in two taxis, P and Q. Each taxi can take 4 passengers.
The 8 friends divide themselves into two groups of 4, one group for taxi P and one group for taxi Q, with Jon and Sarah travelling in the same taxi. Find the number of different ways in which this can be done.
A committee of 6 people is to be chosen at random from 7 men and 9 women. Find the probability that there are no men on the committee.
Rachel has 3 types of ornament. She has 6 different wooden animals, 4 different sea-shells and 3 different pottery ducks.
She lets her daughter Cherry choose 5 ornaments to play with. Cherry chooses at least 1 of each type of ornament. How many different selections can Cherry make?
Find the number of ways of selecting a group of 9 people from 14 if two particular people cannot both be in the group together.
(a) Find the number of ways in which a committee of 6 people can be chosen from 6 men and 8 women if it must include 3 men and 3 women.
A different committee of 6 people is to be chosen from 6 men and 8 women. Three of the 6 men are brothers.
(b) Find the number of ways in which this committee can be chosen if there are no restrictions on the numbers of men and women, but it must include no more than two of the brothers.
Sandra wishes to buy some applications (apps) for her smartphone but she only has enough money for 5 apps in total. There are 3 train apps, 6 social network apps and 14 games apps available. Sandra wants to have at least 1 of each type of app. Find the number of different possible selections of 5 apps that Sandra can choose.
Find the number of ways in which 9 different computer games can be shared out between Wainah, Jingyi, and Hebe so that each person receives an odd number of computer games.
The 50 members of a club include both the club president and the club treasurer. All 50 members want to go on a coach tour, but the coach only has room for 45 people. In how many ways can 45 members be chosen if both the club president and the club treasurer must be included?
A committee of 6 people is to be chosen from 5 men and 8 women. In how many ways can this be done
A school club has members from 3 different year-groups: Year 1, Year 2 and Year 3. There are 7 members from Year 1, 2 members from Year 2 and 2 members from Year 3. Five members of the club are selected. Find the number of possible selections that include at least one member from each year-group.
A shop has 7 different mountain bicycles, 5 different racing bicycles and 8 different ordinary bicycles on display. A cycling club selects 6 of these 20 bicycles to buy.
How many different selections can be made if there must be no more than 3 mountain bicycles and no more than 2 of each of the other types of bicycle?
There are 10 spaniels, 14 retrievers and 6 poodles at a dog show. 7 dogs are selected to go through to the final.
How many selections of 7 different dogs can be made if there must be at least 1 spaniel, at least 2 retrievers and at least 3 poodles?
A town council plans to plant 12 trees along the centre of a main road. The council buys the trees from a garden centre which has 4 different hibiscus trees, 9 different jacaranda trees and 2 different oleander trees for sale.
How many different selections of 12 trees can be made if there must be at least 2 of each type of tree?
Four families go to a theme park together. Mr and Mrs Lin take their 2 children. Mr O’Connor takes his 2 children. Mr and Mrs Ahmed take their 3 children. Mrs Burton takes her son.
Once inside the theme park, the children go on the roller-coaster. Each roller-coaster car holds 3 people.
In how many different ways can the 8 children be divided into two groups of 3 and one group of 2 to go on the roller-coaster?
A chess team of 2 girls and 2 boys is to be chosen from the 7 girls and 6 boys in the chess club. Find the number of ways this can be done if 2 of the girls are twins and are either both in the team or both not in the team.
A Social Club has 15 members, of whom 8 are men and 7 are women. The committee of the club consists of 5 of its members.
(a) Find the number of different ways in which the committee can be formed from the 15 members if it must include more men than women.
The 15 members are having their photograph taken. They stand in three rows, with 3 people in the front row, 5 people in the middle row and 7 people in the back row.
(b) In how many different ways can the 15 members of the club be divided into a group of 3, a group of 5 and a group of 7?
A team of 3 boys and 3 girls is to be chosen from a group of 12 boys and 9 girls to enter a competition. Tom and Henry are two of the boys in the group. Find the number of ways in which the team can be chosen if Tom and Henry are either both in the team or both not in the team.
9 different fruit pies are to be divided between 3 people so that each person gets an odd number of pies. Find the number of ways this can be done.
An English examination consists of 8 questions in Part A and 3 questions in Part B. Candidates must choose 6 questions. The order in which questions are chosen does not matter. Find the number of ways in which the 6 questions can be chosen in each of the following cases.
A group of 9 people consists of 2 boys, 3 girls and 4 adults. In how many ways can a team of 4 be chosen if
Mary saves her digital images on her computer in three separate folders named ‘Family’, ‘Holiday’ and ‘Friends’. Her family folder contains 3 images, her holiday folder contains 4 images and her friends folder contains 8 images. All the images are different.
(ii) Find the number of different ways in which Mary can choose 6 of these images if there are 2 from each folder.
(iii) Find the number of different ways in which Mary can choose 6 of these images if there are at least 3 images from the friends folder and at least 1 image from each of the other two folders.
Geoff wishes to plant 25 flowers in a flower-bed. He can choose from 15 different geraniums, 10 different roses and 8 different lilies. He wants to have at least 11 geraniums and also to have the same number of roses and lilies. Find the number of different selections of flowers he can make.
Find the number of different selections of 4 letters from the 9 letters of the word HAPPINESS which contain no Ps and either one or two Ss.
A cricket team of 11 players is to be chosen from 21 players consisting of 10 batsmen, 9 bowlers and 2 wicketkeepers. The team must include at least 5 batsmen, at least 4 bowlers and at least 1 wicketkeeper.
Each player in the team is given a present. The presents consist of 5 identical pens, 4 identical diaries and 2 identical notebooks.
A committee of 6 people, which must contain at least 4 men and at least 1 woman, is to be chosen from 10 men and 9 women.
Pegs are to be placed in the four holes shown, one in each hole. The pegs come in different colours and pegs of the same colour are identical.
Beryl has 12 pegs consisting of 2 red, 2 blue, 2 green, 2 orange, 2 yellow and 2 black pegs. Calculate how many different arrangements of coloured pegs in the 4 holes Beryl can make using

A group of 15 friends visit an adventure park. The group consists of four families.
The group travel to the park in three cars, one containing 6 people, one containing 5 people and one containing 4 people. The cars are driven by Mr Lizo, Mrs Martin and Mr Nantes respectively.
(a) In how many different ways can the remaining 12 members of the group be divided between the three cars?
In the park, the group enter a competition which requires a team of 4 adults and 3 children.
(c) In how many ways can the team be chosen from the group of 15 so that the 3 children are all from different families?
(d) In how many ways can the team be chosen so that at least one of Mr Kenny or Mr Lizo is included?
Find the number of different ways that a set of 10 different mugs can be shared between Lucy and Monica if each receives an odd number of mugs.
Find the number of ways of choosing a school team of 5 pupils from 6 boys and 8 girls
A choir consists of 13 sopranos, 12 altos, 6 tenors and 7 basses. A group consisting of 10 sopranos, 9 altos, 4 tenors and 4 basses is to be chosen from the choir.
In how many different ways can the group be chosen?
A builder is planning to build 12 houses along one side of a road. He will build 2 houses in style A, 2 houses in style B, 3 houses in style C, 4 houses in style D and 1 house in style E.
Four of the 12 houses will be selected for a survey. Exactly one house must be in style B and exactly one house in style C. Find the number of ways in which these four houses can be selected.
Issam has 11 different CDs, of which 6 are pop music, 3 are jazz and 2 are classical.
Issam makes a selection of 2 pop music CDs, 2 jazz CDs and 1 classical CD. How many different possible selections can be made?
How many different selections of four letters from the twelve letters of the word REFRIGERATOR contain no Rs and two Es?
Six men and three women are standing in a supermarket queue.
Three of the people in the queue are chosen to take part in a customer survey. How many different choices are possible if at least one woman must be included?
The diagram shows the seating plan for passengers in a minibus, which has 17 seats arranged in 4 rows. The back row has 5 seats and the other 3 rows have 2 seats on each side. 11 passengers get on the minibus.
Of the 11 passengers, 5 are unmarried and the other 6 consist of 3 married couples.
In how many ways can 5 of the 11 passengers on the bus be chosen if there must be 2 married couples and 1 other person, who may or may not be married?

A football team consists of 3 players who play in a defence position, 3 players who play in a midfield position and 5 players who play in a forward position. Three players are chosen to collect a gold medal for the team. Find in how many ways this can be done:
(a) The menu for a meal in a restaurant is as follows.
Starter Course
Melon
or
Soup
or
Smoked Salmon
Main Course
Chicken
or
Steak
or
Lamb Cutlets
or
Vegetable Curry
or
Fish
Dessert Course
Cheesecake
or
Ice Cream
or
Apple Pie
All the main courses are served with salad and either new potatoes or french fries.
(b) In how many ways can a group of 14 people eating at the restaurant be divided between three tables seating 5, 5 and 4?

There are 6 men and 8 women in a Book Club. The committee of the club consists of five of its members. Mr Lan and Mrs Lan are members of the club.
(a) In how many different ways can the committee be selected if exactly one of Mr Lan and Mrs Lan must be on the committee?
(b) In how many different ways can the committee be selected if Mrs Lan must be on the committee and there must be more women than men on the committee?
(a) A collection of 18 books contains one Harry Potter book. Linda is going to choose 6 of these books to take on holiday.
(b) In how many ways can 5 boys and 3 girls stand in a straight line
A committee of 5 people is to be chosen from 6 men and 4 women. In how many ways can this be done:
In a certain hotel, the lock on the door to each room can be opened by inserting a key card. The key card can be inserted only one way round. The card has a pattern of holes punched in it. The card has 4 columns, and each column can have either 1 hole, 2 holes, 3 holes or 4 holes punched in it. Each column has 8 different positions for the holes. The diagram illustrates one particular key card with 3 holes punched in the first column, 3 in the second, 1 in the third and 2 in the fourth.
(i) Show that the number of different ways in which a column could have exactly 2 holes is 28.
(ii) Find how many different patterns of holes can be punched in a column.
(iii) How many different possible key cards are there?

A group of 12 people consists of 3 boys, 4 girls, and 5 adults.
(a) In how many ways can a team of 5 people be chosen from the group if exactly one adult is included?
(b) In how many ways can a team of 5 people be chosen from the group if the team includes at least 2 boys and at least 1 girl?
The 26 members of the local sports club include Mr and Mrs Khan and their son Abad. The club is holding a party to celebrate Abad’s birthday, but there is only room for 20 people to attend.
In how many ways can the 20 people be chosen from the 26 members of the club, given that Mr and Mrs Khan and Abad must be included?
Becky sometimes works in an office and sometimes works at home. The random variable \(X\) denotes the number of days that she works at home in any given week. It is given that
\(P(X = x) = kx(x+1)\),
where \(k\) is a constant and \(x = 1, 2, 3\) or \(4\) only.
(a) Draw up the probability distribution table for \(X\), giving the probabilities as numerical fractions.
(b) Find \(E(X)\) and \(\text{Var}(X)\).
A fair spinner has edges numbered 0, 1, 2, 2. Another fair spinner has edges numbered -1, 0, 1. Each spinner is spun. The number on the edge on which a spinner comes to rest is noted. The random variable X is the sum of the numbers for the two spinners.
(a) Draw up the probability distribution table for X.
(b) Find \(\text{Var}(X)\).
A fair spinner has sides numbered 1, 2, 2. Another fair spinner has sides numbered -2, 0, 1. Each spinner is spun. The number on the side on which a spinner comes to rest is noted. The random variable X is the sum of the numbers for the two spinners.
(a) Draw up the probability distribution table for X.
(b) Find E(X) and Var(X).
Sharma knows that she has 3 tins of carrots, 2 tins of peas and 2 tins of sweetcorn in her cupboard. All the tins are the same shape and size, but the labels have all been removed, so Sharma does not know what each tin contains.
Sharma wants carrots for her meal, and she starts opening the tins one at a time, chosen randomly, until she opens a tin of carrots. The random variable \(X\) is the number of tins that she needs to open.
(a) Show that \(P(X = 3) = \frac{6}{35}\).
(b) Draw up the probability distribution table for \(X\).
(c) Find \(\text{Var}(X)\).
The random variable X takes the values 1, 2, 3, 4 only. The probability that X takes the value x is k(5 − x), where k is a constant.
(a) Draw up the probability distribution table for X, in terms of k.
\((b) Show that Var(X) = 1.05.\)
Three coins A, B and C are each thrown once.
(a) Show that the probability of obtaining exactly 2 heads and 1 tail is \(\frac{4}{9}\).
The random variable \(X\) is the number of heads obtained when the three coins are thrown.
(b) Draw up the probability distribution table for \(X\).
(c) Given that \(\text{E}(X) = \frac{32}{15}\), find \(\text{Var}(X)\).
A bag contains 5 red balls and 3 blue balls. Sadie takes 3 balls at random from the bag, without replacement. The random variable X represents the number of red balls that she takes.
(a) Show that the probability that Sadie takes exactly 1 red ball is \(\frac{15}{56}\).
(b) Draw up the probability distribution table for X.
(c) Given that \(E(X) = \frac{15}{8}\), find \(\text{Var}(X)\).
The random variable X takes each of the values 1, 2, 3, 4 with probability \(\frac{1}{4}\). Two independent values of X are chosen at random. If the two values of X are the same, the random variable Y takes that value. Otherwise, the value of Y is the larger value of X minus the smaller value of X.
(a) Draw up the probability distribution table for Y.
\((b) Find the probability that Y = 2 given that Y is even.\)
A fair four-sided spinner has edges numbered 1, 2, 2, 3. A fair three-sided spinner has edges numbered -2, -1, 1. Each spinner is spun and the number on the edge on which it comes to rest is noted. The random variable X is the sum of the two numbers that have been noted.
(a) Draw up the probability distribution table for X.
(b) Find Var(X).
A fair three-sided spinner has sides numbered 1, 2, 3. A fair five-sided spinner has sides numbered 1, 1, 2, 2, 3. Both spinners are spun once. For each spinner, the number on the side on which it lands is noted. The random variable X is the larger of the two numbers if they are different, and their common value if they are the same.
(a) Show that P(X = 3) = \(\frac{7}{15}\).
(b) Draw up the probability distribution table for X.
(c) Find E(X) and Var(X).
A company produces small boxes of sweets that contain 5 jellies and 3 chocolates. Jemeel chooses 3 sweets at random from a box.
Draw up the probability distribution table for the number of jellies that Jemeel chooses.
The random variable X takes the values 1, 2, 3, 4. It is given that \(P(X = x) = kx(x + a)\), where \(k\) and \(a\) are constants.
An ordinary fair die is thrown 3 times. The random variable X is the number of times that a 1 or a 6 is obtained.
(b) Draw up the probability distribution table for X.
(c) Find E(X).
A box contains 3 red balls and 5 white balls. One ball is chosen at random from the box and is not returned to the box. A second ball is now chosen at random from the box.
The random variable \(X\) denotes the number of red balls chosen.
A fair red spinner has four sides, numbered 1, 2, 3, 3. A fair blue spinner has three sides, numbered -1, 0, 2. When a spinner is spun, the score is the number on the side on which it lands. The spinners are spun at the same time. The random variable X denotes the score on the red spinner minus the score on the blue spinner.
(i) Draw up the probability distribution table for X.
(ii) Find \(\text{Var}(X)\).
A fair five-sided spinner has sides numbered 1, 1, 1, 2, 3. A fair three-sided spinner has sides numbered 1, 2, 3. Both spinners are spun once and the score is the product of the numbers on the sides the spinners land on.
Maryam has 7 sweets in a tin; 6 are toffees and 1 is a chocolate. She chooses one sweet at random and takes it out. Her friend adds 3 chocolates to the tin. Then Maryam takes another sweet at random out of the tin.
At a funfair, Amy pays $1 for two attempts to make a bell ring by shooting at it with a water pistol.
The probability that Amy makes the bell ring on any attempt is 0.2, independently of other attempts.
The random variable X takes the values -1, 1, 2, 3 only. The probability that X takes the value x is kx2, where k is a constant.
A fair 6-sided die has the numbers -1, -1, 0, 0, 1, 2 on its faces. A fair 3-sided spinner has edges numbered -1, 0, 1. The die is thrown and the spinner is spun. The number on the uppermost face of the die and the number on the edge on which the spinner comes to rest are noted. The sum of these two numbers is denoted by X.
A fair red spinner has 4 sides, numbered 1, 2, 3, 4. A fair blue spinner has 3 sides, numbered 1, 2, 3. When a spinner is spun, the score is the number on the side on which it lands. The spinners are spun at the same time. The random variable X denotes the score on the red spinner minus the score on the blue spinner.
A random variable X has the probability distribution shown in the following table, where p is a constant.
| x | -1 | 0 | 1 | 2 | 4 |
|---|---|---|---|---|---|
| P(X = x) | p | p | 2p | 2p | 0.1 |
The random variable X takes the values −2, 2 and 3. It is given that
\(P(X = x) = k(x^2 - 1)\),
where k is a constant.
(a) Draw up the probability distribution table for X, giving the probabilities as numerical fractions.
(b) Find \(E(X)\) and \(\text{Var}(X)\).
A game is played with 3 coins, A, B and C. Coins A and B are biased so that the probability of obtaining a head is 0.4 for coin A and 0.75 for coin B. Coin C is not biased. The 3 coins are thrown once.
Mrs Rupal chooses 3 animals at random from 5 dogs and 2 cats. The random variable X is the number of cats chosen.
Andy has 4 red socks and 8 black socks in his drawer. He takes 2 socks at random from his drawer.
The random variable X is the number of red socks taken.
A fair die with faces numbered 1, 2, 2, 2, 3, 6 is thrown. The score, X, is found by squaring the number on the face the die shows and then subtracting 4.
A box contains 6 identical-sized discs, of which 4 are blue and 2 are red. Discs are taken at random from the box in turn and not replaced. Let X be the number of discs taken, up to and including the first blue one.
(i) Show that \(P(X = 3) = \frac{1}{15}\).
(ii) Draw up the probability distribution table for \(X\).
In a probability distribution the random variable \(X\) takes the value \(x\) with probability \(kx^2\), where \(k\) is a constant and \(x\) takes values \(-2, -1, 2, 4\) only.
Pack A consists of ten cards numbered 0, 0, 1, 1, 1, 1, 3, 3, 3, 3. Pack B consists of six cards numbered 0, 0, 2, 2, 2, 2. One card is chosen at random from each pack. The random variable X is defined as the sum of the two numbers on the cards.
Noor has 3 T-shirts, 4 blouses and 5 jumpers. She chooses 3 items at random. The random variable X is the number of T-shirts chosen.
Two fair six-sided dice with faces numbered 1, 2, 3, 4, 5, 6 are thrown and the two scores are noted. The difference between the two scores is defined as follows.
Find the expectation of the difference between the two scores.
Two ordinary fair dice are thrown. The resulting score is found as follows.
(i) Draw up the probability distribution table for the score.
(ii) Calculate the expected score.
Three fair 4-sided spinners each have sides labelled 1, 2, 3, 4. The spinners are spun at the same time and the number on the side on which each spinner lands is recorded. The random variable X denotes the highest number recorded.
(a) Show that \(P(X = 2) = \frac{7}{64}\).
(b) Complete the probability distribution table for \(X\).
| x | 1 | 2 | 3 | 4 |
|---|---|---|---|---|
| \(P(X = x)\) | \(\frac{7}{64}\) | \(\frac{19}{64}\) |
A particular type of bird lays 1, 2, 3 or 4 eggs in a nest each year. The probability of x eggs is equal to kx, where k is a constant.
A box contains 2 green sweets and 5 blue sweets. Two sweets are taken at random from the box, without replacement. The random variable X is the number of green sweets taken. Find E(X) and Var(X).
A flower shop has 5 yellow roses, 3 red roses and 2 white roses. Martin chooses 3 roses at random. Draw up the probability distribution table for the number of white roses Martin chooses.
A fair spinner A has edges numbered 1, 2, 3, 3. A fair spinner B has edges numbered -3, -2, -1, 1. Each spinner is spun. The number on the edge that the spinner comes to rest on is noted. Let X be the sum of the numbers for the two spinners.
| Spinner A | ||||
|---|---|---|---|---|
| Spinner B | 1 | 2 | 3 | 3 |
| -3 | -2 | |||
| -2 | 1 | |||
| -1 | ||||
| 1 | ||||
Nadia is very forgetful. Every time she logs in to her online bank she only has a 40% chance of remembering her password correctly. She is allowed 3 unsuccessful attempts on any one day and then the bank will not let her try again until the next day.
| \(x\) | 0 | 1 | 2 | 3 |
|---|---|---|---|---|
| \(P(X = x)\) | 0.24 |
A pet shop has 9 rabbits for sale, 6 of which are white. A random sample of two rabbits is chosen without replacement.
A box contains 5 discs, numbered 1, 2, 4, 6, 7. William takes 3 discs at random, without replacement, and notes the numbers on the discs.
The smallest of the numbers on the 3 discs taken is denoted by the random variable \(S\).
By listing all possible selections (126, 246 and so on) draw up the probability distribution table for \(S\).
A box contains 2 green apples and 2 red apples. Apples are taken from the box, one at a time, without replacement. When both red apples have been taken, the process stops. The random variable X is the number of apples which have been taken when the process stops.
Another box contains 2 yellow peppers and 5 orange peppers. Three peppers are taken at random from the box without replacement.
Sharik attempts a multiple choice revision question on-line. There are 3 suggested answers, one of which is correct. When Sharik chooses an answer the computer indicates whether the answer is right or wrong. Sharik first chooses one of the three suggested answers at random. If this answer is wrong, he has a second try, choosing an answer at random from the remaining 2. If this answer is also wrong Sharik then chooses the remaining answer, which must be correct.
The random variable \(X\) is the number of attempts that Sharik makes up to and including the one that the computer indicates is correct. Draw up the probability distribution table for \(X\) and find \(E(X)\).
A pet shop has 6 rabbits and 3 hamsters. 5 of these pets are chosen at random. The random variable X represents the number of hamsters chosen.
Eric has three coins. One of the coins is fair. The other two coins are each biased so that the probability of obtaining a head on any throw is \(\frac{1}{4}\), independently of all other throws. Eric throws all three coins at the same time.
Events \(A\) and \(B\) are defined as follows.
\(A\): all three coins show the same result
\(B\): at least one of the biased coins shows a head
(a) Show that \(P(B) = \frac{7}{16}\).
(b) Find \(P(A \mid B)\).
The random variable \(X\) is the number of heads obtained when Eric throws the three coins.
(c) Draw up the probability distribution table for \(X\).
Coin A is weighted so that the probability of throwing a head is \(\frac{2}{3}\). Coin B is weighted so that the probability of throwing a head is \(\frac{1}{4}\). Coin A is thrown twice and coin B is thrown once.
A book club sends 6 paperback and 2 hardback books to Mrs Hunt. She chooses 4 of these books at random to take with her on holiday. The random variable X represents the number of paperback books she chooses.
Dayo chooses two digits at random, without replacement, from the 9-digit number 113 333 555.
The random variable \(X\) is the number of 5s that Dayo chooses. Draw up a table to show the probability distribution of \(X\).
Rory has 10 cards. Four of the cards have a 3 printed on them and six of the cards have a 4 printed on them. He takes three cards at random, without replacement, and adds up the numbers on the cards.
James has a fair coin and a fair tetrahedral die with four faces numbered 1, 2, 3, 4. He tosses the coin once and the die twice. The random variable X is defined as follows.
(i) Explain why X = 1 can only be obtained by throwing a tail, and show that P(X = 1) = \(\frac{1}{8}\).
(ii) Show that P(X = 3) = \(\frac{3}{16}\).
(iii) Copy and complete the probability distribution table for X.
| x | 1 | 2 | 3 | 4 | 5 | 6 | 7 | 8 |
|---|---|---|---|---|---|---|---|---|
| P(X = x) | \(\frac{1}{8}\) | \(\frac{3}{16}\) | \(\frac{1}{8}\) |
Event Q is ‘James throws a tail’. Event R is ‘the value of X is 7’.
(iv) Determine whether events Q and R are exclusive. Justify your answer.
Susan has a bag of sweets containing 7 chocolates and 5 toffees. Ahmad has a bag of sweets containing 3 chocolates, 4 toffees and 2 boiled sweets. A sweet is taken at random from Susan’s bag and put in Ahmad’s bag. A sweet is then taken at random from Ahmad’s bag.
The random variable X is the number of times a chocolate is taken. State the possible values of X and draw up a table to show the probability distribution of X.
A fair tetrahedral die has four triangular faces, numbered 1, 2, 3, and 4. The score when this die is thrown is the number on the face that the die lands on. This die is thrown three times. The random variable X is the sum of the three scores.
(i) Show that \(P(X = 9) = \frac{10}{64}\).
(ii) Copy and complete the probability distribution table for \(X\).
| x | 3 | 4 | 5 | 6 | 7 | 8 | 9 | 10 | 11 | 12 |
|---|---|---|---|---|---|---|---|---|---|---|
| \(P(X = x)\) | \(\frac{1}{64}\) | \(\frac{3}{64}\) | \(\frac{12}{64}\) |
(iii) Event \(R\) is ‘the sum of the three scores is 9’. Event \(S\) is ‘the product of the three scores is 16’. Determine whether events \(R\) and \(S\) are independent, showing your working.
Ashok has 3 green pens and 7 red pens. His friend Rod takes 3 of these pens at random, without replacement. Draw up a probability distribution table for the number of green pens Rod takes.
The six faces of a fair die are numbered 1, 1, 1, 2, 3, 3. The score for a throw of the die, denoted by the random variable W, is the number on the top face after the die has landed.
The random variable X has the probability distribution shown in the table.
| x | 2 | 4 | 6 |
|---|---|---|---|
| P(X = x) | 0.5 | 0.4 | 0.1 |
Two independent values of X are chosen at random. The random variable Y takes the value 0 if the two values of X are the same. Otherwise the value of Y is the larger value of X minus the smaller value of X.
The random variable X takes the values −2, 1, 2, 3. It is given that \(P(X = x) = kx^2\), where \(k\) is a constant.
A factory makes a large number of ropes with lengths either 3 m or 5 m. There are four times as many ropes of length 3 m as there are ropes of length 5 m.
One rope is chosen at random. Find the expectation and variance of its length.
A team of 4 is to be randomly chosen from 3 boys and 5 girls. The random variable \(X\) is the number of girls in the team.
Judy and Steve play a game using five cards numbered 3, 4, 5, 8, 9. Judy chooses a card at random, looks at the number on it and replaces the card. Then Steve chooses a card at random, looks at the number on it and replaces the card. If their two numbers are equal the score is 0. Otherwise, the smaller number is subtracted from the larger number to give the score.
(i) Show that the probability that the score is 6 is 0.08.
(ii) Draw up a probability distribution table for the score.
(iii) Calculate the mean score.
If the score is 0 they play again. If the score is 4 or more Judy wins. Otherwise Steve wins. They continue playing until one of the players wins.
(iv) Find the probability that Judy wins with the second choice of cards.
(v) Find an expression for the probability that Judy wins with the nth choice of cards.
In a probability distribution the random variable \(X\) takes the value \(x\) with probability \(kx\), where \(x\) takes values 1, 2, 3, 4, 5 only.
Set A consists of the ten digits 0, 0, 0, 0, 0, 0, 2, 2, 2, 4.
Set B consists of the seven digits 0, 0, 0, 0, 2, 2, 2.
One digit is chosen at random from each set. The random variable X is defined as the sum of these two digits.
A small farm has 5 ducks and 2 geese. Four of these birds are to be chosen at random. The random variable \(X\) represents the number of geese chosen.
In a particular discrete probability distribution the random variable \(X\) takes the value \(\frac{120}{r}\) with probability \(\frac{r}{45}\), where \(r\) takes all integer values from 1 to 9 inclusive.
A fair die has one face numbered 1, one face numbered 3, two faces numbered 5 and two faces numbered 6.
The die is thrown twice. Let \(X\) be the sum of the two scores. The following table shows the possible values of \(X\).
| Second throw | ||||||
|---|---|---|---|---|---|---|
| First throw | 1 | 3 | 5 | 5 | 6 | 6 |
| 1 | 2 | 4 | 6 | 6 | 7 | 7 |
| 3 | 4 | 6 | 8 | 8 | 9 | 9 |
| 5 | 6 | 8 | 10 | 10 | 11 | 11 |
| 5 | 6 | 8 | 10 | 10 | 11 | 11 |
| 6 | 7 | 9 | 11 | 11 | 12 | 12 |
| 6 | 7 | 9 | 11 | 11 | 12 | 12 |
Every day Eduardo tries to phone his friend. Every time he phones there is a 50% chance that his friend will answer. If his friend answers, Eduardo does not phone again on that day. If his friend does not answer, Eduardo tries again in a few minutes’ time. If his friend has not answered after 4 attempts, Eduardo does not try again on that day.
(i) Draw a tree diagram to illustrate this situation.
(ii) Let \(X\) be the number of unanswered phone calls made by Eduardo on a day. Copy and complete the table showing the probability distribution of \(X\).
| \(x\) | 0 | 1 | 2 | 3 | 4 |
|---|---|---|---|---|---|
| \(P(X = x)\) | \(\frac{1}{4}\) |
(iii) Calculate the expected number of unanswered phone calls on a day.
Box A contains 5 red paper clips and 1 white paper clip. Box B contains 7 red paper clips and 2 white paper clips. One paper clip is taken at random from box A and transferred to box B. One paper clip is then taken at random from box B.
The random variable X denotes the number of times that a red paper clip is taken. Draw up a table to show the probability distribution of X.
A fair 6-sided die has the numbers 1, 2, 2, 3, 3, 3 on its faces. The die is rolled twice. The random variable X denotes the sum of the two numbers obtained.
(a) Draw up the probability distribution table for X.
(b) Find E(X) and Var(X).
A vegetable basket contains 12 peppers, of which 3 are red, 4 are green and 5 are yellow. Three peppers are taken, at random and without replacement, from the basket.
The number of green peppers taken is denoted by the discrete random variable X. Draw up a probability distribution table for X.
In a competition, people pay $1 to throw a ball at a target. If they hit the target on the first throw they receive $5. If they hit it on the second or third throw they receive $3, and if they hit it on the fourth or fifth throw they receive $1. People stop throwing after the first hit, or after 5 throws if no hit is made. Mario has a constant probability of \(\frac{1}{5}\) of hitting the target on any throw, independently of the results of other throws.
A fair dice has four faces. One face is coloured pink, one is coloured orange, one is coloured green and one is coloured black. Five such dice are thrown and the number that fall on a green face are counted. The random variable \(X\) is the number of dice that fall on a green face.
(i) Show that the probability of 4 dice landing on a green face is 0.0146, correct to 4 decimal places.
(ii) Draw up a table for the probability distribution of \(X\), giving your answers correct to 4 decimal places.
A box contains five balls numbered 1, 2, 3, 4, 5. Three balls are drawn randomly at the same time from the box.
The random variable L denotes the largest of the three numbers drawn.
(iii) Draw up a table to show the probability distribution of L.
(iv) Calculate the expectation and variance of L.
Two fair dice are thrown. Let the random variable \(X\) be the smaller of the two scores if the scores are different, or the score on one of the dice if the scores are the same.
(i) Copy and complete the following table to show the probability distribution of \(X\).
| \(x\) | 1 | 2 | 3 | 4 | 5 | 6 |
|---|---|---|---|---|---|---|
| \(P(X = x)\) |
(ii) Find \(\mathbb{E}(X)\).
A box contains 10 pens of which 3 are new. A random sample of two pens is taken.
(ii) Construct a probability distribution table for the number of new pens in the sample.
(iii) Calculate the expected number of new pens in the sample.
A fair cubical die with faces numbered 1, 1, 1, 2, 3, 4 is thrown and the score noted. The area A of a square of side equal to the score is calculated, so, for example, when the score on the die is 3, the value of A is 9.
(i) Draw up a table to show the probability distribution of A.
(ii) Find E(A) and Var(A).
A fair red spinner has edges numbered 1, 2, 2, 3. A fair blue spinner has edges numbered -3, -2, -1, -1. Each spinner is spun once and the number on the edge on which each spinner lands is noted. The random variable X denotes the sum of the resulting two numbers.
(a) Draw up the probability distribution table for X.
(b) Given that \(E(X) = 0.25\), find the value of \(\text{Var}(X)\).
A bag contains 5 yellow and 4 green marbles. Three marbles are selected at random from the bag, without replacement.
(a) Show that the probability that exactly one of the marbles is yellow is \(\frac{5}{14}\).
The random variable \(X\) is the number of yellow marbles selected.
(b) Draw up the probability distribution table for \(X\).
(c) Find \(E(X)\).
A competitor in a throwing event has three attempts to throw a ball as far as possible. The random variable \(X\) denotes the number of throws that exceed 30 metres. The probability distribution table for \(X\) is shown below.
| \(x\) | 0 | 1 | 2 | 3 |
|---|---|---|---|---|
| \(P(X = x)\) | 0.4 | \(p\) | \(r\) | 0.15 |
The number of phone calls, X, received per day by Sarah has the following probability distribution.
| x | 0 | 1 | 2 | 3 | 4 | ≥5 |
|---|---|---|---|---|---|---|
| P(X = x) | 0.24 | 0.35 | 2k | k | 0.05 | 0 |
The discrete random variable \(X\) has the following probability distribution.
| \(x\) | -3 | 0 | 2 | 4 |
|---|---|---|---|---|
| \(P(X = x)\) | \(p\) | \(q\) | \(r\) | 0.4 |
Given that \(E(X) = 2.3\) and \(\text{Var}(X) = 3.01\), find the values of \(p, q\) and \(r\).
A spinner has 5 sides, numbered 1, 2, 3, 4, and 5. When the spinner is spun, the score is the number of the side on which it lands. The score is denoted by the random variable X, which has the probability distribution shown in the table.
| x | 1 | 2 | 3 | 4 | 5 |
|---|---|---|---|---|---|
| P(X = x) | 0.3 | 0.15 | 3p | 2p | 0.05 |
(i) Find the value of p.
A second spinner has 3 sides, numbered 1, 2, and 3. The score when this spinner is spun is denoted by the random variable Y. It is given that P(Y = 1) = 0.3, P(Y = 2) = 0.5, and P(Y = 3) = 0.2.
(ii) Find the probability that, when both spinners are spun together,
The possible values of the random variable X are the 8 integers in the set \(\{-2, -1, 0, 1, 2, 3, 4, 5\}\). The probability of X being 0 is \(\frac{1}{10}\). The probabilities for all the other values of X are equal. Calculate:
The discrete random variable \(X\) takes the values 1, 4, 5, 7, and 9 only. The probability distribution of \(X\) is shown in the table.
| \(x\) | 1 | 4 | 5 | 7 | 9 |
|---|---|---|---|---|---|
| \(P(X = x)\) | 4p | 5p^2 | 1.5p | 2.5p | 1.5p |
Find \(p\).
Sanket plays a game using a biased die which is twice as likely to land on an even number as on an odd number. The probabilities for the three even numbers are all equal and the probabilities for the three odd numbers are all equal.
Sanket throws the die once and calculates his score by the following method.
The random variable X is Sanket’s score.
The table shows the probability distribution of X.
| x | 4 | 6 | 7 | 8 | 10 |
|---|---|---|---|---|---|
| P(X = x) | \(\frac{3}{9}\) | \(\frac{1}{9}\) | \(\frac{2}{9}\) | \(\frac{2}{9}\) | \(\frac{1}{9}\) |
Sanket throws the die twice.
The probability distribution of the discrete random variable \(X\) is shown in the table below.
| \(x\) | -3 | -1 | 0 | 4 |
|---|---|---|---|---|
| \(P(X = x)\) | \(a\) | \(b\) | 0.15 | 0.4 |
Given that \(E(X) = 0.75\), find the values of \(a\) and \(b\).
The probability distribution of the random variable \(X\) is shown in the following table.
| \(x\) | -2 | -1 | 0 | 1 | 2 | 3 |
|---|---|---|---|---|---|---|
| \(P(X = x)\) | 0.08 | \(p\) | 0.12 | 0.16 | \(q\) | 0.22 |
The mean of \(X\) is 1.05.
Gohan throws a fair tetrahedral die with faces numbered 1, 2, 3, 4. If she throws an even number then her score is the number thrown. If she throws an odd number then she throws again and her score is the sum of both numbers thrown. Let the random variable X denote Gohan’s score.
(i) Show that \(P(X = 2) = \frac{5}{16}\).
(ii) The table below shows the probability distribution of \(X\).
| \(x\) | 2 | 3 | 4 | 5 | 6 | 7 |
|---|---|---|---|---|---|---|
| \(P(X = x)\) | \(\frac{5}{16}\) | \(\frac{1}{16}\) | \(\frac{3}{8}\) | \(\frac{1}{8}\) | \(\frac{1}{16}\) | \(\frac{1}{16}\) |
Calculate \(E(X)\) and \(\text{Var}(X)\).
The random variable X takes the values -2, 0 and 4 only. It is given that \(P(X = -2) = 2p\), \(P(X = 0) = p\) and \(P(X = 4) = 3p\).
Eli has four fair 4-sided dice with sides labelled 1, 2, 3, 4. He throws all four dice at the same time. The random variable X denotes the number of 2s obtained.
(a) Show that \(P(X = 3) = \frac{3}{64}\).
(b) Complete the following probability distribution table for \(X\).
| x | 0 | 1 | 2 | 3 | 4 |
|---|---|---|---|---|---|
| P(X = x) | \(\frac{81}{256}\) | \(\frac{3}{64}\) | \(\frac{1}{256}\) |
(c) Find \(E(X)\).
The discrete random variable X has the following probability distribution.
| x | 0 | 1 | 2 | 3 | 4 |
|---|---|---|---|---|---|
| P(X = x) | 0.26 | q | 3q | 0.05 | 0.09 |
A discrete random variable X has the following probability distribution.
| x | 1 | 2 | 3 | 4 |
|---|---|---|---|---|
| P(X = x) | 3c | 4c | 5c | 6c |
The discrete random variable X has the following probability distribution.
| x | 1 | 3 | 5 | 7 |
|---|---|---|---|---|
| P(X = x) | 0.3 | a | b | 0.25 |
Alisha has four coins. One of these coins is biased so that the probability of obtaining a head is 0.6. The other three coins are fair. Alisha throws the four coins at the same time. The random variable X denotes the number of heads obtained.
(a) Show that the probability of obtaining exactly one head is 0.225.
(b) Complete the following probability distribution table for X.
| x | 0 | 1 | 2 | 3 | 4 |
|---|---|---|---|---|---|
| P(X = x) | 0.05 | 0.225 | 0.075 |
\((c) Given that E(X) = 2.1, find the value of Var(X).\)
The probability distribution table for a random variable \(X\) is shown below.
| \(x\) | -2 | -1 | 0.5 | 1 | 2 |
|---|---|---|---|---|---|
| \(P(X = x)\) | 0.12 | \(p\) | \(q\) | 0.16 | 0.3 |
Given that \(E(X) = 0.28\), find the value of \(p\) and the value of \(q\).
In a game, Jim throws three darts at a board. This is called a ‘turn’. The centre of the board is called the bull’s-eye.
The random variable \(X\) is the number of darts in a turn that hit the bull’s-eye. The probability distribution of \(X\) is given in the following table.
| \(x\) | 0 | 1 | 2 | 3 |
|---|---|---|---|---|
| \(P(X = x)\) | 0.6 | \(p\) | \(q\) | 0.05 |
It is given that \(E(X) = 0.55\).
(a) Find the values of \(p\) and \(q\).
(b) Find \(\text{Var}(X)\).
The random variable X can take only the values -2, -1, 0, 1, 2. The probability distribution of X is given in the following table.
| x | -2 | -1 | 0 | 1 | 2 |
|---|---|---|---|---|---|
| P(X = x) | p | p | 0.1 | q | q |
\(Given that P(X \geq 0) = 3P(X < 0), find the values of p and q.\)
In a probability distribution the random variable X takes the values -1, 0, 1, 2, 4. The probability distribution table for X is as follows.
| x | -1 | 0 | 1 | 2 | 4 |
|---|---|---|---|---|---|
| P(X = x) | \(\frac{1}{4}\) | p | p | \(\frac{3}{8}\) | 4p |
The discrete random variable X has the following probability distribution.
| x | -2 | 0 | 1 | 3 | 4 |
|---|---|---|---|---|---|
| P(X = x) | 0.2 | 0.1 | p | 0.1 | q |
(i) Given that \(E(X) = 1.7\), find the values of \(p\) and \(q\).
(ii) Find \(\text{Var}(X)\).
The discrete random variable X has the following probability distribution.
| x | 1 | 2 | 3 | 6 |
|---|---|---|---|---|
| P(X = x) | 0.15 | p | 0.4 | q |
\(Given that E(X) = 3.05, find the values of p and q.\)
The probability that a driver passes an advanced driving test is 0.3 on any given attempt. Five friends will each take their advanced driving test tomorrow. Find the probability that at least three of them will pass tomorrow.
The residents of Persham were surveyed about the reliability of their internet service. 12% rated the service as ‘poor’, 36% rated it as ‘satisfactory’ and 52% rated it as ‘good’.
A random sample of 8 residents of Persham is chosen.
Find the probability that more than 2 and fewer than 8 of them rate their internet service as poor or satisfactory.
Ramesh now repeatedly throws two ordinary fair 6-sided dice at the same time. Each time he adds the two numbers that he obtains.
For 10 randomly chosen throws of the two dice, find the probability that Ramesh obtains a total of less than 4 on at least three throws.
In a large college, 28% of the students do not play any musical instrument, 52% play exactly one musical instrument and the remainder play two or more musical instruments.
A random sample of 12 students from the college is chosen.
Find the probability that more than 9 of these students play at least one musical instrument.
Jacob has four coins. One of the coins is biased such that when it is thrown the probability of obtaining a head is \(\frac{7}{10}\). The other three coins are fair. Jacob throws all four coins once. The number of heads that he obtains is denoted by the random variable \(X\). The probability distribution table for \(X\) is as follows.
| \(x\) | 0 | 1 | 2 | 3 | 4 |
|---|---|---|---|---|---|
| \(P(X = x)\) | \(\frac{3}{80}\) | \(a\) | \(b\) | \(c\) | \(\frac{7}{80}\) |
(a) Show that \(a = \frac{1}{5}\) and find the values of \(b\) and \(c\).
(b) Find \(E(X)\).
Jacob throws all four coins together 10 times.
(c) Find the probability that he obtains exactly one head on fewer than 3 occasions.
(d) Find the probability that Jacob obtains exactly one head for the first time on the 7th or 8th time that he throws the 4 coins.
In a certain country, the probability of more than 10 cm of rain on any particular day is 0.18, independently of the weather on any other day.
(a) Find the probability that in any randomly chosen 7-day period, more than 2 days have more than 10 cm of rain.
(b) For 3 randomly chosen 7-day periods, find the probability that exactly two of these periods have at least one day with more than 10 cm of rain.
In a game, Jim throws three darts at a board. This is called a ‘turn’. The centre of the board is called the bull’s-eye.
The random variable \(X\) is the number of darts in a turn that hit the bull’s-eye. The probability distribution of \(X\) is given in the following table.
| \(x\) | 0 | 1 | 2 | 3 |
|---|---|---|---|---|
| \(P(X = x)\) | 0.6 | p | q | 0.05 |
It is given that \(E(X) = 0.55\).
In a certain region, the probability that any given day in October is wet is 0.16, independently of other days.
Find the probability that, in a 10-day period in October, fewer than 3 days will be wet.
In the whole of Arka there are a large number of households. A survey showed that 35% of households in Arka have no broadband service.
(i) 10 households in Arka are chosen at random.
Find the probability that fewer than 3 of these households have no broadband service. [3]
Every day Richard takes a flight between Astan and Bejin. On any day, the probability that the flight arrives early is 0.15, the probability that it arrives on time is 0.55 and the probability that it arrives late is 0.3.
(a) Find the probability that on each of 3 randomly chosen days, Richard's flight does not arrive late.
(b) Find the probability that for 9 randomly chosen days, Richard's flight arrives early at least 3 times.
In Questa, 60% of the adults travel to work by car. A random sample of 12 adults from Questa is taken. Find the probability that the number who travel to work by car is less than 10.
George has a fair 5-sided spinner with sides labelled 1, 2, 3, 4, 5. He spins the spinner and notes the number on the side on which the spinner lands.
George spins the spinner 10 times.
Find the probability that he obtains a 5 more than 4 times but fewer than 8 times.
On average at all the schools in this country 30% of the students do not like any sports.
(i) 10 of the students from this country are chosen at random.
Find the probability that at least 3 of these students do not like any sports.
The 13:00 train from Jahor to Keman runs every day. The probability that the train arrives late in Keman is 0.35.
For a random sample of 7 days, find the probability that the train arrives late on fewer than 3 days.
A fair six-sided die, with faces marked 1, 2, 3, 4, 5, 6, is thrown repeatedly until a 4 is obtained.
(a) Find the probability that obtaining a 4 requires fewer than 6 throws.
On another occasion, the die is thrown 10 times.
(b) Find the probability that a 4 is obtained at least 3 times.
Kayla is competing in a throwing event. A throw is counted as a success if the distance achieved is greater than 30 metres. The probability that Kayla will achieve a success on any throw is 0.25.
(a) Find the probability that Kayla takes more than 6 throws to achieve a success. [2]
(b) Find the probability that, for a random sample of 10 throws, Kayla achieves at least 3 successes. [3]
In a certain large college, 22% of students own a car.
(a) 3 students from the college are chosen at random. Find the probability that all 3 students own a car.
(b) 16 students from the college are chosen at random. Find the probability that the number of these students who own a car is at least 2 and at most 4.
On any given day, the probability that Moena messages her friend Pasha is 0.72.
(a) Find the probability that for a random sample of 12 days Moena messages Pasha on no more than 9 days. [3]
(b) Moena messages Pasha on 1 January. Find the probability that the next day on which she messages Pasha is 5 January. [1]
The company also produces large boxes of sweets. For any large box, the probability that it contains more jellies than chocolates is 0.64. 10 large boxes are chosen at random.
Find the probability that no more than 7 of these boxes contain more jellies than chocolates.
In Greenton, 70% of the adults own a car. A random sample of 8 adults from Greenton is chosen.
Find the probability that the number of adults in this sample who own a car is less than 6.
A competition is taking place between two choirs, the Notes and the Classics. There is a large audience for the competition.
A random sample of 6 people is chosen from the audience.
In Quarendon, 66% of households are satisfied with the speed of their wifi connection.
Find the probability that, out of 10 households chosen at random in Quarendon, at least 8 are satisfied with the speed of their wifi connection.
Hazeem repeatedly throws two ordinary fair 6-sided dice at the same time. On each occasion, the score is the sum of the two numbers that she obtains.
For 8 randomly chosen throws of the two dice, find the probability that Hazeem obtains a score of 8 or more on fewer than 3 occasions.
Annan has designed a new logo for a sportswear company. A survey of a large number of customers found that 42% of customers rated the logo as good.
A random sample of 10 customers is chosen. Find the probability that fewer than 8 of them rate the logo as good.
On average, 34% of the people who go to a particular theatre are men.
A random sample of 14 people who go to the theatre is chosen. Find the probability that at most 2 people are men.
The probability that Janice will buy an item online in any week is 0.35. Janice does not buy more than one item online in any week.
Find the probability that, in a 10-week period, Janice buys at most 7 items online.
In a certain country the probability that a child owns a bicycle is 0.65.
A random sample of 15 children from this country is chosen. Find the probability that more than 12 own a bicycle.
The results of a survey by a large supermarket show that 35% of its customers shop online. Six customers are chosen at random. Find the probability that more than three of them shop online.
Jake attempts the crossword puzzle in his daily newspaper every day. The probability that he will complete the puzzle on any given day is 0.75, independently of all other days.
Find the probability that he will complete the puzzle at least three times over a period of five days.
At the Nonland Business College, all students sit an accountancy examination at the end of their first year of study. On average, 80% of the students pass this examination.
A random sample of 9 students who will take this examination is chosen. Find the probability that at most 6 of these students will pass the examination.
In a certain country, 60% of mobile phones sold are made by Company A, 35% are made by Company B and 5% are made by other companies.
Find the probability that, out of a random sample of 13 people who buy a mobile phone, fewer than 11 choose a mobile phone made by Company A.
Vehicles approaching a certain road junction from town A can either turn left, turn right or go straight on. Over time it has been noted that of the vehicles approaching this particular junction from town A, 55% turn left, 15% turn right and 30% go straight on. The direction a vehicle takes at the junction is independent of the direction any other vehicle takes at the junction.
Find the probability that, of the next three vehicles approaching the junction from town A, one goes straight on and the other two either both turn left or both turn right.
In Pelmerdon 22% of families own a dishwasher.
Find the probability that, of 15 families chosen at random from Pelmerdon, between 4 and 6 inclusive own a dishwasher.
The mass of grapes sold on any day is independent of the mass sold on any other day. On 10% of days less than 16 kg of grapes are sold. 12 days are chosen at random. Find the probability that less than 16 kg of grapes are sold on more than 2 of these 12 days.
The results of a survey at a certain large college show that the proportion of students who own a car is \(\frac{1}{4}\).
Five students at the college are chosen at random. Find the probability that at least four of these students own a car.
A statistics student asks people to complete a survey. The probability that a randomly chosen person agrees to complete the survey is 0.2. Find the probability that at least one of the first three people asked agrees to complete the survey.
A fair tetrahedral die has faces numbered 1, 2, 3, 4. A coin is biased so that the probability of showing a head when thrown is \(\frac{1}{3}\). The die is thrown once and the number \(n\) that it lands on is noted. The biased coin is then thrown \(n\) times. So, for example, if the die lands on 3, the coin is thrown 3 times.
Hebe attempts a crossword puzzle every day. The number of puzzles she completes in a week (7 days) is denoted by X.
On average, Hebe completes 7 out of 10 of these puzzles.
During the school holidays, each day Khalid either rides on his bicycle with probability 0.6, or on his skateboard with probability 0.4. Khalid does not ride on both on the same day.
Find the probability that Khalid rides on his skateboard on at least 2 of 10 randomly chosen days in the school holidays.
Each day Annabel eats rice, potato or pasta. Independently of each other, the probability that she eats rice is 0.75, the probability that she eats potato is 0.15 and the probability that she eats pasta is 0.1.
A fair triangular spinner has three sides numbered 1, 2, 3. When the spinner is spun, the score is the number of the side on which it lands. The spinner is spun four times.
On any day at noon, the probabilities that Kersley is asleep or studying are 0.2 and 0.6 respectively.
Find the probability that, in any 7-day period, Kersley is either asleep or studying at noon on at least 6 days.
Passengers are travelling to Picton by minibus. The probability that each passenger carries a backpack is 0.65, independently of other passengers. Each minibus has seats for 12 passengers.
(i) Find the probability that, in a full minibus travelling to Picton, between 8 passengers and 10 passengers inclusive carry a backpack.
(ii) Passengers get on to an empty minibus. Find the probability that the fourth passenger who gets on to the minibus will be the first to be carrying a backpack.
The faces of a biased die are numbered 1, 2, 3, 4, 5, and 6. The random variable X is the score when the die is thrown. The following is the probability distribution table for X.
| x | 1 | 2 | 3 | 4 | 5 | 6 |
|---|---|---|---|---|---|---|
| P(X = x) | p | p | p | p | 0.2 | 0.2 |
The die is thrown 3 times. Find the probability that the score is 4 on not more than 1 of the 3 throws.
Two fair 5-sided spinners, each with sides labelled 1, 2, 3, 4, 5, are spun at the same time. If the numbers obtained are equal, the score is 0. Otherwise, the score is the higher number minus the lower number.
The two spinners are spun at the same time repeatedly.
For 9 randomly chosen spins of the two spinners, find the probability that the score is greater than 2 on at least 3 occasions.
A factory makes water pistols, 8% of which do not work properly.
A random sample of 19 water pistols is taken. Find the probability that at most 2 do not work properly.
In a certain town, 76% of cars are fitted with satellite navigation equipment. A random sample of 11 cars from this town is chosen. Find the probability that fewer than 10 of these cars are fitted with this equipment.
A fair die is thrown 10 times. Find the probability that the number of sixes obtained is between 3 and 5 inclusive.
In a certain country, 68% of households have a printer. Find the probability that, in a random sample of 8 households, 5, 6 or 7 households have a printer.
The number of books read by members of a book club each year has the binomial distribution \(B(12, 0.7)\).
In Marumbo, three quarters of the adults own a cell phone. A random sample of 8 adults from Marumbo is taken. Find the probability that the number of adults who own a cell phone is between 4 and 6 inclusive.
(i) Four fair six-sided dice, each with faces marked 1, 2, 3, 4, 5, 6, are thrown. Find the probability that the numbers shown on the four dice add up to 5.
(ii) Four fair six-sided dice, each with faces marked 1, 2, 3, 4, 5, 6, are thrown on 7 occasions. Find the probability that the numbers shown on the four dice add up to 5 on exactly 1 or 2 of the 7 occasions.
In a certain country 12% of houses have solar heating. 19 houses are chosen at random. Find the probability that fewer than 4 houses have solar heating.
(i) State three conditions which must be satisfied for a situation to be modelled by a binomial distribution.
George wants to invest some of his monthly salary. He invests a certain amount of this every month for 18 months. For each month there is a probability of 0.25 that he will buy shares in a large company, there is a probability of 0.15 that he will buy shares in a small company and there is a probability of 0.6 that he will invest in a savings account.
(ii) Find the probability that George will buy shares in a small company in at least 3 of these 18 months.
In a large consignment of mangoes, 15% of mangoes are classified as small, 70% as medium and 15% as large.
Yue-chen picks 14 mangoes at random. Find the probability that fewer than 12 of them are medium or large.
A children's wildlife magazine is published every Monday. For the next 12 weeks it will include a model animal as a free gift. There are five different models: tiger, leopard, rhinoceros, elephant, and buffalo, each with the same probability of being included in the magazine.
Sahim buys one copy of the magazine every Monday.
(b) Find the probability that Sahim will get more than two leopards in the 12 magazines.
(c) Find the probability that after 5 weeks Sahim has exactly one of each animal.
On trains in the morning rush hour, each person is either a student with probability 0.36, or an office worker with probability 0.22, or a shop assistant with probability 0.29 or none of these.
8 people on a morning rush hour train are chosen at random. Find the probability that between 4 and 6 inclusive are office workers.
A company set up a display consisting of 20 fireworks. For each firework, the probability that it fails to work is 0.05, independently of other fireworks.
(i) Find the probability that more than 1 firework fails to work.
The 20 fireworks cost the company $24 each. 450 people pay the company $10 each to watch the display. If more than 1 firework fails to work they get their money back.
(ii) Calculate the expected profit for the company.
Suzanne has 20 pairs of shoes, some of which have designer labels. She has 6 pairs of high-heeled shoes, of which 2 pairs have designer labels. She has 4 pairs of low-heeled shoes, of which 1 pair has designer labels. The rest of her shoes are pairs of sports shoes. Suzanne has 8 pairs of shoes with designer labels in total.
Suzanne chooses 1 pair of shoes at random each day.
Find the probability that Suzanne wears a pair of shoes with designer labels on at most 4 days out of the next 7 days.
In a certain mountainous region in winter, the probability of more than 20 cm of snow falling on any particular day is 0.21.
Human blood groups are identified by two parts. The first part is A, B, AB or O and the second part (the Rhesus part) is + or −. In the UK, 35% of the population are group A+, 8% are B+, 3% are AB+, 37% are O+, 7% are A−, 2% are B−, 1% are AB− and 7% are O−.
A random sample of 9 people in the UK who are Rhesus + is taken. Find the probability that fewer than 3 are group O+.
There are a large number of students in Luttley College. 60% of the students are boys. Students can choose exactly one of Games, Drama or Music on Friday afternoons. It is found that 75% of the boys choose Games, 10% of the boys choose Drama and the remainder of the boys choose Music. Of the girls, 30% choose Games, 55% choose Drama and the remainder choose Music.
(i) 6 boys are chosen at random. Find the probability that fewer than 3 of them choose Music.
(ii) 5 Drama students are chosen at random. Find the probability that at least 1 of them is a boy.
The probability that Sue completes a Sudoku puzzle correctly is 0.75. Sue attempts 14 Sudoku puzzles every month. The number that she completes successfully is denoted by \(X\).
(ii) Find the value of \(X\) that has the highest probability. You may assume that this value is one of the two values closest to the mean of \(X\). [3]
(iii) Find the probability that in exactly 3 of the next 5 months Sue completes more than 11 Sudoku puzzles correctly. [5]
(i) State three conditions that must be satisfied for a situation to be modelled by a binomial distribution.
On any day, there is a probability of 0.3 that Julie’s train is late.
(ii) Nine days are chosen at random. Find the probability that Julie’s train is late on more than 7 days or fewer than 2 days.
In the holidays Martin spends 25% of the day playing computer games. Martin’s friend phones him once a day at a randomly chosen time.
Find the probability that, in one holiday period of 8 days, there are exactly 2 days on which Martin is playing computer games when his friend phones.
On a certain road 20% of the vehicles are trucks, 16% are buses and the remainder are cars.
A random sample of 11 vehicles is taken. Find the probability that fewer than 3 are buses.
80% of the residents of Kinwawa are in favour of a leisure centre being built in the town. 20 residents of Kinwawa are chosen at random and asked, in turn, whether they are in favour of the leisure centre. Find the probability that more than 17 of these residents are in favour of the leisure centre.
A fair die has one face numbered 1, one face numbered 3, two faces numbered 5 and two faces numbered 6.
Find the probability of obtaining at least 7 odd numbers in 8 throws of the die.
A die is biased so that the probability of throwing a 5 is 0.75 and the probabilities of throwing a 1, 2, 3, 4 or 6 are all equal.
Find the probability that, out of 10 throws of this die, at least 8 throws result in a 5.
The probability that New Year's Day is on a Saturday in a randomly chosen year is \(\frac{1}{7}\).
15 years are chosen randomly. Find the probability that at least 3 of these years have New Year's Day on a Saturday.
A manufacturer makes two sizes of elastic bands: large and small. 40% of the bands produced are large bands and 60% are small bands. Assuming that each pack of these elastic bands contains a random selection, calculate the probability that, in a pack containing 20 bands, there are
A survey of adults in a certain large town found that 76% of people wore a watch on their left wrist, 15% wore a watch on their right wrist and 9% did not wear a watch.
A random sample of 14 adults was taken. Find the probability that more than 2 adults did not wear a watch.
(i) State two conditions which must be satisfied for a situation to be modelled by a binomial distribution.
In a certain village 28% of all cars are made by Ford.
(ii) 14 cars are chosen randomly in this village. Find the probability that fewer than 4 of these cars are made by Ford.
A shop sells old video tapes, of which 1 in 5 on average are known to be damaged.
A random sample of 15 tapes is taken. Find the probability that at most 2 are damaged.
Single cards, chosen at random, are given away with bars of chocolate. Each card shows a picture of one of 20 different football players. Richard needs just one picture to complete his collection. He buys 5 bars of chocolate and looks at all the pictures. Find the probability that
Company A produces bags of sugar. An inspector finds that on average 10% of the bags are underweight. 10 of the bags are chosen at random. Find the probability that fewer than 3 of these bags are underweight.
At a company's call centre, 90% of callers are connected immediately to a representative.
A random sample of 12 callers is chosen.
Find the probability that fewer than 10 of these callers are connected immediately.
An experiment consists of throwing a biased die 30 times and noting the number of 4s obtained. This experiment was repeated many times and the average number of 4s obtained in 30 throws was found to be 6.21.
(i) Estimate the probability of throwing a 4.
Hence
(ii) find the variance of the number of 4s obtained in 30 throws,
(iii) find the probability that in 15 throws the number of 4s obtained is 2 or more.
A box contains 300 discs of different colours. There are 100 pink discs, 100 blue discs and 100 orange discs. The discs of each colour are numbered from 0 to 99. Five discs are selected at random, one at a time, with replacement. Find
A garden shop sells polyanthus plants in boxes, each box containing the same number of plants. The number of plants per box which produce yellow flowers has a binomial distribution with mean 11 and variance 4.95.
(a) Find the number of plants per box.
(b) Find the probability that a box contains exactly 12 plants which produce yellow flowers.
During the school holidays, each day Khalid either rides on his bicycle with probability 0.6, or on his skateboard with probability 0.4. Khalid does not ride on both on the same day.
There are 45 days of school holidays. Show that the variance of the number of days Khalid rides on his skateboard is the same as the variance of the number of days that Khalid rides on his bicycle.
Visitors to a Wildlife Park in Africa have independent probabilities of 0.9 of seeing giraffes, 0.95 of seeing elephants, 0.85 of seeing zebras and 0.1 of seeing lions.
Screws are sold in packets of 15. Faulty screws occur randomly. A large number of packets are tested for faulty screws and the mean number of faulty screws per packet is found to be 1.2.
Damien buys 8 packets of screws at random.
Robert uses his calculator to generate 5 random integers between 1 and 9 inclusive.
(i) Find the probability that at least 2 of the 5 integers are less than or equal to 4.
Robert now generates n random integers between 1 and 9 inclusive. The random variable X is the number of these n integers which are less than or equal to a certain integer k between 1 and 9 inclusive. It is given that the mean of X is 96 and the variance of X is 32.
(ii) Find the values of n and k.
A biased die was thrown 20 times and the number of 5s was noted. This experiment was repeated many times and the average number of 5s was found to be 4.8. Find the probability that in the next 20 throws the number of 5s will be less than three.
Biscuits are sold in packets of 18. There is a constant probability that any biscuit is broken, independently of other biscuits. The mean number of broken biscuits in a packet has been found to be 2.7. Find the probability that a packet contains between 2 and 4 (inclusive) broken biscuits.
Christa takes her dog for a walk every day. The probability that they go to the park on any day is 0.6. If they go to the park there is a probability of 0.35 that the dog will bark. If they do not go to the park there is a probability of 0.75 that the dog will bark.
(i) Find the probability that they go to the park on more than 5 of the next 7 days.
(ii) Find the variance of the number of times they go to the park in 30 days.
The mean number of defective batteries in packs of 20 is 1.6. Use a binomial distribution to calculate the probability that a randomly chosen pack of 20 will have more than 2 defective batteries.
Annan has designed a new logo for a sportswear company. A survey of a large number of customers found that 42% of customers rated the logo as good.
On another occasion, a random sample of n customers of the company is chosen. Find the smallest value of n for which the probability that at least one person rates the logo as good is greater than 0.995.
A factory makes water pistols, 8% of which do not work properly.
In a random sample of n water pistols, the probability that at least one does not work properly is greater than 0.9. Find the smallest possible value of n.
In a large consignment of mangoes, 15% of mangoes are classified as small, 70% as medium and 15% as large.
Yue-chen picks n mangoes at random. The probability that none of these n mangoes is small is at least 0.1. Find the largest possible value of n.
In a certain country, on average one student in five has blue eyes.
For a random selection of n students, the probability that none of the students has blue eyes is less than 0.001. Find the least possible value of n.
Fiona uses her calculator to produce 12 random integers between 7 and 21 inclusive. The random variable \(X\) is the number of these 12 integers which are multiples of 5.
Fiona now produces \(n\) random integers between 7 and 21 inclusive.
In Restaurant Bijoux 13% of customers rated the food as ‘poor’, 22% of customers rated the food as ‘satisfactory’ and 65% rated it as ‘good’. A random sample of 12 customers who went for a meal at Restaurant Bijoux was taken.
(i) Find the probability that more than 2 and fewer than 12 of them rated the food as ‘good’.
On a separate occasion, a random sample of n customers who went for a meal at the restaurant was taken.
(ii) Find the smallest value of n for which the probability that at least 1 person will rate the food as ‘poor’ is greater than 0.95.
The probability that Sue completes a Sudoku puzzle correctly is 0.75.
Sue attempts n Sudoku puzzles. Find the least value of n for which the probability that she completes all n puzzles correctly is less than 0.06.
(i) Find the probability of getting at least one 3 when 9 fair dice are thrown.
(ii) When n fair dice are thrown, the probability of getting at least one 3 is greater than 0.9. Find the smallest possible value of n.
On any occasion when a particular gymnast performs a certain routine, the probability that she will perform it correctly is 0.65, independently of all other occasions.
(i) Find the probability that she will perform the routine correctly on exactly 5 occasions out of 7.
(iii) On another day she performs the routine n times. Find the smallest value of n for which the expected number of correct performances is at least 8.
A shop sells old video tapes, of which 1 in 5 on average are known to be damaged.
Find the smallest value of n if there is a probability of at least 0.85 that a random sample of n tapes contains at least one damaged tape.
The probability that Janice will buy an item online in any week is 0.35. Janice does not buy more than one item online in any week.
The probability that Janice buys at least one item online in a period of n weeks is greater than 0.99. Find the smallest possible value of n.
The results of a survey by a large supermarket show that 35% of its customers shop online.
For a random sample of n customers, the probability that at least one of them shops online is greater than 0.95. Find the least possible value of n.
In a certain country, 60% of mobile phones sold are made by Company A, 35% are made by Company B, and 5% are made by other companies.
A random sample of n mobile phones sold is chosen. The probability that at least one of these phones is made by Company B is more than 0.98. Find the least possible value of n.
The results of a survey at a certain large college show that the proportion of students who own a car is \(\frac{1}{4}\).
For a random sample of \(n\) students at the college, the probability that at least one of the students owns a car is greater than 0.995. Find the least possible value of \(n\).
Eggs are sold in boxes of 20. Cracked eggs occur independently and the mean number of cracked eggs in a box is 1.4.
12% of people take more than t minutes to cook an egg.
A random sample of n people is taken. Find the smallest possible value of n if the probability that none of these people takes more than t minutes to cook an egg is less than 0.003.
When people visit a certain large shop, on average 34% of them do not buy anything, 53% spend less than $50 and 13% spend at least $50.
(i) 15 people visiting the shop are chosen at random. Calculate the probability that at least 14 of them buy something.
(ii) n people visiting the shop are chosen at random. The probability that none of them spends at least $50 is less than 0.04. Find the smallest possible value of n.
In a certain town, 35% of the people take a holiday abroad and 65% take a holiday in their own country. Of those going abroad 80% go to the seaside, 15% go camping and 5% take a city break. Of those taking a holiday in their own country, 20% go to the seaside and the rest are divided equally between camping and a city break.
A group of n people is chosen randomly. The probability of all the people in the group taking a holiday in their own country is less than 0.002. Find the smallest possible value of n.
The probability that a driver passes an advanced driving test is 0.3 on any given attempt.
Dipak keeps taking the test until he passes. The random variable \(X\) denotes the number of attempts required for Dipak to pass the test.
Three fair 6-sided dice, each with faces marked 1, 2, 3, 4, 5, 6, are thrown at the same time repeatedly. The score on each throw is the sum of the numbers on the uppermost faces.
(a) Find the probability that a score of 17 or more is first obtained on the 6th throw.
(b) Find the probability that a score of 17 or more is obtained in fewer than 8 throws.
Ramesh throws an ordinary fair 6-sided die.
(a) Find the probability that he obtains a 4 for the first time on his 8th throw.
(b) Find the probability that it takes no more than 5 throws for Ramesh to obtain a 4.
A factory produces chocolates in three flavours: lemon, orange, and strawberry in the ratio 3:5:7 respectively. Nell checks the chocolates on the production line by choosing chocolates randomly one at a time.
‘Surprise’ boxes of chocolates each contain 15 chocolates: 3 are lemon, 5 are orange, and 7 are strawberry. Petra has a box of Surprise chocolates. She chooses 3 chocolates at random from the box. She eats each chocolate before choosing the next one.
In a certain region, the probability that any given day in October is wet is 0.16, independently of other days.
(b) Find the probability that the first wet day in October is 8 October.
(c) For 4 randomly chosen years, find the probability that in exactly 1 of these years the first wet day in October is 8 October.
Two fair coins are thrown at the same time. The random variable \(X\) is the number of throws of the two coins required to obtain two tails at the same time.
(a) Find the probability that two tails are obtained for the first time on the 7th throw.
(b) Find the probability that it takes more than 9 throws to obtain two tails for the first time.
Three fair six-sided dice, each with faces marked 1, 2, 3, 4, 5, 6, are thrown at the same time, repeatedly. For a single throw of the three dice, the score is the sum of the numbers on the top faces.
(a) Find the probability that the score is 4 on a single throw of the three dice.
(b) Find the probability that a score of 18 is obtained for the first time on the 5th throw of the three dice.
An ordinary fair die is thrown repeatedly until a 5 is obtained. The number of throws taken is denoted by the random variable X.
(a) Write down the mean of X.
(b) Find the probability that a 5 is first obtained after the 3rd throw but before the 8th throw.
(c) Find the probability that a 5 is first obtained in fewer than 10 throws.
A fair spinner with 5 sides numbered 1, 2, 3, 4, 5 is spun repeatedly. The score on each spin is the number on the side on which the spinner lands.
(a) Find the probability that a score of 3 is obtained for the first time on the 8th spin.
(b) Find the probability that fewer than 6 spins are required to obtain a score of 3 for the first time.
An ordinary fair die is thrown until a 6 is obtained.
(a) Find the probability that obtaining a 6 takes more than 8 throws.
Two ordinary fair dice are thrown together until a pair of 6s is obtained. The number of throws taken is denoted by the random variable X.
(b) Find the expected value of X.
(c) Find the probability that obtaining a pair of 6s takes either 10 or 11 throws.
A pair of fair coins is thrown repeatedly until a pair of tails is obtained. The random variable X denotes the number of throws required to obtain a pair of tails.
(a) Find the expected value of X. [1]
(b) Find the probability that exactly 3 throws are required to obtain a pair of tails. [1]
(c) Find the probability that fewer than 6 throws are required to obtain a pair of tails. [2]
George has a fair 5-sided spinner with sides labelled 1, 2, 3, 4, 5. He spins the spinner and notes the number on the side on which the spinner lands.
Find the probability that it takes fewer than 7 spins for George to obtain a 5.
The score when two fair six-sided dice are thrown is the sum of the two numbers on the upper faces.
(a) Show that the probability that the score is 4 is \(\frac{1}{12}\).
(b) The two dice are thrown repeatedly until a score of 4 is obtained. The number of throws taken is denoted by the random variable \(X\). Find the mean of \(X\).
(c) Find the probability that a score of 4 is first obtained on the 6th throw.
(d) Find \(P(X < 8)\).
An ordinary fair die is thrown repeatedly until a 1 or a 6 is obtained.
Find the probability that it takes at least 3 throws but no more than 5 throws to obtain a 1 or a 6.
A red spinner has four sides labelled 1, 2, 3, 4. When the spinner is spun, the score is the number on the side on which it lands. The random variable X denotes this score. The probability distribution table for X is given below.
| x | 1 | 2 | 3 | 4 |
|---|---|---|---|---|
| P(X = x) | 0.28 | p | 2p | 3p |
(a) Show that \(p = 0.12\).
A fair blue spinner and a fair green spinner each have four sides labelled 1, 2, 3, 4. All three spinners (red, blue and green) are spun at the same time.
(b) Find the probability that the sum of the three scores is 4 or less.
(c) Find the probability that the product of the three scores is 4 or less given that X is odd.
Hazeem repeatedly throws two ordinary fair 6-sided dice at the same time. On each occasion, the score is the sum of the two numbers that she obtains.
(a) Find the probability that it takes exactly 5 throws of the two dice for Hazeem to obtain a score of 8 or more.
(b) Find the probability that it takes no more than 4 throws of the two dice for Hazeem to obtain a score of 8 or more.
Two fair coins are thrown at the same time repeatedly until a pair of heads is obtained. The number of throws taken is denoted by the random variable X.
(a) State the value of \(E(X)\).
(b) Find the probability that exactly 5 throws are required to obtain a pair of heads.
(c) Find the probability that fewer than 7 throws are required to obtain a pair of heads.
A fair 5-sided spinner has sides labelled 1, 2, 3, 4, 5. The spinner is spun repeatedly until a 2 is obtained on the side on which the spinner lands. The random variable X denotes the number of spins required.
(a) Find \(P(X = 4)\).
(b) Find \(P(X < 6)\).
A children's wildlife magazine is published every Monday. For the next 12 weeks it will include a model animal as a free gift. There are five different models: tiger, leopard, rhinoceros, elephant and buffalo, each with the same probability of being included in the magazine.
Sahim buys one copy of the magazine every Monday.
Find the probability that the first time that the free gift is an elephant is before the 6th Monday.
80% of the residents of Kinwawa are in favour of a leisure centre being built in the town.
(b) Find the probability that the 5th person asked is the first person who is not in favour of the leisure centre.
(c) Find the probability that the 7th person asked is the second person who is not in favour of the leisure centre.
On another occasion, one of the fair 4-sided spinners is spun repeatedly until a 3 is obtained. The random variable \(Y\) is the number of spins required to obtain a 3.
(c) Find \(P(Y = 6)\).
(d) Find \(P(Y > 4)\).
The weights of large bags of pasta produced by a company are normally distributed with mean 1.5 kg and standard deviation 0.05 kg.
Find the probability that a randomly chosen large bag of pasta weighs between 1.42 kg and 1.52 kg.
Raj wants to improve his fitness, so every day he goes for a run. The times, in minutes, of his runs have a normal distribution with mean 41.2 and standard deviation 3.6.
(a) Find the probability that on a randomly chosen day Raj runs for more than 43.2 minutes.
(b) Find an estimate for the number of days in a year (365 days) on which Raj runs for less than 43.2 minutes.
The times taken, in minutes, to complete a particular task by employees at a large company are normally distributed with mean 32.2 and standard deviation 9.6.
(a) Find the probability that a randomly chosen employee takes more than 28.6 minutes to complete the task.
(c) Find the probability that the time taken to complete the task by a randomly chosen employee differs from the mean by less than 15.0 minutes.
The times, in minutes, that Karli spends each day on social media are normally distributed with mean 125 and standard deviation 24.
(i) On how many days of the year (365 days) would you expect Karli to spend more than 142 minutes on social media?
(ii) Find the probability that Karli spends more than 142 minutes on social media on fewer than 2 of 10 randomly chosen days.
A company produces a particular type of metal rod. The lengths of these rods are normally distributed with mean 25.2 cm and standard deviation 0.4 cm. A random sample of 500 of these rods is chosen.
How many rods in this sample would you expect to have a length that is within 0.5 cm of the mean length?
The time spent by shoppers in a large shopping centre has a normal distribution with mean 96 minutes and standard deviation 18 minutes.
Find the probability that a shopper chosen at random spends between 85 and 100 minutes in the shopping centre.
The times taken to swim 100 metres by members of a large swimming club have a normal distribution with mean 62 seconds and standard deviation 5 seconds.
Find the probability that a randomly chosen member of the club takes between 56 and 66 seconds to swim 100 metres.
Pia runs 2 km every day and her times in minutes are normally distributed with mean 10.1 and standard deviation 1.3.
(a) Find the probability that on a randomly chosen day Pia takes longer than 11.3 minutes to run 2 km.
(c) On how many days in a period of 90 days would you expect Pia to take between 8.9 and 11.3 minutes to run 2 km?
The time in hours that Davin plays on his games machine each day is normally distributed with mean 3.5 and standard deviation 0.9.
(a) Find the probability that on a randomly chosen day Davin plays on his games machine for more than 4.2 hours.
(c) Calculate an estimate for the number of days in a year (365 days) on which Davin plays on his games machine for between 2.8 and 4.2 hours.
In a certain town, the time, X hours, for which people watch television in a week has a normal distribution with mean 15.8 hours and standard deviation 4.2 hours.
Find the probability that a randomly chosen person from this town watches television for less than 21 hours in a week.
The lengths of female snakes of a particular species are normally distributed with mean 54 cm and standard deviation 6.1 cm.
Find the probability that a randomly chosen female snake of this species has length between 50 cm and 60 cm.
The lengths of Western bluebirds are normally distributed with mean 16.5 cm and standard deviation 0.6 cm.
A random sample of 150 of these birds is selected.
How many of these 150 birds would you expect to have length between 15.4 cm and 16.8 cm?
The heights of students at the Mainland college are normally distributed with mean 148 cm and standard deviation 8 cm.
120 Mainland students are chosen at random.
Find the number of these students that would be expected to have a height within half a standard deviation of the mean.
The heights, in metres, of fir trees in a large forest have a normal distribution with mean 40 and standard deviation 8.
The shortest time recorded by an athlete in a 400 m race is called their personal best (PB). The PBs of the athletes in a large athletics club are normally distributed with mean 49.2 seconds and standard deviation 2.8 seconds.
Three athletes from the club are chosen at random.
The time taken, in minutes, by a ferry to cross a lake has a normal distribution with mean 85 and standard deviation 6.8.
Find the probability that, on a randomly chosen occasion, the time taken by the ferry to cross the lake is between 79 and 91 minutes.
The volume of ink in a certain type of ink cartridge has a normal distribution with mean 30 ml and standard deviation 1.5 ml. People in an office use a total of 8 cartridges of this ink per month. Find the expected number of cartridges per month that contain less than 28.9 ml of this ink.
The weight of adult female giraffes has a normal distribution with mean 830 kg and standard deviation 120 kg.
There are 430 adult female giraffes in a particular game reserve. Find the number of these adult female giraffes which can be expected to weigh less than 700 kg.
The times taken, in minutes, for trains to travel between Alphaton and Beeton are normally distributed with mean 140 and standard deviation 12.
Find the probability that a randomly chosen train will take less than 132 minutes to travel between Alphaton and Beeton.
The weights of apples sold by a store can be modelled by a normal distribution with mean 120 grams and standard deviation 24 grams. Apples weighing less than 90 grams are graded as 'small'; apples weighing more than 140 grams are graded as 'large'; the remainder are graded as 'medium'.
(i) Show that the probability that an apple chosen at random is graded as medium is 0.692, correct to 3 significant figures.
(ii) Four apples are chosen at random. Find the probability that at least two are graded as medium.
The variable \(Y\) is normally distributed with mean \(\mu\) and standard deviation \(\sigma\), where \(4\sigma = 3\mu\) and \(\mu \neq 0\). Find the probability that a randomly chosen value of \(Y\) is positive.
It is given that \(X \sim N(31.4, 3.6)\). Find the probability that a randomly chosen value of \(X\) is less than 29.4.
A mathematical puzzle is given to a large number of students. The times taken to complete the puzzle are normally distributed with mean 14.6 minutes and standard deviation 5.2 minutes.
In a random sample of 250 of the students, how many would you expect to have taken more than 20 minutes to complete the puzzle?
The random variable \(X\) has the distribution \(N(\mu, \sigma^2)\), where \(3\sigma = 4\mu\) and \(\mu \neq 0\). Find \(P(X < 3\mu)\).
The random variable X has the distribution \(N(\mu, \sigma^2)\), where \(\mu = 1.5\sigma\). A random value of \(X\) is chosen. Find the probability that this value of \(X\) is greater than 0.
The lengths of metal rods have a normal distribution with mean 16 cm and standard deviation 0.2 cm. Rods which are shorter than 15.75 cm or longer than 16.25 cm are not usable. Find the expected number of usable rods in a batch of 1000 rods.
The random variable X has a normal distribution with mean equal to the standard deviation. Find the probability that a particular value of X is less than 1.5 times the mean.
The lengths, in centimetres, of middle fingers of women in Snoland have a normal distribution with mean 7.9 and standard deviation 0.44. A random sample of 5 women from Snoland is chosen.
(ii) Find the probability that exactly 3 of these women have middle fingers shorter than 8.2 cm.
The time taken to cook an egg by people living in a certain town has a normal distribution with mean 4.2 minutes and standard deviation 0.6 minutes.
Find the probability that a person chosen at random takes between 3.5 and 4.5 minutes to cook an egg.
The time in minutes taken by Peter to walk to the shop and buy a newspaper is normally distributed with mean 9.5 and standard deviation 1.3.
The times in hours taken by another garage to fit a tow bar onto a car have the distribution \(N(\mu, \sigma^2)\) where \(\mu = 3\sigma\).
Find the probability that it takes more than \(0.6\mu\) hours to fit a tow bar onto a randomly chosen car at this garage.
The random variable \(Y\) is normally distributed with mean \(\mu\) and standard deviation \(\sigma\). Given that \(\sigma = \frac{2}{3} \mu\), find the probability that a random value of \(Y\) is less than \(2\mu\).
Amy’s friend Marok measured her pulse rate every day after running for half an hour. Marok’s pulse rate, in beats per minute, was found to have a mean of 148.6 and a standard deviation of 18.5. Assuming that pulse rates have a normal distribution, find what proportion of Marok’s pulse rates, after running for half an hour, were above 160 beats per minute.
In a cycling event the times taken to complete a course are modelled by a normal distribution with mean 62.3 minutes and standard deviation 8.4 minutes.
(a) Find the probability that a randomly chosen cyclist has a time less than 74 minutes.
(b) Find the probability that 4 randomly chosen cyclists all have times between 50 and 74 minutes.
The heights of books in a library, in cm, have a normal distribution with mean 21.7 and standard deviation 6.5. A book with a height of more than 29 cm is classified as ‘large’.
(i) Find the probability that, of 8 books chosen at random, fewer than 2 books are classified as large.
(ii) n books are chosen at random. The probability of there being at least 1 large book is more than 0.98. Find the least possible value of n.
The random variable \(Y\) has the distribution \(N(\mu, \sigma^2)\), where \(2\sigma = 3\mu\) and \(\mu \neq 0\). Find \(P(Y > 4\mu)\).
A farmer finds that the weights of sheep on his farm have a normal distribution with mean 66.4 kg and standard deviation 5.6 kg.
(i) 250 sheep are chosen at random. Estimate the number of sheep which have a weight of between 70 kg and 72.5 kg.
(ii) The proportion of sheep weighing less than 59.2 kg is equal to the proportion weighing more than y kg. Find the value of y.
The petrol consumption of a certain type of car has a normal distribution with mean 24 kilometres per litre and standard deviation 4.7 kilometres per litre. Find the probability that the petrol consumption of a randomly chosen car of this type is between 21.6 kilometres per litre and 28.7 kilometres per litre.
A factory produces flower pots. The base diameters have a normal distribution with mean 14 cm and standard deviation 0.52 cm. Find the probability that the base diameters of exactly 8 out of 10 randomly chosen flower pots are between 13.6 cm and 14.8 cm.
It is given that \(X \sim N(1.5, 3.2^2)\). Find the probability that a randomly chosen value of \(X\) is less than \(-2.4\).
It is given that \(X \sim N(30, 49)\), \(Y \sim N(30, 16)\) and \(Z \sim N(50, 16)\). On a single diagram, with the horizontal axis going from 0 to 70, sketch three curves to represent the distributions of \(X, Y\) and \(Z\).

The random variable Y is normally distributed with positive mean μ and standard deviation \(\frac{1}{2} \mu\). Find the probability that a randomly chosen value of Y is negative.
The random variable X is such that X ~ N(82, 126).
A value of X is chosen at random and rounded to the nearest whole number. Find the probability that this whole number is 84.
The random variable X is the daily profit, in thousands of dollars, made by a company. X is normally distributed with mean 6.4 and standard deviation 5.2.
(i) Find the probability that, on a randomly chosen day, the company makes a profit between $10,000 and $12,000.
(ii) Find the probability that the company makes a loss on exactly 1 of the next 4 consecutive days.
The weights of the bags of sugar produced by company B are normally distributed with mean 1.04 kg and standard deviation 0.06 kg.
Find the probability that a randomly chosen bag produced by company B weighs more than 1.11 kg.
In another fish farm, the lengths of salmon, X cm, are normally distributed with mean 32.9 cm and standard deviation 2.4 cm.
Find the probability that a randomly chosen salmon is 34 cm long, correct to the nearest centimetre.
It is given that \(X \sim N(28.3, 4.5)\). Find the probability that a randomly chosen value of \(X\) lies between 25 and 30.
In a certain country, the daily minimum temperature, in °C, in winter has the distribution \(N(8, 24)\). Find the probability that a randomly chosen winter day in this country has a minimum temperature between 7°C and 12°C.
Name the distribution and suggest suitable numerical parameters that you could use to model the weights in kilograms of female 18-year-old students.
The times taken by students to get up in the morning can be modelled by a normal distribution with mean 26.4 minutes and standard deviation 3.7 minutes.
(i) For a random sample of 350 students, find the number who would be expected to take longer than 20 minutes to get up in the morning. [3]
(ii) ‘Very slow’ students are students whose time to get up is more than 1.645 standard deviations above the mean. Find the probability that fewer than 3 students from a random sample of 8 students are ‘very slow’. [4]
The lengths of new pencils are normally distributed with mean 11 cm and standard deviation 0.095 cm.
The daily minimum temperature in degrees Celsius (°C) in January in Ottawa is a random variable with distribution \(N(-15.1, 62.0)\). Find the probability that a randomly chosen day in January in Ottawa has a minimum temperature above 0°C.
Tyre pressures on a certain type of car independently follow a normal distribution with mean 1.9 bars and standard deviation 0.15 bars.
Find the probability that all four tyres on a car of this type have pressures between 1.82 bars and 1.92 bars.
Melons are sold in three sizes: small, medium and large. The weights follow a normal distribution with mean 450 grams and standard deviation 120 grams. Melons weighing less than 350 grams are classified as small.
The length of time a person undergoing a routine operation stays in hospital can be modelled by a normal distribution with mean 7.8 days and standard deviation 2.8 days.
\(
\)

The lengths of the rods produced by a company are normally distributed with mean 55.6 mm and standard deviation 1.2 mm.
(a) In a random sample of 400 of these rods, how many would you expect to have length less than 54.8 mm?
(b) Find the probability that a randomly chosen rod produced by this company has a length that is within half a standard deviation of the mean.
The height of sunflowers follows a normal distribution with mean 112 cm and standard deviation 17.2 cm. Find the probability that the height of a randomly chosen sunflower is greater than 120 cm.
The distance in metres that a ball can be thrown by pupils at a particular school follows a normal distribution with mean 35.0 m and standard deviation 11.6 m.
Find the probability that a randomly chosen pupil can throw a ball between 30 and 40 m.
On another day the mean speed of cars on the motorway was found to be 107.6 km h-1 and the standard deviation was 13.8 km h-1. Assuming these speeds follow a normal distribution and that the speed limit is 110 km h-1, find what proportion of cars exceed the speed limit.
Farmer Jones grows apples. The weights, in grams, of the apples grown this year are normally distributed with mean 170 and standard deviation 25. Apples that weigh between 142 grams and 205 grams are sold to a supermarket.
(a) Find the probability that a randomly chosen apple grown by Farmer Jones this year is sold to the supermarket.
Farmer Jones sells the apples to the supermarket at $0.24 each. He sells apples that weigh more than 205 grams to a local shop at $0.30 each. He does not sell apples that weigh less than 142 grams.
The total number of apples grown by Farmer Jones this year is 20000.
(b) Calculate an estimate for his total income from this year’s apples.
The weights, in kg, of bags of rice produced by Anders have the distribution \(N(2.02, 0.03^2)\).
Find the probability that a randomly chosen bag of rice produced by Anders weighs between 1.98 and 2.03 kg.
The lengths, in cm, of the leaves of a particular type are modelled by the distribution \(N(5.2, 1.5^2)\).
Find the probability that a randomly chosen leaf of this type has length less than 6 cm.
The weights of small bags of pasta produced by the company are normally distributed with mean 0.75 kg and standard deviation \(\sigma\) kg. It is found that 68% of these small bags have weight less than 0.9 kg.
Find the value of \(\sigma\).
The lengths of the leaves of another type are also modelled by a normal distribution. A scientist measures the lengths of a random sample of 500 leaves of this type and finds that 46 are less than 3 cm long and 95 are more than 8 cm long.
(b) Find estimates for the mean and standard deviation of the lengths of leaves of this type.
(c) In a random sample of 2000 leaves of this second type, how many would the scientist expect to find with lengths more than 1 standard deviation from the mean?
The lengths of fish of a certain type have a normal distribution with mean 38 cm. It is found that 5% of the fish are longer than 50 cm.
Tyre pressures on a certain type of car independently follow a normal distribution with mean 1.9 bars and standard deviation 0.15 bars.
Safety regulations state that the pressures must be between 1.9 - b bars and 1.9 + b bars. It is known that 80% of tyres are within these safety limits. Find the safety limits.
The length of Paulo’s lunch break follows a normal distribution with mean \(\mu\) minutes and standard deviation 5 minutes. On one day in four, on average, his lunch break lasts for more than 52 minutes.
In a normal distribution, 69% of the distribution is less than 28 and 90% is less than 35. Find the mean and standard deviation of the distribution.
When a new fertiliser is used, the height of sunflowers follows a normal distribution with mean 115 cm. Given that 80% of the heights are now greater than 103 cm, find the standard deviation.
The distance in metres that a ball can be thrown by pupils at a particular school follows a normal distribution with mean 35.0 m and standard deviation 11.6 m.
The school gives a certificate to the 10% of pupils who throw further than a certain distance. Find the least distance that must be thrown to qualify for a certificate.
(i) In a normal distribution with mean \(\mu\) and standard deviation \(\sigma\), \(P(X > 3.6) = 0.5\) and \(P(X > 2.8) = 0.6554\). Write down the value of \(\mu\), and calculate the value of \(\sigma\).
(ii) If four observations are taken at random from this distribution, find the probability that at least two observations are greater than 2.8.
The weights of male leopards in a particular region are normally distributed with mean 55 kg and standard deviation 6 kg.
(a) Find the probability that a randomly chosen male leopard from this region weighs between 46 and 62 kg. [4]
The weights of female leopards in this region are normally distributed with mean 42 kg and standard deviation \(\sigma\) kg. It is known that 25% of female leopards in the region weigh less than 36 kg.
(b) Find the value of \(\sigma\). [3]
The distributions of the weights of male and female leopards are independent of each other. A male leopard and a female leopard are each chosen at random.
(c) Find the probability that both the weights of these leopards are less than 46 kg. [4]
Raj wants to improve his fitness, so every day he goes for a run. The times, in minutes, of his runs have a normal distribution with mean 41.2 and standard deviation 3.6.
On 95% of days, Raj runs for more than t minutes.
Find the value of t.
The times taken, in minutes, to complete a particular task by employees at a large company are normally distributed with mean 32.2 and standard deviation 9.6.
20% of employees take longer than t minutes to complete the task.
Find the value of t.
The times, in minutes, that Karli spends each day on social media are normally distributed with mean 125 and standard deviation 24.
On 90% of days, Karli spends more than t minutes on social media.
Find the value of t.
The lengths of the leaves of a particular type of tree are modelled by a normal distribution. A scientist measures the lengths of a random sample of 500 leaves from this type of tree and finds that 42 are less than 4 cm long and 100 are more than 10 cm long.
(a) Find estimates for the mean and standard deviation of the lengths of leaves from this type of tree.
The lengths, in cm, of the leaves of a different type of tree have the distribution \(N(\mu, \sigma^2)\). The scientist takes a random sample of 800 leaves from this type of tree.
(b) Find how many of these leaves the scientist would expect to have lengths, in cm, between \(\mu - 2\sigma\) and \(\mu + 2\sigma\).
The weights of bags of sugar are normally distributed with mean 1.04 kg and standard deviation \(\sigma\) kg. In a random sample of 2000 bags of sugar, 72 weighed more than 1.10 kg.
Find the value of \(\sigma\).
The time spent by shoppers in a large shopping centre has a normal distribution with mean 96 minutes and standard deviation 18 minutes.
88% of shoppers spend more than t minutes in the shopping centre.
Find the value of t.
The times taken to swim 100 metres by members of a large swimming club have a normal distribution with mean 62 seconds and standard deviation 5 seconds.
13% of the members of the club take more than t minutes to swim 100 metres. Find the value of t.
Pia runs 2 km every day and her times in minutes are normally distributed with mean 10.1 and standard deviation 1.3.
On 75% of days, Pia takes longer than t minutes to run 2 km. Find the value of t.
(a) The heights of the members of a club are normally distributed with mean 166 cm and standard deviation 10 cm.
(b) The random variable X is normally distributed with mean μ and standard deviation σ.
\(Given that σ = \frac{2}{3}μ, find the probability that a randomly chosen value of X is positive.\)
The time in hours that Davin plays on his games machine each day is normally distributed with mean 3.5 and standard deviation 0.9.
On 90% of days Davin plays on his games machine for more than t hours. Find the value of t.
In a certain town, the time, X hours, for which people watch television in a week has a normal distribution with mean 15.8 hours and standard deviation 4.2 hours.
\(Find the value of k such that P(X < k) = 0.75.\)
Trees in the Redian forest are classified as tall, medium or short, according to their height. The heights can be modelled by a normal distribution with mean 40 m and standard deviation 12 m. Trees with a height of less than 25 m are classified as short.
(a) Find the probability that a randomly chosen tree is classified as short.
Of the trees that are classified as tall or medium, one third are tall and two thirds are medium.
(b) Show that the probability that a randomly chosen tree is classified as tall is 0.298, correct to 3 decimal places.
(c) Find the height above which trees are classified as tall.
The lengths of male snakes of this species also have a normal distribution. A scientist measures the lengths of a random sample of 200 male snakes of this species. He finds that 32 have lengths less than 45 cm and 17 have lengths more than 56 cm.
Find estimates for the mean and standard deviation of the lengths of male snakes of this species.
The weights of apples of a certain variety are normally distributed with mean 82 grams. 22% of these apples have a weight greater than 87 grams.
(a) Find the standard deviation of the weights of these apples.
(b) Find the probability that the weight of a randomly chosen apple of this variety differs from the mean weight by less than 4 grams.
The heights of students at the Mainland college are normally distributed with mean 148 cm and standard deviation 8 cm.
The probability that a Mainland student chosen at random has a height less than h cm is 0.67. Find the value of h.
In another forest, the heights of another type of fir tree are modelled by a normal distribution. A scientist measures the heights of 500 randomly chosen trees of this type. He finds that 48 trees are less than 10 m high and 76 trees are more than 24 m high.
Find the mean and standard deviation of the heights of trees of this type.
The shortest time recorded by an athlete in a 400 m race is called their personal best (PB). The PBs of the athletes in a large athletics club are normally distributed with mean 49.2 seconds and standard deviation 2.8 seconds.
It is found that 92% of athletes from this club have PBs of more than t seconds. Find the value of t.
The time taken, in minutes, by a ferry to cross a lake has a normal distribution with mean 85 and standard deviation 6.8.
Over a long period it is found that 96% of ferry crossings take longer than a certain time \(t\) minutes. Find the value of \(t\).
It is known that 20% of male giant pandas in a certain area weigh more than 121 kg and 71.9% weigh more than 102 kg. Weights of male giant pandas in this area have a normal distribution. Find the mean and standard deviation of the weights of male giant pandas in this area.
The mass of grapes sold per day by a large shop can be modelled by a normal distribution with mean 28 kg. On 10% of days less than 16 kg of grapes are sold.
(a) Find the standard deviation of the mass of grapes sold per day.
(c) In a random sample of 365 days, on how many days would you expect the mass of grapes sold to be within 1.3 standard deviations of the mean?
The weight of adult male giraffes has a normal distribution with mean 1190 kg and standard deviation \(\sigma\) kg.
Given that 83.4% of adult male giraffes weigh more than 950 kg, find the value of \(\sigma\).
The weight of adult female giraffes has a normal distribution with mean 830 kg and standard deviation 120 kg.
Given that 90% of adult female giraffes weigh between (830 - w) kg and (830 + w) kg, find the value of w.
The times taken, in minutes, for trains to travel between Alphaton and Beeton are normally distributed with mean 140 and standard deviation 12.
The probability that a randomly chosen train takes more than k minutes to travel between Alphaton and Beeton is 0.675. Find the value of k.
The lifetimes, in hours, of a particular type of light bulb are normally distributed with mean 2000 hours and standard deviation \(\sigma\) hours. The probability that a randomly chosen light bulb of this type has a lifetime of more than 1800 hours is 0.96.
Find the value of \(\sigma\).
The time, X hours, for which students use a games machine in any given day has a normal distribution with mean 3.24 hours and standard deviation 0.96 hours.
The lengths of fish of a particular species are modelled by a normal distribution. A scientist measures the lengths of 400 randomly chosen fish of this species. He finds that 42 fish are less than 12 cm long and 58 are more than 19 cm long. Find estimates for the mean and standard deviation of the lengths of fish of this species.
The random variable X has the distribution \(N(-3, \sigma^2)\). The probability that a randomly chosen value of X is positive is 0.25.
(i) The volume of soup in Super Soup cartons has a normal distribution with mean \(\mu\) millilitres and standard deviation 9 millilitres. Tests have shown that 10% of cartons contain less than 440 millilitres of soup. Find the value of \(\mu\).
(ii) A food retailer orders 150 Super Soup cartons. Calculate the number of these cartons for which you would expect the volume of soup to be more than 1.8 standard deviations above the mean.
The distance that car tyres of a certain make can travel before they need to be replaced has a normal distribution. A survey of a large number of these tyres found that the probability of this distance being more than 36,800 km is 0.0082 and the probability of this distance being more than 31,000 km is 0.6915. Find the mean and standard deviation of the distribution.
The weights of packets of a certain type of biscuit are normally distributed with mean 400 grams and standard deviation \(\sigma\) grams.
All the students are given a second puzzle to complete. Their times, in minutes, are normally distributed with mean \(\mu\) and standard deviation \(\sigma\). It is found that 20% of the students have times less than 14.5 minutes and 67% of the students have times greater than 18.5 minutes.
Find the value of \(\mu\) and the value of \(\sigma\).
Josie aims to catch a bus which departs at a fixed time every day. Josie arrives at the bus stop T minutes before the bus departs, where T ~ N(5.3, 2.12).
In Jimpuri the weights, in kilograms, of boys aged 16 years have a normal distribution with mean 61.4 and standard deviation 12.3.
In Brigville the weights, in kilograms, of boys aged 16 years have a normal distribution. 99% of the boys weigh less than 97.2 kilograms and 33% of the boys weigh less than 55.2 kilograms.
The weight, in grams, of pineapples is denoted by the random variable \(X\) which has a normal distribution with mean 500 and standard deviation 91.5. Pineapples weighing over 570 grams are classified as 'large'. Those weighing under 390 grams are classified as 'small' and the rest are classified as 'medium'.
The life of a particular type of torch battery is normally distributed with mean 120 hours and standard deviation s hours. It is known that 87.5% of these batteries last longer than 70 hours. Find the value of s.
The lengths of videos of a certain popular song have a normal distribution with mean 3.9 minutes. 18% of these videos last for longer than 4.2 minutes.
The lengths of videos of another popular song have a normal distribution with the same mean of 3.9 minutes but the standard deviation is twice the standard deviation in part (i). The probability that the length of a randomly chosen video of this song differs from the mean by less than half a minute is denoted by \(p\).
The random variable X has a normal distribution with mean μ and standard deviation σ. You are given that σ = 0.25μ and P(X < 6.8) = 0.75.
The lengths, in centimetres, of middle fingers of women in Raneland have a normal distribution with mean \(\mu\) and standard deviation \(\sigma\). It is found that 25% of these women have fingers longer than 8.8 cm and 17.5% have fingers shorter than 7.7 cm.
(i) Find the values of \(\mu\) and \(\sigma\).
The weights of bananas in a fruit shop have a normal distribution with mean 150 grams and standard deviation 50 grams. Three sizes of banana are sold.
Small: under 95 grams
Medium: between 95 grams and 205 grams
Large: over 205 grams
The prices of bananas are 10 cents for a small banana, 20 cents for a medium banana and 25 cents for a large banana.
The time taken to cook an egg by people living in a certain town has a normal distribution with mean 4.2 minutes and standard deviation 0.6 minutes.
12% of people take more than t minutes to cook an egg.
Find the value of t.
Packets of rice are filled by a machine and have weights which are normally distributed with mean 1.04 kg and standard deviation 0.017 kg.
The factory manager wants to produce more packets of rice. He changes the settings on the machine so that the standard deviation is the same but the mean is reduced to \(\mu\) kg. With this mean the probability that a packet weighs less than 1 kg is 0.0388.
In a different cycling event, the times can also be modelled by a normal distribution. 23% of the cyclists have times less than 36 minutes and 10% of the cyclists have times greater than 54 minutes.
Find estimates for the mean and standard deviation of this distribution.
The random variable X is such that X ~ N(20, 49). Given that P(X > k) = 0.25, find the value of k.
The heights of school desks have a normal distribution with mean 69 cm and standard deviation \(\sigma\) cm. It is known that 15.5% of these desks have a height greater than 70 cm.
(i) Find the value of \(\sigma\).
When Jodu sits at a desk, his knees are at a height of 58 cm above the floor. A desk is comfortable for Jodu if his knees are at least 9 cm below the top of the desk. Jodu's school has 300 desks.
(ii) Calculate an estimate of the number of these desks that are comfortable for Jodu.
The time in minutes taken by Peter to walk to the shop and buy a newspaper is normally distributed with mean 9.5 and standard deviation 1.3.
On 90% of days he takes longer than t minutes. Find the value of t.
The height of maize plants in Mpwapwa is normally distributed with mean 1.62 m and standard deviation \(\sigma\) m. The probability that a randomly chosen plant has a height greater than 1.8 m is 0.15. Find the value of \(\sigma\).
The times taken by a garage to fit a tow bar onto a car have a normal distribution with mean \(m\) hours and standard deviation 0.35 hours. It is found that 95% of times taken are longer than 0.9 hours.
The time taken for cucumber seeds to germinate under certain conditions has a normal distribution with mean 125 hours and standard deviation \(\sigma\) hours.
A petrol station finds that its daily sales, in litres, are normally distributed with mean 4520 and standard deviation 560.
The daily sales at another petrol station are \(X\) litres, where \(X\) is normally distributed with mean \(m\) and standard deviation 560. It is given that \(P(X > 8000) = 0.122\).
The random variable X has the distribution \(N(\mu, \sigma^2)\). It is given that \(P(X < 54.1) = 0.5\) and \(P(X > 50.9) = 0.8665\). Find the values of \(\mu\) and \(\sigma\).
The weights, in grams, of onions in a supermarket have a normal distribution with mean \(\mu\) and standard deviation 22. The probability that a randomly chosen onion weighs more than 195 grams is 0.128. Find the value of \(\mu\).
(a) Once a week Zak goes for a run. The time he takes, in minutes, has a normal distribution with mean 35.2 and standard deviation 4.7.
(b) The random variable X has the distribution N(μ, σ2). It is given that P(X < 7) = 0.2119 and P(X < 10) = 0.6700. Find the values of μ and σ.
The weights of the bags of sugar produced by company B are normally distributed with mean 1.04 kg and standard deviation 0.06 kg.
81% of the bags of sugar produced by company B weigh less than w kg.
Find the value of w.
The lengths, in metres, of cars in a city are normally distributed with mean \(\mu\) and standard deviation 0.714. The probability that a randomly chosen car has a length more than 3.2 metres and less than \(\mu\) metres is 0.475. Find \(\mu\).
Gem stones from a certain mine have weights, \(X\) grams, which are normally distributed with mean 1.9 g and standard deviation 0.55 g. These gem stones are sorted into three categories for sale depending on their weights, as follows.
Small: under 1.2 g Medium: between 1.2 g and 2.5 g Large: over 2.5 g
Packets of tea are labelled as containing 250 g. The actual weight of tea in a packet has a normal distribution with mean 260 g and standard deviation \(\sigma\) g. Any packet with a weight less than 250 g is classed as ‘underweight’. Given that 1% of packets of tea are underweight, find the value of \(\sigma\).
The time, X hours, for which people sleep in one night has a normal distribution with mean 7.15 hours and standard deviation 0.88 hours.
Another farmer finds that the weights of sheep on his farm have a normal distribution with mean \(\mu\) kg and standard deviation 4.92 kg. 25% of these sheep weigh more than 67.5 kg.
Find the value of \(\mu\).
When Moses makes a phone call, the amount of time that the call takes has a normal distribution with mean 6.5 minutes and standard deviation 1.76 minutes.
Lengths of a certain type of white radish are normally distributed with mean \(\mu\) cm and standard deviation \(\sigma\) cm. 4% of these radishes are longer than 12 cm and 32% are longer than 9 cm. Find \(\mu\) and \(\sigma\).
(a) The random variable X is normally distributed with mean 82 and standard deviation 7.4. Find the value of q such that \(P(82-q < X < 82+q) = 0.44\).
(b) The random variable Y is normally distributed with mean \(\mu\) and standard deviation \(\sigma\). It is given that \(5\mu = 2\sigma^2\) and that \(P(Y < \frac{1}{2}\mu) = 0.281\). Find the values of \(\mu\) and \(\sigma\).
The amount of fibre in a packet of a certain brand of cereal is normally distributed with mean 160 grams. 19% of packets of cereal contain more than 190 grams of fibre.
Lengths of a certain type of carrot have a normal distribution with mean 14.2 cm and standard deviation 3.6 cm.
In a large population, the systolic blood pressure (SBP) of adults is normally distributed with mean 125.4 and standard deviation 18.6.
(a) Find the probability that the SBP of a randomly chosen adult is less than 132.
The SBP of 12-year-old children in the same population is normally distributed with mean 117. Of these children 88% have SBP more than 108.
(b) Find the standard deviation of this distribution.
Three adults are chosen at random from this population.
(c) Find the probability that each of these three adults has SBP within 1.5 standard deviations of the mean.
Buildings in a certain city centre are classified by height as tall, medium or short. The heights can be modelled by a normal distribution with mean 50 metres and standard deviation 16 metres. Buildings with a height of more than 70 metres are classified as tall.
Cans of lemon juice are supposed to contain 440 ml of juice. It is found that the actual volume of juice in a can is normally distributed with mean 445 ml and standard deviation 3.6 ml.
(i) Find the probability that a randomly chosen can contains less than 440 ml of juice.
(ii) It is found that 94% of the cans contain between (445 - c) ml and (445 + c) ml of juice. Find the value of c.
The random variable \(Y\) is normally distributed with mean equal to five times the standard deviation. It is given that \(P(Y > 20) = 0.0732\). Find the mean.
The weights of bags of rice are normally distributed with mean 2.04 kg and standard deviation \(\sigma\) kg. In a random sample of 8000 such bags, 253 weighed over 2.1 kg. Find the value of \(\sigma\).
The random variable X is such that \(X \sim N(82, 126)\).
(ii) Five independent observations of X are taken. Find the probability that at most one of them is greater than 87.
(iii) Find the value of k such that \(P(87 < X < k) = 0.3\).
In a normal distribution with mean 9.3, the probability of a randomly chosen value being greater than 5.6 is 0.85. Find the standard deviation.
The mean of a certain normally distributed variable is four times the standard deviation. The probability that a randomly chosen value is greater than 5 is 0.15.
Find the mean and standard deviation.
Lengths of rolls of parcel tape have a normal distribution with mean 75 m, and 15% of the rolls have lengths less than 73 m.
Alison buys 8 rolls of parcel tape.
The lengths, in cm, of trout in a fish farm are normally distributed. 96% of the lengths are less than 34.1 cm and 70% of the lengths are more than 26.7 cm.
In another fish farm, the lengths of salmon, \(X\) cm, are normally distributed with mean 32.9 cm and standard deviation 2.4 cm.
The times taken to play Beethoven’s Sixth Symphony can be assumed to have a normal distribution with mean 41.1 minutes and standard deviation 3.4 minutes. Three occasions on which this symphony is played are chosen at random.
(i) Find the probability that the symphony takes longer than 42 minutes to play on exactly 1 of these occasions.
The times taken to play Beethoven’s Fifth Symphony can also be assumed to have a normal distribution. The probability that the time is less than 26.5 minutes is 0.1, and the probability that the time is more than 34.6 minutes is 0.05.
(ii) Find the mean and standard deviation of the times to play this symphony.
(iii) Assuming that the times to play the two symphonies are independent of each other, find the probability that, when both symphonies are played, both of the times are less than 34.6 minutes.
Farmer Tan also grows apples. The weights, in grams, of the apples grown this year follow the distribution \(N(182, 20^2)\). 72% of these apples have a weight more than \(w\) grams.
Find the value of \(w\).
The lengths of body feathers of a particular species of bird are modelled by a normal distribution. A researcher measures the lengths of a random sample of 600 body feathers from birds of this species and finds that 63 are less than 6 cm long and 155 are more than 12 cm long.
(i) Find estimates of the mean and standard deviation of the lengths of body feathers of birds of this species.
(ii) In a random sample of 1000 body feathers from birds of this species, how many would the researcher expect to find with lengths more than 1 standard deviation from the mean?
The random variable X is normally distributed and is such that the mean μ is three times the standard deviation σ. It is given that P(X < 25) = 0.648.
The daily minimum temperature, in °C, in another country in winter has a normal distribution with mean \(\mu\) and standard deviation \(2\mu\).
(ii) Find the proportion of winter days on which the minimum temperature is below zero.
(iii) 70 winter days are chosen at random. Find how many of these would be expected to have a minimum temperature which is more than three times the mean.
(iv) The probability of the minimum temperature being above 6 °C on any winter day is 0.0735. Find the value of \(\mu\).
The weights of letters posted by a certain business are normally distributed with mean 20 g. It is found that the weights of 94% of the letters are within 12 g of the mean.
The lengths, in centimetres, of drinking straws produced in a factory have a normal distribution with mean \(\mu\) and variance 0.64. It is given that 10% of the straws are shorter than 20 cm.
(a) The random variable X is normally distributed with mean μ and standard deviation σ. It is given that 3μ = 7σ2 and that P(X > 2μ) = 0.1016. Find μ and σ.
(b) It is given that Y ~ N(33, 21). Find the value of a given that P(33 − a < Y < 33 + a) = 0.5.
The times spent by people visiting a certain dentist are independent and normally distributed with a mean of 8.2 minutes. 79% of people who visit this dentist have visits lasting less than 10 minutes.
The distance the Zotoc car can travel on 20 litres of fuel is normally distributed with mean 320 km and standard deviation 21.6 km. The distance the Ganmor car can travel on 20 litres of fuel is normally distributed with mean 350 km and standard deviation 7.5 km. Both cars are filled with 20 litres of fuel and are driven towards a place 367 km away.
(i) For each car, find the probability that it runs out of fuel before it has travelled 367 km.
(ii) The probability that a Zotoc car can travel at least \(320 + d\) km on 20 litres of fuel is 0.409. Find the value of \(d\).
The heights that children of a particular age can jump have a normal distribution. On average, 8 children out of 10 can jump a height of more than 127 cm, and 1 child out of 3 can jump a height of more than 135 cm.
The random variable X is normally distributed with mean μ and standard deviation σ.
The weights of bags of rice produced by Binders are normally distributed with mean 2.55 kg and standard deviation \(\sigma\) kg. In a random sample of 5000 of these bags, 134 weighed more than 2.6 kg.
Find the value of \(\sigma\).
The random variable X is the length of time in minutes that Jannon takes to mend a bicycle puncture. X has a normal distribution with mean \(\mu\) and variance \(\sigma^2\). It is given that \(P(X > 30.0) = 0.1480\) and \(P(X > 20.9) = 0.6228\). Find \(\mu\) and \(\sigma\).
The weights, X grams, of bars of soap are normally distributed with mean 125 grams and standard deviation 4.2 grams.
Measurements of wind speed on a certain island were taken over a period of one year. A box-and-whisker plot of the data obtained is displayed above, and the values of the quartiles are as shown. It is suggested that wind speed can be modelled approximately by a normal distribution with mean \(\mu\) km h\(^{-1}\) and standard deviation \(\sigma\) km h\(^{-1}\).
(i) Estimate the value of \(\mu\).
(ii) Estimate the value of \(\sigma\).

The times for a certain car journey have a normal distribution with mean 100 minutes and standard deviation 7 minutes. Journey times are classified as follows:
(i) Find the probability that a randomly chosen car journey takes between 85 and 100 minutes.
(ii) Find the least and greatest times for 'standard' journeys.
The volume of milk in millilitres in cartons is normally distributed with mean \(\mu\) and standard deviation 8. Measurements were taken of the volume in 900 of these cartons and it was found that 225 of them contained more than 1002 millilitres.
(i) Calculate the value of \(\mu\).
(ii) Three of these 900 cartons are chosen at random. Calculate the probability that exactly 2 of them contain more than 1002 millilitres.
In another city the daily minimum temperature in °C in January is a random variable with distribution \(N(\mu, 40.0)\). In this city the probability that a randomly chosen day in January has a minimum temperature above 0°C is 0.8888. Find the value of \(\mu\).
In a certain country the time taken for a common infection to clear up is normally distributed with mean \(\mu\) days and standard deviation 2.6 days. 25% of these infections clear up in less than 7 days.
(i) Find the value of \(\mu\).
In another country the standard deviation of the time taken for the infection to clear up is the same as in part (i), but the mean is 6.5 days. The time taken is normally distributed.
(ii) Find the probability that, in a randomly chosen case from this country, the infection takes longer than 6.2 days to clear up.
The random variable X has a normal distribution with mean 4.5. It is given that \(P(X > 5.5) = 0.0465\) (see diagram).

(a) The random variable \(X\) is normally distributed. The mean is twice the standard deviation. It is given that \(P(X > 5.2) = 0.9\). Find the standard deviation.
(b) A normal distribution has mean \(\mu\) and standard deviation \(\sigma\). If 800 observations are taken from this distribution, how many would you expect to be between \(\mu - \sigma\) and \(\mu + \sigma\)?
(i) Give an example of a variable in real life which could be modelled by a normal distribution.
(ii) The random variable \(X\) is normally distributed with mean \(\mu\) and variance 21.0. Given that \(P(X > 10.0) = 0.7389\), find the value of \(\mu\).
(iii) If 300 observations are taken at random from the distribution in part (ii), estimate how many of these would be greater than 22.0.
The probability that a driver passes an advanced driving test is 0.3 on any given attempt. 75 people will take their advanced driving test next week. Use an approximation to find the probability that more than 20 of them will pass next week.
In a large college, 28% of the students do not play any musical instrument, 52% play exactly one musical instrument and the remainder play two or more musical instruments.
A random sample of 90 students from the college is now chosen.
Use an approximation to find the probability that fewer than 40 of these students play exactly one musical instrument.
In the whole of Arka there are a large number of households. A survey showed that 35% of households in Arka have no broadband service.
(ii) 120 households in Arka are chosen at random.
Use an approximation to find the probability that more than 32 of these households have no broadband service.
Every day Richard takes a flight between Astan and Bejin. On any day, the probability that the flight arrives early is 0.15.
60 days are chosen at random.
Use an approximation to find the probability that Richard’s flight arrives early at least 12 times.
In Questa, 60% of the adults travel to work by car.
(b) A random sample of 150 adults from Questa is taken. Use an approximation to find the probability that the number who travel to work by car is less than 81. [5]
(c) Justify the use of your approximation in part (b). [1]
On average at all the schools in this country 30% of the students do not like any sports.
(ii) 90 students from this country are now chosen at random.
Use an approximation to find the probability that fewer than 32 of them do not like any sports.
The 13:00 train from Jahor to Keman runs every day. The probability that the train arrives late in Keman is 0.35.
A random sample of 142 days is taken.
Use an approximation to find the probability that the train arrives late on more than 40 days. [5]
A pair of fair coins is thrown repeatedly until a pair of tails is obtained. On an occasion, a pair of fair coins is thrown 80 times.
Use an approximation to find the probability that a pair of tails is obtained more than 25 times.
On any given day, the probability that Moena messages her friend Pasha is 0.72.
Use an approximation to find the probability that in any period of 100 days Moena messages Pasha on fewer than 64 days.
In Greenton, 70% of the adults own a car. A random sample of 8 adults from Greenton is chosen.
A random sample of 120 adults from Greenton is now chosen.
Use an approximation to find the probability that more than 75 of them own a car.
A competition is taking place between two choirs, the Notes and the Classics. There is a large audience for the competition.
A random sample of 240 people is chosen from the audience. Use a suitable approximation to find the probability that fewer than 50 do not support either of the choirs.
A factory produces a certain type of electrical component. It is known that 15% of the components produced are faulty. A random sample of 200 components is chosen.
Use an approximation to find the probability that more than 40 of these components are faulty.
In Quarendon, 66% of households are satisfied with the speed of their wifi connection.
A random sample of 150 households in Quarendon is chosen. Use a suitable approximation to find the probability that more than 84 are satisfied with the speed of their wifi connection.
On average, 34% of the people who go to a particular theatre are men.
Use an approximation to find the probability that, in a random sample of 600 people who go to the theatre, fewer than 190 are men.
In a certain country the probability that a child owns a bicycle is 0.65.
A random sample of 250 children from this country is chosen. Use a suitable approximation to find the probability that fewer than 179 own a bicycle.
The results of a survey by a large supermarket show that 35% of its customers shop online.
For a random sample of 100 customers, use a suitable approximating distribution to find the probability that more than 39 shop online.
New technology has resulted in a new type of light bulb. It is found that on average one in five of these new light bulbs has a lifetime of more than 2500 hours.
(ii) For a random selection of 300 of these new light bulbs, use a suitable approximate distribution to find the probability that fewer than 70 have a lifetime of more than 2500 hours.
(iii) Justify the use of your approximate distribution in part (ii).
At the Nonland Business College, all students sit an accountancy examination at the end of their first year of study. On average, 80% of the students pass this examination.
(ii) A random sample of 200 students who will take this examination is chosen. Use a suitable approximate distribution to find the probability that more than 166 of them will pass the examination.
(iii) Justify the use of your approximate distribution in part (ii).
The diameters of apples in an orchard have a normal distribution with mean 5.7 cm and standard deviation 0.8 cm. Apples with diameters between 4.1 cm and 5 cm can be used as toffee apples.
In a certain country, 60% of mobile phones sold are made by Company A, 35% are made by Company B and 5% are made by other companies.
Use a suitable approximation to find the probability that, out of a random sample of 130 people who buy a mobile phone, at least 50 choose a mobile phone made by Company B.
In Pelmerdon 22% of families own a dishwasher.
A random sample of 145 families from Pelmerdon is chosen. Use a suitable approximation to find the probability that more than 26 families own a dishwasher.
The results of a survey at a certain large college show that the proportion of students who own a car is \(\frac{1}{4}\).
For a random sample of 160 students at the college, use a suitable approximate distribution to find the probability that fewer than 50 own a car.
A farmer sells eggs. The weights, in grams, of the eggs can be modelled by a normal distribution with mean 80.5 and standard deviation 6.6. Eggs are classified as small, medium or large according to their weight. A small egg weighs less than 76 grams and 40% of the eggs are classified as medium.
(a) Find the percentage of eggs that are classified as small.
(b) Find the least possible weight of an egg classified as large.
150 of the eggs for sale last week were weighed.
(c) Use an approximation to find the probability that more than 68 of these eggs were classified as medium.
Blank CDs are packed in boxes of 30. The probability that a blank CD is faulty is 0.04. A box is rejected if more than 2 of the blank CDs are faulty.
The probability that George goes swimming on any day is \(\frac{1}{3}\). Use an approximation to calculate the probability that in 270 days George goes swimming at least 100 times.
It is found that 10% of the population enjoy watching Historical Drama on television. Use an appropriate approximation to find the probability that, out of 160 people chosen randomly, more than 17 people enjoy watching Historical Drama on television.
Each day Annabel eats rice, potato or pasta. The probability that she eats potato is 0.15.
Find the probability that Annabel eats potato on more than 44 days in a year of 365 days.
On any day at noon, the probabilities that Kersley is asleep or studying are 0.2 and 0.6 respectively. Use an approximation to find the probability that, in any period of 100 days, Kersley is asleep at noon on at most 30 days.
Passengers are travelling to Picton by minibus. The probability that each passenger carries a backpack is 0.65, independently of other passengers. Each minibus has seats for 12 passengers.
Find the probability that, of a random sample of 250 full minibuses travelling to Picton, more than 54 will contain exactly 7 passengers carrying backpacks.
When visiting the dentist the probability of waiting less than 5 minutes is 0.16, and the probability of waiting less than 10 minutes is 0.88.
(i) Find the probability of waiting between 5 and 10 minutes.
A random sample of 180 people who visit the dentist is chosen.
(ii) Use a suitable approximation to find the probability that more than 115 of these people wait between 5 and 10 minutes.
Plastic drinking straws are manufactured to fit into drinks cartons which have a hole in the top. A straw fits into the hole if the diameter of the straw is less than 3 mm. The diameters of the straws have a normal distribution with mean 2.6 mm and standard deviation 0.25 mm.
A factory makes water pistols, 8% of which do not work properly.
(iii) A random sample of 1800 water pistols is taken. Use an approximation to find the probability that there are at least 152 that do not work properly.
(iv) Justify the use of your approximation in part (iii).
The faces of a biased die are numbered 1, 2, 3, 4, 5, and 6. The probabilities of throwing odd numbers are all the same. The probabilities of throwing even numbers are all the same. The probability of throwing an odd number is twice the probability of throwing an even number.
Anil is a candidate in an election. He received 40% of the votes. A random sample of 120 voters is chosen.
Use an approximation to find the probability that, of the 120 voters, between 36 and 54 inclusive voted for Anil.
On a production line making cameras, the probability of a randomly chosen camera being substandard is 0.072. A random sample of 300 cameras is checked. Find the probability that there are fewer than 18 cameras which are substandard.
(ii) Use an approximation to find the probability that, in a random sample of 500 households, more than 337 households have a printer.
(iii) Justify your use of the approximation in part (ii).
In Marumbo, three quarters of the adults own a cell phone.
(ii) A random sample of 160 adults from Marumbo is taken. Use an approximation to find the probability that more than 114 of them own a cell phone.
(iii) Justify the use of your approximation in part (ii).
There is a probability of \(\frac{1}{7}\) that Wenjie goes out with her friends on any particular day. 252 days are chosen at random.
The time Rafa spends on his homework each day in term-time has a normal distribution with mean 1.9 hours and standard deviation \(\sigma\) hours. On 80% of these days he spends more than 1.35 hours on his homework.
On trains in the morning rush hour, each person is either a student with probability 0.36, or an office worker with probability 0.22, or a shop assistant with probability 0.29 or none of these.
300 people on a morning rush hour train are chosen at random. Find the probability that between 31 and 49 inclusive are neither students nor office workers nor shop assistants.
In a certain country, on average one student in five has blue eyes. For a random selection of 120 students, find the probability that fewer than 33 have blue eyes.
Assume that, for a randomly chosen person, their next birthday is equally likely to occur on any day of the week, independently of any other person's birthday. Find the probability that, out of 350 randomly chosen people, at least 47 will have their next birthday on a Monday.
The mean of a certain normally distributed variable is four times the standard deviation. The probability that a randomly chosen value is greater than 5 is 0.15.
200 values of the variable are chosen at random. Find the probability that at least 160 of these values are less than 5.
Ana meets her friends once every day. For each day the probability that she is early is 0.05 and the probability that she is late is 0.75. Otherwise she is on time.
Find the probability that she is on time on fewer than 20 of the next 96 days.
The lengths of Eastern bluebirds are normally distributed with mean 18.4 cm and standard deviation \(\sigma\) cm. It is known that 72% of Eastern bluebirds have length greater than 17.1 cm.
(b) Find the value of \(\sigma\).
A random sample of 120 Eastern bluebirds is chosen.
(c) Use an approximation to find the probability that fewer than 80 of these 120 bluebirds have length greater than 17.1 cm.
Human blood groups are identified by two parts. The first part is A, B, AB or O and the second part (the Rhesus part) is + or −. In the UK, 35% of the population are group A+, 8% are B+, 3% are AB+, 37% are O+, 7% are A−, 2% are B−, 1% are AB− and 7% are O−.
A random sample of 150 people in the UK is taken. Find the probability that more than 60 people are group A+.
A triangular spinner has one red side, one blue side and one green side. The red side is weighted so that the spinner is four times more likely to land on the red side than on the blue side. The green side is weighted so the spinner is three times more likely to land on the green side than on the blue side.
The spinner is spun 136 times. Use a suitable approximation to find the probability that it lands on the blue side fewer than 20 times.
When a butternut squash seed is sown the probability that it will germinate is 0.86, independently of any other seeds. A market gardener sows 250 of these seeds. Use a suitable approximation to find the probability that more than 210 germinate.
The random variable X is normally distributed with mean \(\mu\) and standard deviation \(\frac{1}{4} \mu\). It is given that \(\text{P}(X > 20) = 0.04\).
In Scotland, in November, on average 80% of days are cloudy. Assume that the weather on any one day is independent of the weather on other days.
(i) Use a normal approximation to find the probability of there being fewer than 25 cloudy days in Scotland in November (30 days).
(ii) Give a reason why the use of a normal approximation is justified.
The times spent by people visiting a certain dentist are independent and normally distributed with a mean of 8.2 minutes. 79% of people who visit this dentist have visits lasting less than 10 minutes.
Find the probability that, of 35 randomly chosen people, fewer than 16 have visits lasting less than 8.2 minutes.
On any day, there is a probability of 0.3 that Julie’s train is late.
90 days are chosen at random. Find the probability that Julie’s train is late on more than 35 days or fewer than 27 days.
On average, 2 apples out of 15 are classified as being underweight. Find the probability that in a random sample of 200 apples, the number of apples which are underweight is more than 21 and less than 35.
In the holidays Martin spends 25% of the day playing computer games. Martin’s friend phones him once a day at a randomly chosen time.
(ii) Another holiday period lasts for 12 days. State with a reason whether it is appropriate to use a normal approximation to find the probability that there are fewer than 7 days on which Martin is playing computer games when his friend phones.
(iii) Find the probability that there are at least 13 days of a 40-day holiday period on which Martin is playing computer games when his friend phones.
A box contains 4 pears and 7 oranges. There are 121 similar boxes in a warehouse. One fruit is taken at random from each box.
Using a suitable approximation, find the probability that fewer than 39 are pears.
Eli has four fair 4-sided dice with sides labelled 1, 2, 3, 4. He throws all four dice at the same time. The random variable X denotes the number of 2s obtained.
(b) Complete the following probability distribution table for X.
| x | 0 | 1 | 2 | 3 | 4 |
|---|---|---|---|---|---|
| P(X = x) | \(\frac{81}{256}\) | \(\frac{3}{64}\) | \(\frac{1}{256}\) |
Eli throws the four dice at the same time on 96 occasions.
(d) Use an approximation to find the probability that he obtains at least two 2s on fewer than 20 of these occasions.
On a certain road 20% of the vehicles are trucks, 16% are buses and the remainder are cars.
A random sample of 125 vehicles is now taken. Using a suitable approximation, find the probability that more than 73 are cars.
On a production line making toys, the probability of any toy being faulty is 0.08. A random sample of 200 toys is checked. Use a suitable approximation to find the probability that there are at least 15 faulty toys.
A die is biased so that the probability of throwing a 5 is 0.75 and the probabilities of throwing a 1, 2, 3, 4 or 6 are all equal.
On any occasion when a particular gymnast performs a certain routine, the probability that she will perform it correctly is 0.65, independently of all other occasions.
On one day she performs the routine 50 times. Use a suitable approximation to estimate the probability that she will perform the routine correctly on fewer than 29 occasions.
The probability that New Year's Day is on a Saturday in a randomly chosen year is \(\frac{1}{7}\).
56 years are chosen randomly. Use a suitable approximation to find the probability that more than 7 of these years have New Year's Day on a Saturday.
A manufacturer makes two sizes of elastic bands: large and small. 40% of the bands produced are large bands and 60% are small bands. An office pack contains 150 elastic bands.
Using a suitable approximation, calculate the probability that the number of small bands in the office pack is between 88 and 97 inclusive.
A survey of adults in a certain large town found that 76% of people wore a watch on their left wrist, 15% wore a watch on their right wrist and 9% did not wear a watch.
A random sample of 200 adults was taken. Using a suitable approximation, find the probability that more than 155 wore a watch on their left wrist.
In tests on a new type of light bulb it was found that the time they lasted followed a normal distribution with standard deviation 40.6 hours. 10% lasted longer than 5130 hours.
It is known that, on average, 2 people in 5 in a certain country are overweight. A random sample of 400 people is chosen. Using a suitable approximation, find the probability that fewer than 165 people in the sample are overweight.
In a certain village 28% of all cars are made by Ford.
A random sample of 50 cars in the village is taken. Estimate, using a normal approximation, the probability that more than 18 cars are made by Ford.
In a large college, 32% of the students have blue eyes. A random sample of 80 students is chosen.
Use an approximation to find the probability that fewer than 20 of these students have blue eyes. [5]
A shop sells old video tapes, of which 1 in 5 on average are known to be damaged.
A random sample of 1600 tapes is taken. Use a suitable approximation to find the probability that there are at least 290 damaged tapes.
Kamal has 30 hens. The probability that any hen lays an egg on any day is 0.7. Hens do not lay more than one egg per day, and the days on which a hen lays an egg are independent.
(i) A manufacturer of biscuits produces 3 times as many cream ones as chocolate ones. Biscuits are chosen randomly and packed into boxes of 10. Find the probability that a box contains equal numbers of cream biscuits and chocolate biscuits.
(ii) A random sample of 8 boxes is taken. Find the probability that exactly 1 of them contains equal numbers of cream biscuits and chocolate biscuits.
(iii) A large box of randomly chosen biscuits contains 120 biscuits. Using a suitable approximation, find the probability that it contains fewer than 35 chocolate biscuits.
Another garden shop sells polyanthus plants in boxes of 100. The shop’s advertisement states that the probability of any polyanthus plant producing a pink flower is 0.3. Use a suitable approximation to find the probability that a box contains fewer than 35 plants which produce pink flowers.
At a company’s call centre, 90% of callers are connected immediately to a representative. A random sample of 80 callers is chosen.
(b) Use an approximation to find the probability that more than 69 of these callers are connected immediately. [5]
(c) Justify the use of your approximation in part (b). [1]
The residents of Persham were surveyed about the reliability of their internet service. 12% rated the service as ‘poor’, 36% rated it as ‘satisfactory’ and 52% rated it as ‘good’.
A random sample of 125 residents of Persham is now chosen.
Use an approximation to find the probability that more than 72 of these residents rate their internet service as good.
A particle P travels in the positive direction along a straight line with constant acceleration. P travels a distance of 52 m during the 2nd second of its motion and a distance of 64 m during the 4th second of its motion.
(a) Find the initial speed and the acceleration of P.
(b) Find the distance travelled by P during the first 10 seconds of its motion.
A bus moves from rest with constant acceleration for 12 s. It then moves with constant speed for 30 s before decelerating uniformly to rest in a further 6 s. The total distance travelled is 585 m.
(a) Find the constant speed of the bus.
(b) Find the magnitude of the deceleration.
A cyclist travels along a straight road with constant acceleration. He passes through points A, B and C. The cyclist takes 2 seconds to travel along each of the sections AB and BC and passes through B with speed 4.5 m s-1. The distance AB is \(\frac{4}{5}\) of the distance BC.
(a) Find the acceleration of the cyclist.
(b) Find AC.
A car travels along a straight road with constant acceleration. It passes through points P, Q, R and S. The times taken for the car to travel from P to Q, Q to R and R to S are each equal to 10 s. The distance QR is 1.5 times the distance PQ. At point Q the speed of the car is 20 m s-1.
(i) Show that the acceleration of the car is 0.8 m s-2.
(ii) Find the distance QS and hence find the average speed of the car between Q and S.
A car moves in a straight line with initial speed \(u \text{ m s}^{-1}\) and constant acceleration \(a \text{ m s}^{-2}\). The car takes 5 s to travel the first 80 m and it takes 8 s to travel the first 160 m. Find \(a\) and \(u\).
A particle P moves in a straight line ABCD with constant acceleration. The distances AB and BC are 100 m and 148 m respectively. The particle takes 4 s to travel from A to B and also takes 4 s to travel from B to C.
A car travels along a straight road with constant acceleration. It passes through points A, B, and C. The car passes point A with velocity 14 m s-1. The two sections AB and BC are of equal length. The times taken to travel along AB and BC are 5 s and 3 s respectively.
(i) Write down an expression for the distance AB in terms of the acceleration of the car. Write down a similar expression for the distance AC. Hence show that the acceleration of the car is 4 m s-2.
(ii) Find the speed of the car as it passes point C.
A particle P moves in a straight line ABCD with constant deceleration. The velocities of P at A, B, and C are 20 m/s, 12 m/s, and 6 m/s respectively.
A car travels in a straight line with constant acceleration \(a \text{ m s}^{-2}\). It passes the points \(A, B\) and \(C\), in this order, with speeds \(5 \text{ m s}^{-1}\), \(7 \text{ m s}^{-1}\) and \(8 \text{ m s}^{-1}\) respectively. The distances \(AB\) and \(BC\) are \(d_1 \text{ m}\) and \(d_2 \text{ m}\) respectively.
The diagram shows the velocity-time graph for the motion of a bus. The bus starts from rest and accelerates uniformly for 8 seconds until it reaches a speed of 12.6 m/s. The bus maintains this speed for 40 seconds. It then decelerates uniformly in two stages. Between 48 and 62 seconds the bus decelerates at \(a \text{ m/s}^2\) and between 62 and 70 seconds it decelerates at \(2a \text{ m/s}^2\) until coming to rest.
(a) Find the distance covered by the bus in the first 8 seconds.
(b) Find the value of \(a\).
(c) Find the average speed of the bus for the whole journey.

The diagram shows the velocity-time graphs for two particles, P and Q, which are moving in the same straight line. The graph for P consists of four straight line segments. The graph for Q consists of three straight line segments. Both particles start from the same initial position O on the line. Q starts 2 seconds after P and both particles come to rest at time t = T. The greatest velocity of Q is V m s-1.

The diagram shows the velocity-time graph of a particle which moves in a straight line. The graph consists of 5 straight line segments. The particle starts from rest at a point A at time \(t = 0\), and initially travels towards point B on the line.

A sprinter runs a race of 400 m. His total time for running the race is 52 s. The diagram shows the velocity-time graph for the motion of the sprinter. He starts from rest and accelerates uniformly to a speed of 8.2 m/s in 6 s. The sprinter maintains a speed of 8.2 m/s for 36 s, and he then decelerates uniformly to a speed of V m/s at the end of the race.
(i) Calculate the distance covered by the sprinter in the first 42 s of the race.
\((ii) Show that V = 7.84.\)
(iii) Calculate the deceleration of the sprinter in the last 10 s of the race.

A woman walks in a straight line. The woman’s velocity t seconds after passing through a fixed point A on the line is v m s-1. The graph of v against t consists of 4 straight line segments (see diagram). The woman is at the point B when t = 60. Find

The diagram shows the velocity-time graph for a particle P which travels on a straight line AB, where v ms-1 is the velocity of P at time t s. The graph consists of five straight line segments. The particle starts from rest when t = 0 at a point X on the line between A and B and moves towards A. The particle comes to rest at A when t = 2.5.
(i) Given that the distance XA is 4 m, find the greatest speed reached by P during this stage of the motion.
In the second stage, P starts from rest at A when t = 2.5 and moves towards B. The distance AB is 48 m. The particle takes 12 s to travel from A to B and comes to rest at B. For the first 2 s of this stage P accelerates at 3 m s-2, reaching a velocity of V ms-1. Find
(ii) the value of V,
(iii) the value of t at which P starts to decelerate during this stage,
(iv) the deceleration of P immediately before it reaches B.

The diagram shows the velocity-time graph for the motion of a machine’s cutting tool. The graph consists of five straight line segments. The tool moves forward for 8 s while cutting and then takes 3 s to return to its starting position. Find

The diagram shows the velocity-time graph for a lift moving between floors in a building. The graph consists of straight line segments. In the first stage the lift travels downwards from the ground floor for 5 s, coming to rest at the basement after travelling 10 m.
(i) Find the greatest speed reached during this stage.
The second stage consists of a 10 s wait at the basement. In the third stage, the lift travels upwards until it comes to rest at a floor 34.5 m above the basement, arriving 24.5 s after the start of the first stage. The lift accelerates at 2 m s-2 for the first 3 s of the third stage, reaching a speed of V m s-1. Find
(ii) the value of V,
(iii) the time during the third stage for which the lift is moving at constant speed,
(iv) the deceleration of the lift in the final part of the third stage.

The diagram shows the velocity-time graphs for the motion of two cyclists P and Q, who travel in the same direction along a straight path. Both cyclists start from rest at the same point O and both accelerate at 2 m s-2 up to a speed of 10 m s-1. Both then continue at a constant speed of 10 m s-1. Q starts his journey T seconds after P.

A man runs in a straight line. He passes through a fixed point A with constant velocity 7 m s-1 at time t = 0. At time t s his velocity is v m s-1. The diagram shows the graph of v against t for the period 0 ≤ t ≤ 40.
(i) Show that the man runs more than 154 m in the first 24 s.
\((ii) Given that the man runs 20 m in the interval 20 ≤ t ≤ 24, find how far he is from A when t = 40.\)

The velocity of a particle at time t s after leaving a fixed point O is v m s-1. The diagram shows a velocity-time graph which models the motion of the particle. The graph consists of 5 straight line segments. The particle accelerates to a speed of 0.9 m s-1 in a period of 3 s, then travels at constant speed for 6 s, and then comes instantaneously to rest 1 s later. The particle then moves back and returns to rest at O at time T s.

The displacement of a particle moving in a straight line is s metres at time t seconds after leaving a fixed point O. The particle starts from rest and passes through points P, Q and R, at times t = 5, t = 10 and t = 15 respectively, and returns to O at time t = 20. The distances OP, OQ and OR are 50 m, 150 m and 200 m respectively.
The diagram shows a displacement-time graph which models the motion of the particle from t = 0 to t = 20. The graph consists of two curved segments AB and CD and two straight line segments BC and DE.

The diagram shows a velocity-time graph which models the motion of a car. The graph consists of six straight line segments. The car accelerates from rest to a speed of 20 m s-1 over a period of 5 s, and then travels at this speed for a further 20 s. The car then decelerates to a speed of 6 m s-1 over a period of 5 s. This speed is maintained for a further (T - 30) s. The car then accelerates again to a speed of 20 m s-1 over a period of (50 - T) s, before decelerating to rest over a period of 10 s.

The diagram shows a velocity-time graph which models the motion of a car. The graph consists of four straight line segments. The car accelerates at a constant rate of 2 m s-2 from rest to a speed of 20 m s-1 over a period of T s. It then decelerates at a constant rate for 5 seconds before travelling at a constant speed of V m s-1 for 27.5 s. The car then decelerates to rest at a constant rate over a period of 5 s.
(a) Find T.
(b) Given that the distance travelled up to the point at which the car begins to move with constant speed is one third of the total distance travelled, find V.

The diagram shows a velocity-time graph which models the motion of a tractor. The graph consists of four straight line segments. The tractor passes a point O at time \(t = 0\) with speed \(U \text{ m s}^{-1}\). The tractor accelerates to a speed of \(V \text{ m s}^{-1}\) over a period of 5 s, and then travels at this speed for a further 25 s. The tractor then accelerates to a speed of 12 \(\text{ m s}^{-1}\) over a period of 5 s. The tractor then decelerates to rest over a period of 15 s.

The velocity of a particle moving in a straight line is \(v \text{ m s}^{-1}\) at time \(t\) seconds after leaving a fixed point \(O\). The diagram shows a velocity-time graph which models the motion of the particle from \(t = 0\) to \(t = 16\). The graph consists of five straight line segments. The acceleration of the particle from \(t = 0\) to \(t = 3\) is \(3 \text{ m s}^{-2}\). The velocity of the particle at \(t = 5\) is \(7 \text{ m s}^{-1}\) and it comes to instantaneous rest at \(t = 8\). The particle then comes to rest again at \(t = 16\). The minimum velocity of the particle is \(V \text{ m s}^{-1}\).
(i) Find the distance travelled by the particle in the first 8 s of its motion.
(ii) Given that when the particle comes to rest at \(t = 16\) its displacement from \(O\) is 32 m, find the value of \(V\).

The velocity of a particle moving in a straight line is \(v\) m s-1 at time \(t\) seconds. The diagram shows a velocity-time graph which models the motion of the particle from \(t = 0\) to \(t = T\). The graph consists of four straight line segments. The particle reaches its maximum velocity \(V\) m s-1 at \(t = 10\).
(i) Find the acceleration of the particle during the first 2 seconds.
(ii) Find the value of \(V\).
At \(t = 6\), the particle is instantaneously at rest at the point \(A\). At \(t = T\), the particle comes to rest at the point \(B\). At \(t = 0\) the particle starts from rest at a point one third of the way from \(A\) to \(B\).
(iii) Find the distance \(AB\) and hence find the value of \(T\).

The diagram shows the velocity-time graph for a train which travels from rest at one station to rest at the next station. The graph consists of three straight line segments. The distance between the two stations is 9040 m.

The diagram shows the displacement-time graph for a car’s journey. The graph consists of two curved parts AB and CD, and a straight line BC. The line BC is a tangent to the curve AB at B and a tangent to the curve CD at C. The gradient of the curves at t = 0 and t = 600 is zero, and the acceleration of the car is constant for 0 < t < 80 and for 560 < t < 600. The displacement of the car is 400 m when t = 80.

A particle A, moving along a straight horizontal track with constant speed 8 m/s, passes a fixed point O. Four seconds later, another particle B passes O, moving along a parallel track in the same direction as A. Particle B has speed 20 m/s when it passes O and has a constant deceleration of 2 m/s². B comes to rest when it returns to O.
(a) Find expressions, in terms of t, for the displacement from O of each particle t seconds after B passes O.
(b) Find the values of t when the particles are the same distance from O.
(c) On the given axes, sketch the displacement-time graphs for both particles, for values of t from 0 to 20.
Diagram: A graph with s (m) on the vertical axis and t (s) on the horizontal axis, ranging from 0 to 20.

A lift moves upwards from rest and accelerates at 0.9 m/s2 for 3 s. The lift then travels for 6 s at constant speed and finally slows down, with a constant deceleration, stopping in a further 4 s.

A car travels in a straight line from A to B, a distance of 12 km, taking 552 seconds. The car starts from rest at A and accelerates for T1 s at 0.3 m s-2, reaching a speed of V m s-1. The car then continues to move at V m s-1 for T2 s. It then decelerates for T3 s at 1 m s-2, coming to rest at B.
(i) Sketch the velocity-time graph for the motion and express T1 and T3 in terms of V.
(ii) Express the total distance travelled in terms of V and show that 13V2 - 3312V + 72000 = 0. Hence find the value of V.

A particle P moves in a straight line. It starts from rest at a point O and moves towards a point A on the line. During the first 8 seconds P's speed increases to 8 m s-1 with constant acceleration. During the next 12 seconds P's speed decreases to 2 m s-1 with constant deceleration. P then moves with constant acceleration for 6 seconds, reaching A with speed 6.5 m s-1.
The displacement of P from O, at time t seconds after P leaves O, is s metres.
\(s = 0.375t^2 - 13t + 202.\)

A train starts from rest at a station A and travels in a straight line to station B, where it comes to rest. The train moves with constant acceleration 0.025 m s-2 for the first 600 s, with constant speed for the next 2600 s, and finally with constant deceleration 0.0375 m s-2.
A particle starts from rest at a point X and moves in a straight line until, 60 seconds later, it reaches a point Y. At time t s after leaving X, the acceleration of the particle is
0.75 m s-2 for 0 < t < 4,
0 m s-2 for 4 < t < 54,
-0.5 m s-2 for 54 < t < 60.
\((i) Find the velocity of the particle when t = 4 and when t = 60, and sketch the velocity-time graph.\)
(ii) Find the distance XY.
A ball moves on the horizontal surface of a billiards table with deceleration of constant magnitude \(d \, \text{m/s}^2\). The ball starts at \(A\) with speed \(1.4 \, \text{m/s}\) and reaches the edge of the table at \(B\), \(1.2\) s later, with speed \(1.1 \, \text{m/s}\).
\(AB\) is at right angles to the edge of the table containing \(B\). The table has a low wall along each of its edges and the ball rebounds from the wall at \(B\) and moves directly towards \(A\). The ball comes to rest at \(C\) where the distance \(BC\) is \(2\) m.
A train travels from A to B, a distance of 20,000 m, taking 1,000 s. The journey has three stages. In the first stage the train starts from rest at A and accelerates uniformly until its speed is V m/s. In the second stage the train travels at constant speed V m/s for 600 s. During the third stage of the journey the train decelerates uniformly, coming to rest at B.

A car starts from rest and moves in a straight line with constant acceleration for a distance of 200 m, reaching a speed of 25 m s-1. The car then travels at this speed for 400 m, before decelerating uniformly to rest over a period of 5 s.
(a) Find the time for which the car is accelerating.
(b) Sketch the velocity–time graph for the motion of the car, showing the key points.
(c) Find the average speed of the car during its motion.
A car starts from rest and moves in a straight line with constant acceleration \(a \text{ m s}^{-2}\) for a distance of 50 m. The car then travels with constant velocity for 500 m for a period of 25 s, before decelerating to rest. The magnitude of this deceleration is \(2a \text{ m s}^{-2}\).
(a) Sketch the velocity-time graph for the motion of the car.
(b) Find the value of \(a\).
(c) Find the total time for which the car is in motion.

A tram starts from rest and moves with uniform acceleration for 20 s. The tram then travels at a constant speed, \(V \text{ m s}^{-1}\), for 170 s before being brought to rest with a uniform deceleration of magnitude twice that of the acceleration. The total distance travelled by the tram is 2.775 km.
(a) Sketch a velocity-time graph for the motion, stating the total time for which the tram is moving. [2]
(b) Find \(V\). [2]
(c) Find the magnitude of the acceleration. [2]
A bus moves in a straight line between two bus stops. The bus starts from rest and accelerates at 2.1 \(\text{m/s}^2\) for 5 s. The bus then travels for 24 s at constant speed and finally slows down, with a constant deceleration, stopping in a further 6 s. Sketch a velocity-time graph for the motion and hence find the distance between the two bus stops.
A runner sets off from a point P at time t = 0, where t is in seconds. The runner starts from rest and accelerates at 1.2 m/s2 for 5 s. For the next 12 s the runner moves at constant speed before decelerating uniformly over a period of 3 s, coming to rest at Q. A cyclist sets off from P at time t = 10 and accelerates uniformly for 10 s, before immediately decelerating uniformly to rest at Q at time t = 30.

A sprinter runs a race of 200 m. His total time for running the race is 20 s. He starts from rest and accelerates uniformly for 6 s, reaching a speed of 12 m/s. He maintains this speed for the next 10 s, before decelerating uniformly to cross the finishing line with speed \(V\) m/s.
(i) Find the distance travelled by the sprinter in the first 16 s of the race. Hence sketch a displacement-time graph for the 20 s of the sprinter’s race.
(ii) Find the value of \(V\).

A train travels between two stations, A and B. The train starts from rest at A and accelerates at a constant rate for T seconds until it reaches a speed of 25 m s-1. It then travels at this constant speed before decelerating at a constant rate, coming to rest at B. The magnitude of the train’s deceleration is twice the magnitude of its acceleration. The total time taken for the journey is 180 s.
(i) Sketch the velocity-time graph for the train’s journey from A to B.
(ii) Find an expression, in terms of T, for the length of time for which the train is travelling with constant speed.
(iii) The distance from A to B is 3300 m. Find how far the train travels while it is decelerating.

A car starts from rest and moves in a straight line from point A with constant acceleration 3 m/s2 for 10 s. The car then travels at constant speed for 30 s before decelerating uniformly, coming to rest at point B. The distance AB is 1.5 km.
The diagram shows the velocity-time graphs for the motion of two particles P and Q, which travel in the same direction along a straight line. P and Q both start at the same point X on the line, but Q starts to move T s later than P. Each particle moves with speed 2.5 m s-1 for the first 20 s of its motion. The speed of each particle changes instantaneously to 4 m s-1 after it has been moving for 20 s and the particle continues at this speed.

A boy runs from a point A to a point C. He pauses at C and then walks back towards A until reaching the point B, where he stops. The diagram shows the graph of v against t, where v m s-1 is the boy’s velocity at time t seconds after leaving A. The boy runs and walks in the same straight line throughout.
(i) Find the distances AC and AB.
(ii) Sketch the graph of x against t, where x metres is the boy’s displacement from A. Show clearly the values of t and x when the boy arrives at C, when he leaves C, and when he arrives at B.

The function h is defined by \(h(x) = 4x^2 - 12x + 13\) for \(x < 0\).
Find an expression for \(h^{-1}(x)\).
The function f is defined by \(f : x \mapsto 7 - 2x^2 - 12x\) for \(x \in \mathbb{R}\).
The function \(g\) is defined by \(g : x \mapsto 7 - 2x^2 - 12x\) for \(x \geq k\).
The function g is defined by \(g : x \mapsto 6x - x^2 - 5\) for \(x \geq k\), where \(k\) is a constant.
(iii) Express \(6x - x^2 - 5\) in the form \(a - (x - b)^2\), where \(a\) and \(b\) are constants.
(iv) State the smallest value of \(k\) for which \(g\) has an inverse.
(v) For this value of \(k\), find an expression for \(g^{-1}(x)\).
The function g is defined by \(g : x \mapsto 2x^2 - 6x + 5\) for \(0 \leq x \leq 4\).
The function h is defined by \(h : x \mapsto 2x^2 - 6x + 5\) for \(k \leq x \leq 4\), where \(k\) is a constant.
Function h is defined by \(h : x \mapsto x^2 + 4x\) for \(x \geq k\), and it is given that h has an inverse.
(v) State the smallest possible value of \(k\).
(vi) Find an expression for \(h^{-1}(x)\).
The function \(f : x \mapsto 2x^2 - 8x + 14\) is defined for \(x \in \mathbb{R}\).
(ii) Express \(f(x)\) in the form \(a(x+b)^2 + c\), where \(a, b\) and \(c\) are constants.
(iii) Find the range of \(f\).
The function \(g : x \mapsto 2x^2 - 8x + 14\) is defined for \(x \geq A\).
(iv) Find the smallest value of \(A\) for which \(g\) has an inverse.
(v) For this value of \(A\), find an expression for \(g^{-1}(x)\) in terms of \(x\).
The function \(f\) is defined by \(f : x \mapsto 2x^2 - 12x + 7\) for \(x \in \mathbb{R}\).
(i) Express \(f(x)\) in the form \(a(x-b)^2 - c\).
(ii) State the range of \(f\).
(iii) Find the set of values of \(x\) for which \(f(x) < 21\).
The function f is defined by \(f : x \mapsto 2x^2 - 12x + 13\) for \(0 \leq x \leq A\), where \(A\) is a constant.
The function \(g\) is defined by \(g : x \mapsto 2x^2 - 12x + 13\) for \(x \geq 4\).
The function h is defined by
\(h : x \mapsto 6x - x^2\) for \(x \geq 3\).
(iii) Express \(6x - x^2\) in the form \(a - (x-b)^2\), where \(a\) and \(b\) are positive constants.
(iv) Express \(h^{-1}(x)\) in terms of \(x\).
The function f is defined by \(f : x \mapsto x^2 - 3x\) for \(x \in \mathbb{R}\).
(ii) Express \(f(x)\) in the form \((x-a)^2 - b\), stating the values of \(a\) and \(b\).
(iii) Write down the range of \(f\).
(iv) State, with a reason, whether \(f\) has an inverse.
The function \(g\) is defined by \(g : x \mapsto x - 3\sqrt{x}\) for \(x \geq 0\).
(v) Solve the equation \(g(x) = 10\).
Let \(f : x \mapsto x^2 - 2x\), where \(x \in \mathbb{R}\).
(i) Find the set of values of \(x\) for which \(f(x) > 15\).
(ii) Find the range of \(f\) and state, with a reason, whether \(f\) has an inverse.
The function \(f\) is defined by \(f(x) = -3x^2 + 2\) for \(x \leq -1\).
(a) State the range of \(f\).
(b) Find an expression for \(f^{-1}(x)\).
(i) Express \(2x^2 + 8x - 10\) in the form \(a(x + b)^2 + c\).
(ii) For the curve \(y = 2x^2 + 8x - 10\), state the least value of \(y\) and the corresponding value of \(x\).
(iii) Find the set of values of \(x\) for which \(y \geq 14\).
Given that \(f : x \mapsto 2x^2 + 8x - 10\) for the domain \(x \geq k\),
(iv) find the least value of \(k\) for which \(f\) is one-one,
(v) express \(f^{-1}(x)\) in terms of \(x\) in this case.
The function f is defined by \(f(x) = -2x^2 - 8x - 13\) for \(x < -3\).
(a) Express \(f(x)\) in the form \(-2(x + a)^2 + b\), where \(a\) and \(b\) are integers.
(b) Find the range of \(f\).
(c) Find an expression for \(f^{-1}(x)\).
The function \(f\) is defined by \(f(x) = 2 - \frac{3}{4x - p}\) for \(x > \frac{p}{4}\), where \(p\) is a constant.
(b) Express \(f^{-1}(x)\) in the form \(\frac{p}{a} - \frac{b}{cx - d}\), where \(a, b, c\) and \(d\) are integers.
(c) Hence state the value of \(p\) for which \(f^{-1}(x) \equiv f(x)\).
The function \(f\) is defined by \(f(x) = 2x^2 - 16x + 23\) for \(x < 3\).
(a) Express \(f(x)\) in the form \(2(x + a)^2 + b\).
(b) Find the range of \(f\).
(c) Find an expression for \(f^{-1}(x)\).
The function f is defined as follows:
\(f(x) = \frac{x^2 - 4}{x^2 + 4}\) for \(x > 2\).
(a) Find an expression for \(f^{-1}(x)\).
(b) Show that \(1 - \frac{8}{x^2 + 4}\) can be expressed as \(\frac{x^2 - 4}{x^2 + 4}\) and hence state the range of \(f\).
(c) Explain why the composite function \(ff\) cannot be formed.
(a) Express \(-3x^2 + 12x + 2\) in the form \(-3(x-a)^2 + b\), where \(a\) and \(b\) are constants.
The one-one function \(f\) is defined by \(f : x \mapsto -3x^2 + 12x + 2\) for \(x \leq k\).
(b) State the largest possible value of the constant \(k\).
It is now given that \(k = -1\).
(c) State the range of \(f\).
(d) Find an expression for \(f^{-1}(x)\).
The function f is defined by \(f(x) = \frac{2x}{3x-1}\) for \(x > \frac{1}{3}\).
(a) Find an expression for \(f^{-1}(x)\).
(b) Show that \(\frac{2}{3} + \frac{2}{3(3x-1)}\) can be expressed as \(\frac{2x}{3x-1}\).
(c) State the range of \(f\).
The function f is defined by \(f : x \mapsto 2x^2 - 12x + 7\) for \(x \in \mathbb{R}\).
The function \(g\) is defined by \(g : x \mapsto 2x^2 - 12x + 7\) for \(x \leq k\).
The function \(f\) is defined by \(f(x) = 1 + \frac{3}{x-2}\) for \(x > 2\).
(a) State the range of \(f\).
(b) Obtain an expression for \(f^{-1}(x)\) and state the domain of \(f^{-1}\).
A function \(f\) is such that \(f(x) = \sqrt{\frac{x+3}{2}} + 1\), for \(x \geq -3\). Find
(i) \(f^{-1}(x)\) in the form \(ax^2 + bx + c\), where \(a, b\) and \(c\) are constants,
(ii) the domain of \(f^{-1}\).
The function f is defined by \(f(x) = 4x^2 - 24x + 11\), for \(x \in \mathbb{R}\).
(i) Express \(f(x)\) in the form \(a(x-b)^2 + c\) and hence state the coordinates of the vertex of the graph of \(y = f(x)\). [4]
The function g is defined by \(g(x) = 4x^2 - 24x + 11\), for \(x \leq 1\).
(ii) State the range of \(g\). [2]
(iii) Find an expression for \(g^{-1}(x)\) and state the domain of \(g^{-1}\). [4]
The function \(f\) is such that \(f(x) = \frac{3}{2x+5}\) for \(x \in \mathbb{R}, x \neq -2.5\).
Obtain an expression for \(f^{-1}(x)\).
The function \(f\) is such that \(f(x) = (3x + 2)^3 - 5\) for \(x \geq 0\).
Obtain an expression for \(f^{-1}(x)\) and state the domain of \(f^{-1}\).
The function f is defined by \(f : x \mapsto 2x^2 - 8x + 11\) for \(x \in \mathbb{R}\).
(i) Express \(f(x)\) in the form \(a(x + b)^2 + c\), where \(a, b\) and \(c\) are constants.
(ii) State the range of \(f\).
(iii) Explain why \(f\) does not have an inverse.
The function \(g\) is defined by \(g : x \mapsto 2x^2 - 8x + 11\) for \(x \leq A\), where \(A\) is a constant.
(iv) State the largest value of \(A\) for which \(g\) has an inverse.
(v) When \(A\) has this value, obtain an expression, in terms of \(x\), for \(g^{-1}(x)\) and state the range of \(g^{-1}\).
A function f is defined by f : x ↦ (2x − 3)3 − 8, for 2 ≤ x ≤ 4.
Find an expression, in terms of x, for f−1(x) and find the domain of f−1.
The function \(h : x \mapsto x^2 - 6x\) is defined for the domain \(x \geq 3\).
(iii) Express \(x^2 - 6x\) in the form \((x-p)^2 - q\), where \(p\) and \(q\) are constants.
(iv) Find an expression for \(h^{-1}(x)\) and state the domain of \(h^{-1}\).
The equation of a curve is \(y = 8x - x^2\).
(i) Express \(8x - x^2\) in the form \(a - (x + b)^2\), stating the numerical values of \(a\) and \(b\).
(ii) Hence, or otherwise, find the coordinates of the stationary point of the curve.
(iii) Find the set of values of \(x\) for which \(y \geq -20\).
The function \(g\) is defined by \(g : x \mapsto 8x - x^2\), for \(x \geq 4\).
(iv) State the domain and range of \(g^{-1}\).
(v) Find an expression, in terms of \(x\), for \(g^{-1}(x)\).
Given the function \(f(x) = (x + a)^2 - a\) for \(x \leq -a\), where \(a\) is a positive constant:
(a) Find an expression for \(f^{-1}(x)\).
(b) (i) State the domain of the function \(f^{-1}\).
(ii) State the range of the function \(f^{-1}\).
The function \(f\) is defined by \(f(x) = 2 - \frac{5}{x+2}\) for \(x > -2\).
(a) State the range of \(f\).
(b) Obtain an expression for \(f^{-1}(x)\) and state the domain of \(f^{-1}\).
The function \(g\) is defined by \(g(x) = x^2 - 6x + 7\) for \(x > 4\). By first completing the square, find an expression for \(g^{-1}(x)\) and state the domain of \(g^{-1}\).
(i) Express \(9x^2 - 6x + 6\) in the form \((ax + b)^2 + c\), where \(a, b\) and \(c\) are constants.
The function \(f\) is defined by \(f(x) = 9x^2 - 6x + 6\) for \(x \geq p\), where \(p\) is a constant.
(ii) State the smallest value of \(p\) for which \(f\) is a one-one function.
(iii) For this value of \(p\), obtain an expression for \(f^{-1}(x)\), and state the domain of \(f^{-1}\).
(iv) State the set of values of \(q\) for which the equation \(f(x) = q\) has no solution.
(i) Express \(-x^2 + 6x - 5\) in the form \(a(x + b)^2 + c\), where \(a, b\) and \(c\) are constants.
The function \(f : x \mapsto -x^2 + 6x - 5\) is defined for \(x \geq m\), where \(m\) is a constant.
(ii) State the smallest value of \(m\) for which \(f\) is one-one.
(iii) For the case where \(m = 5\), find an expression for \(f^{-1}(x)\) and state the domain of \(f^{-1}\).
A function \(f\) is such that \(f(x) = \frac{15}{2x+3}\) for \(0 \leq x \leq 6\).
Find an expression for \(f^{-1}(x)\), and state the domain and range of \(f^{-1}\).
A function \(f\) is defined by \(f(x) = \frac{5}{1 - 3x}\), for \(x \geq 1\).
Find an expression for \(f^{-1}(x)\), and state the domain and range of \(f^{-1}\).
(i) Express \(2x^2 - 12x + 13\) in the form \(a(x + b)^2 + c\), where \(a, b\) and \(c\) are constants.
(ii) The function \(f\) is defined by \(f(x) = 2x^2 - 12x + 13\) for \(x \geq k\), where \(k\) is a constant. It is given that \(f\) is a one-one function. State the smallest possible value of \(k\).
The value of \(k\) is now given to be 7.
(iii) Find the range of \(f\).
(iv) Find an expression for \(f^{-1}(x)\) and state the domain of \(f^{-1}\).
The function f is defined by \(f(x) = 1 + \frac{3}{x-2}\) for \(x > 2\).
The function g is defined by \(g(x) = 2x - 2\) for \(x > 0\).
Obtain a simplified expression for \(gf(x)\).
Functions f, g and h are defined as follows:
\(f : x ↦ x - 4x^{\frac{1}{2}} + 1 \text{ for } x \geq 0,\)
g : x ↦ mx^2 + n \text{ for } x \geq -2, \text{ where } m \text{ and } n \text{ are constants,}
\(h : x ↦ x^{\frac{1}{2}} - 2 \text{ for } x \geq 0.\)
\((a) Solve the equation f(x) = 0, giving your solutions in the form x = a + b\sqrt{c}, where a, b and c are integers. [4]\)
(b) Given that f(x) \equiv gh(x), find the values of m and n. [4]
It is now given that \(f(x) = \frac{-x}{\sqrt{4-x^2}}\) where \(-2 < x < 2\).
(b) Find an expression for \(f^{-1}(x)\).
The function \(g\) is defined by \(g(x) = 2x\) for \(-a < x < a\), where \(a\) is a constant.
(c) State the maximum possible value of \(a\) for which \(fg\) can be formed.
(d) Assuming that \(fg\) can be formed, find and simplify an expression for \(fg(x)\).
The function \(f\) is defined as follows:
\(f(x) = \frac{x+3}{x-1}\) for \(x > 1\).
(a) Find the value of \(ff(5)\).
(b) Find an expression for \(f^{-1}(x)\).
Functions f and g are defined as follows:
\(f : x \mapsto x^2 - 1\) for \(x < 0\),
\(g : x \mapsto \frac{1}{2x+1}\) for \(x < -\frac{1}{2}\).
(a) Solve the equation \(fg(x) = 3\).
(b) Find an expression for \((fg)^{-1}(x)\).
The function \(f\) is defined by \(f(x) = 2x^2 + 3\) for \(x \geq 0\).
(a) Find and simplify an expression for \(ff(x)\).
(b) Solve the equation \(ff(x) = 34x^2 + 19\).
Functions f and g are defined as follows:
\(f(x) = (x - 2)^2 - 4\) for \(x \geq 2\),
\(g(x) = ax + 2\) for \(x \in \mathbb{R}\),
where \(a\) is a constant.
(a) State the range of \(f\).
(b) Find \(f^{-1}(x)\).
(c) Given that \(a = -\frac{5}{3}\), solve the equation \(f(x) = g(x)\).
(d) Given instead that \(gg f^{-1}(12) = 62\), find the possible values of \(a\).
Functions f and g are defined as follows:
\(f : x \mapsto x^2 + 2x + 3\) for \(x \leq -1\),
\(g : x \mapsto 2x + 1\) for \(x \geq -1\).
(a) Express \(f(x)\) in the form \((x+a)^2 + b\) and state the range of \(f\).
(b) Find an expression for \(f^{-1}(x)\).
(c) Solve the equation \(gf(x) = 13\).
Functions f and g are defined by
\(f(x) = 4x - 2, \text{ for } x \in \mathbb{R},\)
\(g(x) = \frac{4}{x+1}, \text{ for } x \in \mathbb{R}, x \neq -1.\)
(a) Find the value of \(fg(7)\).
(b) Find the values of \(x\) for which \(f^{-1}(x) = g^{-1}(x)\).
The functions f and g are defined by
\(f(x) = x^2 + 3\) for \(x > 0\),
\(g(x) = 2x + 1\) for \(x > -\frac{1}{2}\).
(a) Find an expression for \(fg(x)\).
(b) Find an expression for \((fg)^{-1}(x)\) and state the domain of \((fg)^{-1}\).
(c) Solve the equation \(fg(x) - 3 = gf(x)\).
The function \(f\) is defined for \(x \in \mathbb{R}\) by
\(f : x \mapsto a - 2x\),
where \(a\) is a constant.
(a) Express \(ff(x)\) and \(f^{-1}(x)\) in terms of \(a\) and \(x\).
(b) Given that \(ff(x) = f^{-1}(x)\), find \(x\) in terms of \(a\).
Functions f and g are defined by
\(f(x) = (x + a)^2 - a\) for \(x \leq -a\),
\(g(x) = 2x - 1\) for \(x \in \mathbb{R}\),
where \(a\) is a positive constant.
Given that \(a = \frac{7}{2}\), solve the equation \(gf(x) = 0\).
Functions f and g are defined for \(x \in \mathbb{R}\) by
\(f : x \mapsto \frac{1}{2}x - a\),
\(g : x \mapsto 3x + b\),
where \(a\) and \(b\) are constants.
(a) Given that \(gg(2) = 10\) and \(f^{-1}(2) = 14\), find the values of \(a\) and \(b\).
(b) Using these values of \(a\) and \(b\), find an expression for \(gf(x)\) in the form \(cx + d\), where \(c\) and \(d\) are constants.
(a) Express \(2x^2 + 12x + 11\) in the form \(2(x + a)^2 + b\), where \(a\) and \(b\) are constants.
The function \(f\) is defined by \(f(x) = 2x^2 + 12x + 11\) for \(x \leq -4\).
(b) Find an expression for \(f^{-1}(x)\) and state the domain of \(f^{-1}\).
The function \(g\) is defined by \(g(x) = 2x - 3\) for \(x \leq k\).
(c) For the case where \(k = -1\), solve the equation \(fg(x) = 193\).
(d) State the largest value of \(k\) possible for the composition \(fg\) to be defined.
Functions f and g are defined by
\(f(x) = 2x^2 + 8x + 1\) for \(x \in \mathbb{R}\),
\(g(x) = 2x - k\) for \(x \in \mathbb{R}\),
where \(k\) is a constant.
(ii) In the case where \(k = -9\), find the set of values of \(x\) for which \(f(x) < g(x)\).
(iii) In the case where \(k = -1\), find \(g^{-1}f(x)\) and solve the equation \(g^{-1}f(x) = 0\).
(iv) Express \(f(x)\) in the form \(2(x + a)^2 + b\), where \(a\) and \(b\) are constants, and hence state the least value of \(f(x)\).
Functions f and g are defined by
\(f : x \mapsto \frac{3}{2x+1}\) for \(x > 0\),
\(g : x \mapsto \frac{1}{x} + 2\) for \(x > 0\).
(i) Find the range of \(f\) and the range of \(g\).
(ii) Find an expression for \(fg(x)\), giving your answer in the form \(\frac{ax}{bx+c}\), where \(a, b\) and \(c\) are integers.
(iii) Find an expression for \((fg)^{-1}(x)\), giving your answer in the same form as for part (ii).
Functions f and g are defined by
\(f : x \mapsto 3x - 2, \; x \in \mathbb{R},\)
\(g : x \mapsto \frac{2x + 3}{x - 1}, \; x \in \mathbb{R}, \; x \neq 1.\)
(i) Obtain expressions for \(f^{-1}(x)\) and \(g^{-1}(x)\), stating the value of \(x\) for which \(g^{-1}(x)\) is not defined.
(ii) Solve the equation \(fg(x) = \frac{7}{3}.\)
The function \(f\) is defined by \(f(x) = -2x^2 + 12x - 3\) for \(x \in \mathbb{R}\).
(i) Express \(-2x^2 + 12x - 3\) in the form \(-2(x+a)^2 + b\), where \(a\) and \(b\) are constants.
(ii) State the greatest value of \(f(x)\).
The function \(g\) is defined by \(g(x) = 2x + 5\) for \(x \in \mathbb{R}\).
(iii) Find the values of \(x\) for which \(gf(x) + 1 = 0\).
(i) Express \(x^2 - 4x + 7\) in the form \((x + a)^2 + b\).
The function \(f\) is defined by \(f(x) = x^2 - 4x + 7\) for \(x < k\), where \(k\) is a constant.
(ii) State the largest value of \(k\) for which \(f\) is a decreasing function.
The value of \(k\) is now given to be 1.
(iii) Find an expression for \(f^{-1}(x)\) and state the domain of \(f^{-1}\).
(iv) The function \(g\) is defined by \(g(x) = \frac{2}{x-1}\) for \(x > 1\). Find an expression for \(gf(x)\) and state the range of \(gf\).
The functions f and g are defined by
\(f(x) = \frac{2}{x^2 - 1}\) for \(x < -1\),
\(g(x) = x^2 + 1\) for \(x > 0\).
(i) Find an expression for \(f^{-1}(x)\).
(ii) Solve the equation \(gf(x) = 5\).
Functions f and g are defined for \(x > 3\) by
\(f : x \mapsto \frac{1}{x^2 - 9}\),
\(g : x \mapsto 2x - 3\).
The functions f and g are defined for \(x > 0\) by
\(f : x \mapsto 2x^2 + 3\),
\(g : x \mapsto 3x + 2\).
(i) Show that \(gf(x) = 6x^2 + 11\) and obtain an unsimplified expression for \(fg(x)\). [2]
(ii) Find an expression for \((fg)^{-1}(x)\) and determine the domain of \((fg)^{-1}\). [5]
(iii) Solve the equation \(gf(2x) = fg(x)\). [3]
The function f is defined by \(f(x) = 4x^2 - 12x + 13\) for \(p < x < q\), where \(p\) and \(q\) are constants. The function g is defined by \(g(x) = 3x + 1\) for \(x < 8\).
(b) Given that it is possible to form the composite function gf, find the least possible value of \(p\) and the greatest possible value of \(q\).
(c) Find an expression for \(gf(x)\).
The functions f and g are defined by
\(f(x) = \frac{4}{x} - 2\) for \(x > 0\),
\(g(x) = \frac{4}{5x + 2}\) for \(x \geq 0\).
(i) Find and simplify an expression for \(fg(x)\) and state the range of \(fg\).
(ii) Find an expression for \(g^{-1}(x)\) and find the domain of \(g^{-1}\).
Functions f and g are defined by
\(f : x \mapsto 10 - 3x, \quad x \in \mathbb{R},\)
\(g : x \mapsto \frac{10}{3 - 2x}, \quad x \in \mathbb{R}, \; x \neq \frac{3}{2}.\)
Solve the equation \(ff(x) = gf(2)\).
Functions f and g are defined by
\(f : x \mapsto 3x + 2, \quad x \in \mathbb{R}\)
\(g : x \mapsto 4x - 12, \quad x \in \mathbb{R}\)
Solve the equation \(f^{-1}(x) = gf(x)\).
Functions f and g are defined by
\(f: x \mapsto 2x - 3, \; x \in \mathbb{R},\)
\(g: x \mapsto x^2 + 4x, \; x \in \mathbb{R}.\)
The function f is defined by
\(f : x \mapsto x^2 + 1\) for \(x \geq 0\).
(i) Define in a similar way the inverse function \(f^{-1}\).
(ii) Solve the equation \(ff(x) = \frac{185}{16}\).
Functions f and g are defined by
\(f : x \mapsto 2x + 3\) for \(x \leq 0\),
\(g : x \mapsto x^2 - 6x\) for \(x \leq 3\).
(i) Express \(f^{-1}(x)\) in terms of \(x\) and solve the equation \(f(x) = f^{-1}(x)\).
(iii) Find the set of values of \(x\) which satisfy \(gf(x) \leq 16\).
The functions f and g are defined for \(x \in \mathbb{R}\) by
\(f : x \mapsto 3x + a,\)
\(g : x \mapsto b - 2x,\)
where \(a\) and \(b\) are constants. Given that \(ff(2) = 10\) and \(g^{-1}(2) = 3\), find
Functions f and g are defined by
\(f : x \mapsto 3x - 4, \quad x \in \mathbb{R},\)
\(g : x \mapsto 2(x - 1)^3 + 8, \quad x > 1.\)
(i) Evaluate \(fg(2)\).
(iv) Express each of \(f^{-1}(x)\) and \(g^{-1}(x)\) in terms of \(x\).
The function \(f\) is defined by \(f : x \mapsto \frac{x+3}{2x-1}\), \(x \in \mathbb{R}, x \neq \frac{1}{2}\).
(i) Show that \(ff(x) = x\).
(ii) Hence, or otherwise, obtain an expression for \(f^{-1}(x)\).
Functions f and g are defined for \(x \in \mathbb{R}\) by
\(f : x \mapsto 2x + 1,\)
\(g : x \mapsto x^2 - 2.\)
The function \(h\) is defined by
\(h : x \mapsto x^2 - 2,\) for \(x \leq 0.\)
The function f is defined by \(f(x) = 2 - \frac{5}{x+2}\) for \(x > -2\).
The function g is defined by \(g(x) = x + 3\) for \(x > 0\).
Obtain an expression for \(fg(x)\) giving your answer in the form \(\frac{ax+b}{cx+d}\), where \(a, b, c\) and \(d\) are integers.
Functions f and g are defined for \(x \in \mathbb{R}\) by
\(f : x \mapsto 2x + 3\),
\(g : x \mapsto x^2 - 2x\).
Express \(gf(x)\) in the form \(a(x + b)^2 + c\), where \(a, b\) and \(c\) are constants.
The function f is defined by
\(f : x \mapsto 3x - 2\) for \(x \in \mathbb{R}\).
The function g is defined by
\(g : x \mapsto 6x - x^2\) for \(x \in \mathbb{R}\).
Express \(gf(x)\) in terms of \(x\), and hence show that the maximum value of \(gf(x)\) is 9.
Functions f and g are defined by
\(f : x \mapsto 2x - 5, \quad x \in \mathbb{R},\)
\(g : x \mapsto \frac{4}{2-x}, \quad x \in \mathbb{R}, \; x \neq 2.\)
Find the value of \(x\) for which \(fg(x) = 7.\)
The function f is defined by \(f : x \mapsto ax + b\), for \(x \in \mathbb{R}\), where \(a\) and \(b\) are constants. It is given that \(f(2) = 1\) and \(f(5) = 7\).
The functions f and g are defined by
\(f : x \mapsto 3x + 2, \quad x \in \mathbb{R},\)
\(g : x \mapsto \frac{6}{2x + 3}, \quad x \in \mathbb{R}, \; x \neq -1.5.\)
(i) Find the value of \(x\) for which \(fg(x) = 3.\)
(iii) Express each of \(f^{-1}(x)\) and \(g^{-1}(x)\) in terms of \(x\), and solve the equation \(f^{-1}(x) = g^{-1}(x).\)
The functions \(f\) and \(g\) are defined as follows, where \(a\) and \(b\) are constants.
\(f(x) = 1 + \frac{2a}{x-a}\) for \(x > a\)
\(g(x) = bx - 2\) for \(x \in \mathbb{R}\)
(a) Given that \(f(7) = \frac{5}{2}\) and \(gf(5) = 4\), find the values of \(a\) and \(b\).
For the rest of this question, you should use the value of \(a\) which you found in (a).
(b) Find the domain of \(f^{-1}\).
(c) Find an expression for \(f^{-1}(x)\).
\(The function f is defined by f(x) = -3x2 + 2 for x ≤ -1.\)
\(The function g is defined by g(x) = -x2 - 1 for x ≤ -1.\)
\(Solve the equation fg(x) - gf(x) + 8 = 0.\)
Functions f and g are defined by
\(f(x) = x + \frac{1}{x}\) for \(x > 0\),
\(g(x) = ax + 1\) for \(x \in \mathbb{R}\),
where \(a\) is a constant.
(a) Find an expression for \(gf(x)\).
(b) Given that \(gf(2) = 11\), find the value of \(a\).
(c) Given that the graph of \(y = f(x)\) has a minimum point when \(x = 1\), explain whether or not \(f\) has an inverse.
It is given instead that \(a = 5\).
(d) Find and simplify an expression for \(g^{-1}f(x)\).
(e) Explain why the composite function \(fg\) cannot be formed.
The function f is defined by \(f(x) = 2x^2 - 16x + 23\) for \(x < 3\).
The function g is defined by \(g(x) = 2x + 4\) for \(x < -1\).
Find and simplify an expression for \(fg(x)\).
Functions f and g are defined as follows:
\(f(x) = \frac{2x+1}{2x-1}\) for \(x \neq \frac{1}{2}\),
\(g(x) = x^2 + 4\) for \(x \in \mathbb{R}\).
(a) The diagram shows part of the graph of \(y = f(x)\). State the domain of \(f^{-1}\).
(b) Find an expression for \(f^{-1}(x)\).
(c) Find \(gf^{-1}(3)\).
(d) Explain why \(g^{-1}(x)\) cannot be found.
(e) Show that \(1 + \frac{2}{2x-1}\) can be expressed as \(\frac{2x+1}{2x-1}\). Hence find the area of the triangle enclosed by the tangent to the curve \(y = f(x)\) at the point where \(x = 1\) and the x- and y-axes.

Functions f and g are defined by
\(f(x) = 2x^2 + 8x + 1\) for \(x \in \mathbb{R}\),
\(g(x) = 2x - k\) for \(x \in \mathbb{R}\),
where \(k\) is a constant.
Find the value of \(k\) for which the line \(y = g(x)\) is a tangent to the curve \(y = f(x)\).
Functions f and g are defined by
\(f : x \mapsto 4x - 2k\) for \(x \in \mathbb{R}\), where \(k\) is a constant,
\(g : x \mapsto \frac{9}{2-x}\) for \(x \in \mathbb{R}, x \neq 2\).
(i) Find the values of \(k\) for which the equation \(fg(x) = x\) has two equal roots. [4]
(ii) Determine the roots of the equation \(fg(x) = x\) for the values of \(k\) found in part (i). [3]
Functions f and g are defined by
\(f : x \mapsto k - x\) for \(x \in \mathbb{R}\), where \(k\) is a constant,
\(g : x \mapsto \frac{9}{x+2}\) for \(x \in \mathbb{R}, x \neq -2\).
The function \(f : x \mapsto 2x - a\), where \(a\) is a constant, is defined for all real \(x\).
(i) In the case where \(a = 3\), solve the equation \(ff(x) = 11\).
The function \(g : x \mapsto x^2 - 6x\) is defined for all real \(x\).
(ii) Find the value of \(a\) for which the equation \(f(x) = g(x)\) has exactly one real solution.
The functions f and g are defined as follows:
\(f : x \mapsto x^2 - 2x, \quad x \in \mathbb{R},\)
\(g : x \mapsto 2x + 3, \quad x \in \mathbb{R}.\)
Show that the equation \(gf(x) = 0\) has no real solutions.
Functions f and g are defined by
\(f : x \mapsto 2x - 5, \; x \in \mathbb{R},\)
\(g : x \mapsto \frac{4}{2-x}, \; x \in \mathbb{R}, \; x \neq 2.\)
(ii) Express each of \(f^{-1}(x)\) and \(g^{-1}(x)\) in terms of \(x\).
(iii) Show that the equation \(f^{-1}(x) = g^{-1}(x)\) has no real roots.
The function f is defined by \(f : x \mapsto \frac{2}{3 - 2x}\) for \(x \in \mathbb{R}, x \neq \frac{3}{2}\).
(i) Find an expression for \(f^{-1}(x)\).
The function g is defined by \(g : x \mapsto 4x + a\) for \(x \in \mathbb{R}\), where \(a\) is a constant.
(ii) Find the value of \(a\) for which \(gf(-1) = 3\).
(iii) Find the possible values of \(a\) given that the equation \(f^{-1}(x) = g^{-1}(x)\) has two equal roots.
Functions f and g are defined by
\(f : x \mapsto 2x - 3, \; x \in \mathbb{R}\)
\(g : x \mapsto x^2 + 4x, \; x \in \mathbb{R}\)
Find the value of the constant \(p\) for which the equation \(gf(x) = p\) has two equal roots.
The functions f and g are defined for all real values of x by
\(f(x) = 2x^2 - 3x\) and \(g(x) = 3x + k\),
where \(k\) is a constant.
Find the value of \(k\) for which the equation \(gf(x) = 0\) has equal roots.
The function f is defined by \(f : x \mapsto 2x + k, \ x \in \mathbb{R}\), where \(k\) is a constant.
(i) In the case where \(k = 3\), solve the equation \(ff(x) = 25\).
The function g is defined by \(g : x \mapsto x^2 - 6x + 8, \ x \in \mathbb{R}\).
(ii) Find the set of values of \(k\) for which the equation \(f(x) = g(x)\) has no real solutions.
The function h is defined by \(h : x \mapsto x^2 - 6x + 8, \ x > 3\).
(iii) Find an expression for \(h^{-1}(x)\).
Functions f and g are defined by
\(f : x \mapsto 2x + 5\) for \(x \in \mathbb{R}\),
\(g : x \mapsto \frac{8}{x-3}\) for \(x \in \mathbb{R}, x \neq 3\).
(i) Obtain expressions, in terms of \(x\), for \(f^{-1}(x)\) and \(g^{-1}(x)\), stating the value of \(x\) for which \(g^{-1}(x)\) is not defined. [4]
(ii) Given that the equation \(fg(x) = 5 - kx\), where \(k\) is a constant, has no solutions, find the set of possible values of \(k\). [5]
The functions f and g are defined for x ∈ ℝ by
f : x ↦ 4x − 2x2,
g : x ↦ 5x + 3.
(i) Find the range of f.
\((ii) Find the value of the constant k for which the equation gf(x) = k has equal roots.\)
The function f is defined by \(f : x \mapsto 2x^2 - 12x + 7\) for \(x \in \mathbb{R}\).
The function g is defined by \(g : x \mapsto 2x + k\) for \(x \in \mathbb{R}\).
Find the value of the constant \(k\) for which the equation \(gf(x) = 0\) has two equal roots.
Functions f and g are defined by
\(f : x \mapsto 2x + 1, \quad x \in \mathbb{R}, \quad x > 0\)
\(g : x \mapsto \frac{2x - 1}{x + 3}, \quad x \in \mathbb{R}, \quad x \neq -3\)
A function \(f\) is defined by \(f : x \mapsto 4 - 5x\) for \(x \in \mathbb{R}\).
(i) Find an expression for \(f^{-1}(x)\) and find the point of intersection of the graphs of \(y = f(x)\) and \(y = f^{-1}(x)\).
(ii) Sketch, on the same diagram, the graphs of \(y = f(x)\) and \(y = f^{-1}(x)\), making clear the relationship between the graphs.
The diagram shows the graph of \(y = f(x)\).
On this diagram sketch the graph of \(y = f^{-1}(x)\).

The function g is such that \(g(x) = 8 - (x - 2)^2\), for \(k \leq x \leq 4\), where \(k\) is a constant.
(ii) State the smallest value of \(k\) for which \(g\) has an inverse.
For this value of \(k\),
(iii) find an expression for \(g^{-1}(x)\),
(iv) sketch, on the same diagram, the graphs of \(y = g(x)\) and \(y = g^{-1}(x)\).
Functions f and g are defined by
\(f : x \mapsto 2x^2 - 8x + 10\) for \(0 \leq x \leq 2\),
\(g : x \mapsto x\) for \(0 \leq x \leq 10\).
The diagram shows the graph of \(y = f(x)\), where \(f : x \mapsto \frac{6}{2x+3}\) for \(x \geq 0\).
(ii) Find an expression, in terms of \(x\), for \(f^{-1}(x)\) and find the domain of \(f^{-1}\).
(iii) Copy the diagram and, on your copy, sketch the graph of \(y = f^{-1}(x)\), making clear the relationship between the graphs.
The function \(g\) is defined by \(g : x \mapsto \frac{1}{2}x\) for \(x \geq 0\).
(iv) Solve the equation \(fg(x) = \frac{3}{2}\).

Given the function \(f : x \mapsto 2x + 5\) for \(x \in \mathbb{R}\), sketch the graphs of \(y = f(x)\) and \(y = f^{-1}(x)\) on the same diagram, making clear the relationship between the two graphs.
Given the function \(f : x \mapsto 2x + 3\) for \(x \leq 0\), on the same diagram sketch the graphs of \(y = f(x)\) and \(y = f^{-1}(x)\), showing the coordinates of their point of intersection and the relationship between the graphs.
Let \(f : x \mapsto 3x - 4, \; x \in \mathbb{R}\).
Sketch in a single diagram the graphs of \(y = f(x)\) and \(y = f^{-1}(x)\), making clear the relationship between the graphs.
Let \(f : x \mapsto 2x + 1\), \(x \in \mathbb{R}\), \(x > 0\).
Sketch in a single diagram the graphs of \(y = f(x)\) and \(y = f^{-1}(x)\), making clear the relationship between the graphs.
The function \(f\) is defined by \(f : x \mapsto 3x - 2\) for \(x \in \mathbb{R}\).
Sketch, in a single diagram, the graphs of \(y = f(x)\) and \(y = f^{-1}(x)\), making clear the relationship between the two graphs.
Given the function \(g : x \mapsto 2x + 3\), where \(x \in \mathbb{R}\), sketch, in a single diagram, the graphs of \(y = g(x)\) and \(y = g^{-1}(x)\), making clear the relationship between the graphs.
Given the function \(f: x \mapsto 2x - 5\), \(x \in \mathbb{R}\), sketch, on a single diagram, the graphs of \(y = f(x)\) and \(y = f^{-1}(x)\), making clear the relationship between these two graphs.
Given the function \(f : x \mapsto 3x + 2\), \(x \in \mathbb{R}\), sketch, in a single diagram, the graphs of \(y = f(x)\) and \(y = f^{-1}(x)\), making clear the relationship between the two graphs.
The functions f and g are defined by
\(f(x) = x^2 - 4x + 3\) for \(x > c\), where \(c\) is a constant,
\(g(x) = \frac{1}{x+1}\) for \(x > -1\).
(a) Express \(f(x)\) in the form \((x-a)^2 + b\).
It is given that \(f\) is a one-one function.
(b) State the smallest possible value of \(c\).
It is now given that \(c = 5\).
(c) Find an expression for \(f^{-1}(x)\) and state the domain of \(f^{-1}\).
(d) Find an expression for \(gf(x)\) and state the range of \(gf\).
The function \(f\) is such that \(f(x) = a^2x^2 - ax + 3b\) for \(x \leq \frac{1}{2a}\), where \(a\) and \(b\) are constants.
(i) For the case where \(f(-2) = 4a^2 - b + 8\) and \(f(-3) = 7a^2 - b + 14\), find the possible values of \(a\) and \(b\).
(ii) For the case where \(a = 1\) and \(b = -1\), find an expression for \(f^{-1}(x)\) and give the domain of \(f^{-1}\).
The function f is defined by \(f(x) = 3x + 1\) for \(x \leq a\), where \(a\) is a constant. The function g is defined by \(g(x) = -1 - x^2\) for \(x \leq -1\).
(i) Find the largest value of \(a\) for which the composite function \(gf\) can be formed.
For the case where \(a = -1\),
(ii) solve the equation \(fg(x) + 14 = 0\),
(iii) find the set of values of \(x\) which satisfy the inequality \(gf(x) \leq -50\).
The function \(f\) is defined, for \(x \in \mathbb{R}\), by \(f : x \mapsto x^2 + ax + b\), where \(a\) and \(b\) are constants.
(i) In the case where \(a = 6\) and \(b = -8\), find the range of \(f\).
(ii) In the case where \(a = 5\), the roots of the equation \(f(x) = 0\) are \(k\) and \(-2k\), where \(k\) is a constant. Find the values of \(b\) and \(k\).
(iii) Show that if the equation \(f(x+a) = a\) has no real roots, then \(a^2 < 4(b-a)\).
The diagram shows the graph of \(y = f^{-1}(x)\), where \(f^{-1}\) is defined by \(f^{-1}(x) = \frac{1 - 5x}{2x}\) for \(0 < x \leq 2\).
(i) Find an expression for \(f(x)\) and state the domain of \(f\).
(ii) The function \(g\) is defined by \(g(x) = \frac{1}{x}\) for \(x \geq 1\). Find an expression for \(f^{-1}g(x)\), giving your answer in the form \(ax + b\), where \(a\) and \(b\) are constants to be found.

The functions f and g are defined for \(x \geq 0\) by
\(f : x \mapsto (ax + b)^{\frac{1}{3}}\), where \(a\) and \(b\) are positive constants,
\(g : x \mapsto x^2\).
Given that \(fg(1) = 2\) and \(gf(9) = 16\),
(i) Express \(x^2 - 2x - 15\) in the form \((x + a)^2 + b\).
The function \(f\) is defined for \(p \leq x \leq q\), where \(p\) and \(q\) are positive constants, by \(f : x \mapsto x^2 - 2x - 15\).
The range of \(f\) is given by \(c \leq f(x) \leq d\), where \(c\) and \(d\) are constants.
(ii) State the smallest possible value of \(c\).
For the case where \(c = 9\) and \(d = 65\),
(iii) find \(p\) and \(q\),
(iv) find an expression for \(f^{-1}(x)\).
The diagram shows the function \(f\) defined for \(-1 \leq x \leq 4\), where
\(f(x) = \begin{cases} 3x - 2 & \text{for } -1 \leq x \leq 1, \\ \frac{4}{5-x} & \text{for } 1 < x \leq 4. \end{cases}\)
(i) State the range of \(f\).
(ii) Copy the diagram and on your copy sketch the graph of \(y = f^{-1}(x)\).
(iii) Obtain expressions to define the function \(f^{-1}\), giving also the set of values for which each expression is valid.

The function f is defined by \(f : x \mapsto x^2 + 4x\) for \(x \geq c\), where \(c\) is a constant. It is given that \(f\) is a one-one function.
(i) State the range of \(f\) in terms of \(c\) and find the smallest possible value of \(c\).
The function \(g\) is defined by \(g : x \mapsto ax + b\) for \(x \geq 0\), where \(a\) and \(b\) are positive constants. It is given that, when \(c = 0\), \(gf(1) = 11\) and \(fg(1) = 21\).
(ii) Write down two equations in \(a\) and \(b\) and solve them to find the values of \(a\) and \(b\).
(i) The diagram shows part of the curve \(y = 11 - x^2\) and part of the straight line \(y = 5 - x\) meeting at the point \(A (p, q)\), where \(p\) and \(q\) are positive constants. Find the values of \(p\) and \(q\).
(ii) The function \(f\) is defined for the domain \(x \geq 0\) by
\(f(x) = \begin{cases} 11 - x^2 & \text{for } 0 \leq x \leq p, \\ 5 - x & \text{for } x > p. \end{cases}\)
Express \(f^{-1}(x)\) in a similar way.

The function \(f : x \mapsto x^2 - 4x + k\) is defined for the domain \(x \geq p\), where \(k\) and \(p\) are constants.
The function f is defined by \(f(x) = \frac{48}{x-1}\) for \(3 \leq x \leq 7\). The function g is defined by \(g(x) = 2x - 4\) for \(a \leq x \leq b\), where \(a\) and \(b\) are constants.
(i) Find the greatest value of \(a\) and the least value of \(b\) which will permit the formation of the composite function gf.
It is now given that the conditions for the formation of gf are satisfied.
(ii) Find an expression for \(gf(x)\).
(iii) Find an expression for \((gf)^{-1}(x)\).
The diagram shows the function \(f\) defined for \(0 \leq x \leq 6\) by:
\(x \mapsto \frac{1}{2}x^2\) for \(0 \leq x \leq 2\),
\(x \mapsto \frac{1}{2}x + 1\) for \(2 < x \leq 6\).
(i) State the range of \(f\).
(ii) Copy the diagram and on your copy sketch the graph of \(y = f^{-1}(x)\).
(iii) Obtain expressions to define \(f^{-1}(x)\), giving the set of values of \(x\) for which each expression is valid.

The function f is defined by
\(f(x) = x^2 - 4x + 7\) for \(x > 2\).
(i) Express \(f(x)\) in the form \((x-a)^2 + b\) and hence state the range of \(f\).
(ii) Obtain an expression for \(f^{-1}(x)\) and state the domain of \(f^{-1}\).
The function g is defined by
\(g(x) = x - 2\) for \(x > 2\).
The function h is such that \(f = hg\) and the domain of \(h\) is \(x > 0\).
(iii) Obtain an expression for \(h(x)\).
(i) Express \(2x^2 - 12x + 11\) in the form \(a(x + b)^2 + c\), where \(a, b\) and \(c\) are constants.
The function \(f\) is defined by \(f(x) = 2x^2 - 12x + 11\) for \(x \leq k\).
(ii) State the largest value of the constant \(k\) for which \(f\) is a one-one function.
(iii) For this value of \(k\) find an expression for \(f^{-1}(x)\) and state the domain of \(f^{-1}\).
The function \(g\) is defined by \(g(x) = x + 3\) for \(x \leq p\).
(iv) With \(k\) now taking the value 1, find the largest value of the constant \(p\) which allows the composite function \(fg\) to be formed, and find an expression for \(fg(x)\) whenever this composite function exists.
(a) The one-one function \(f\) is defined by \(f(x) = (x - 3)^2 - 1\) for \(x < a\), where \(a\) is a constant.
(i) State the greatest possible value of \(a\).
(ii) It is given that \(a\) takes this greatest possible value. State the range of \(f\) and find an expression for \(f^{-1}(x)\).
(b) The function \(g\) is defined by \(g(x) = (x - 3)^2\) for \(x \geq 0\).
(i) Show that \(gg(2x)\) can be expressed in the form \((2x - 3)^4 + b(2x - 3)^2 + c\), where \(b\) and \(c\) are constants to be found.
(ii) Hence expand \(gg(2x)\) completely, simplifying your answer.
The one-one function \(f\) is defined by \(f(x) = (x-2)^2 + 2\) for \(x \geq c\), where \(c\) is a constant.
Functions f and g are defined for \(x \in \mathbb{R}\) by
\(f : x \mapsto \frac{1}{2}x - 2\),
\(g : x \mapsto 4 + x - \frac{1}{2}x^2\).
(i) Find the points of intersection of the graphs of \(y = f(x)\) and \(y = g(x)\).
(ii) Find the set of values of \(x\) for which \(f(x) > g(x)\).
(iii) Find an expression for \(fg(x)\) and deduce the range of \(fg\).
The function \(h\) is defined by \(h : x \mapsto 4 + x - \frac{1}{2}x^2\) for \(x \geq k\).
(iv) Find the smallest value of \(k\) for which \(h\) has an inverse.
Functions \(f\) and \(g\) are defined by
\(f(x) = \frac{8}{x-2} + 2\) for \(x > 2\),
\(g(x) = \frac{8}{x-2} + 2\) for \(2 < x < 4\).
(i) (a) State the range of the function \(f\). [1]
(b) State the range of the function \(g\). [1]
(c) State the range of the function \(fg\). [1]
(ii) Explain why the function \(gf\) cannot be formed. [1]
(i) Express \(4x^2 + 12x + 10\) in the form \((ax + b)^2 + c\), where \(a, b\) and \(c\) are constants.
(ii) Functions \(f\) and \(g\) are both defined for \(x > 0\). It is given that \(f(x) = x^2 + 1\) and \(fg(x) = 4x^2 + 12x + 10\). Find \(g(x)\).
(iii) Find \((fg)^{-1}(x)\) and give the domain of \((fg)^{-1}\).
The function f is such that \(f(x) = 2x + 3\) for \(x \geq 0\). The function g is such that \(g(x) = ax^2 + b\) for \(x \leq q\), where \(a, b\) and \(q\) are constants. The function fg is such that \(fg(x) = 6x^2 - 21\) for \(x \leq q\).
(i) Find the values of \(a\) and \(b\).
(ii) Find the greatest possible value of \(q\).
It is now given that \(q = -3\).
(iii) Find the range of \(fg\).
(iv) Find an expression for \((fg)^{-1}(x)\) and state the domain of \((fg)^{-1}\).
The equation of a curve is \(y = x^2 - 8x + 5\).
(a) Find the coordinates of the minimum point of the curve.
The curve is stretched by a factor of 2 parallel to the y-axis and then translated by \(\begin{pmatrix} 4 \\ 1 \end{pmatrix}\).
(b) Find the coordinates of the minimum point of the transformed curve.
(c) Find the equation of the transformed curve. Give the answer in the form \(y = ax^2 + bx + c\), where \(a, b\) and \(c\) are integers to be found.
(a) Express \(2x^2 - 8x + 14\) in the form \(2[(x-a)^2 + b]\).
The functions \(f\) and \(g\) are defined by
\(f(x) = x^2\) for \(x \in \mathbb{R}\),
\(g(x) = 2x^2 - 8x + 14\) for \(x \in \mathbb{R}\).
(b) Describe fully a sequence of transformations that maps the graph of \(y = f(x)\) onto the graph of \(y = g(x)\), making clear the order in which the transformations are applied.
The graph of \(y = f(x)\) is transformed to the graph of \(y = 3 - f(x)\).
Describe fully, in the correct order, the two transformations that have been combined.
The graph of \(y = f(x)\) is transformed to the graph of \(y = f(2x) - 3\).
(a) Describe fully the two single transformations that have been combined to give the resulting transformation.
(b) The point \(P(5, 6)\) lies on the transformed curve \(y = f(2x) - 3\). State the coordinates of the corresponding point on the original curve \(y = f(x)\).
(a) Express \(f(x) = -3x^2 + 12x + 2\) in the form \(-3(x-a)^2 + b\), where \(a\) and \(b\) are constants.
The result of translating the graph of \(y = f(x)\) by \(\begin{pmatrix} -3 \\ 1 \end{pmatrix}\) is the graph of \(y = g(x)\).
(e) Express \(g(x)\) in the form \(px^2 + qx + r\), where \(p, q,\) and \(r\) are constants.
Functions f and g are both defined for \(x \in \mathbb{R}\) and are given by
\(f(x) = x^2 - 2x + 5\),
\(g(x) = x^2 + 4x + 13\).
(a) By first expressing each of \(f(x)\) and \(g(x)\) in completed square form, express \(g(x)\) in the form \(f(x + p) + q\), where \(p\) and \(q\) are constants.
(b) Describe fully the transformation which transforms the graph of \(y = f(x)\) to the graph of \(y = g(x)\).
The graph of \(y = f(x)\) is transformed to the graph of \(y = 2f(x - 1)\).
Describe fully the two single transformations which have been combined to give the resulting transformation.
In the diagram, the graph of \(y = f(x)\) is shown with solid lines. The graph shown with broken lines is a transformation of \(y = f(x)\).
(a) Describe fully the two single transformations of \(y = f(x)\) that have been combined to give the resulting transformation.
(b) State in terms of \(y, f\) and \(x\), the equation of the graph shown with broken lines.

(a) Express \(x^2 + 6x + 5\) in the form \((x + a)^2 + b\), where \(a\) and \(b\) are constants.
(b) The curve with equation \(y = x^2\) is transformed to the curve with equation \(y = x^2 + 6x + 5\). Describe fully the transformation(s) involved.
In each of parts (a), (b) and (c), the graph shown with solid lines has equation \(y = f(x)\). The graph shown with broken lines is a transformation of \(y = f(x)\).
(a) State, in terms of \(f\), the equation of the graph shown with broken lines.
(b) State, in terms of \(f\), the equation of the graph shown with broken lines.
(c) State, in terms of \(f\), the equation of the graph shown with broken lines.

The graph of \(y = f(x)\) is transformed to the graph of \(y = 1 + f\left(\frac{1}{2}x\right)\).
Describe fully the two single transformations which have been combined to give the resulting transformation.
The transformation R denotes a reflection in the x-axis and the transformation T denotes a translation of \(\begin{pmatrix} 3 \\ -1 \end{pmatrix}\).
(a) Find the equation, \(y = g(x)\), of the curve with equation \(y = x^2\) after it has been transformed by the sequence of transformations R followed by T.
(b) Find the equation, \(y = h(x)\), of the curve with equation \(y = x^2\) after it has been transformed by the sequence of transformations T followed by R.
(c) State fully the transformation that maps the curve \(y = g(x)\) onto the curve \(y = h(x)\).
The diagram shows the graph of \(y = f(x)\), which consists of the two straight lines \(AB\) and \(BC\). The lines \(A'B'\) and \(B'C'\) form the graph of \(y = g(x)\), which is the result of applying a sequence of two transformations, in either order, to \(y = f(x)\).
State fully the two transformations.

The diagram shows graphs with equations \(y = f(x)\) and \(y = g(x)\).
Describe fully a sequence of two transformations which transforms the graph of \(y = f(x)\) to \(y = g(x)\).

A function f is defined by \(f(x) = x^2 - 2x + 5\) for \(x \in \mathbb{R}\). A sequence of transformations is applied in the following order to the graph of \(y = f(x)\) to give the graph of \(y = g(x)\).
1. Stretch parallel to the x-axis with scale factor \(\frac{1}{2}\)
2. Reflection in the y-axis
3. Stretch parallel to the y-axis with scale factor 3
Find \(g(x)\), giving your answer in the form \(ax^2 + bx + c\), where \(a, b\) and \(c\) are constants.
The diagram shows a curve which has a maximum point at (8, 12) and a minimum point at (8, 0). The curve is the result of applying a combination of two transformations to a circle. The first transformation applied is a translation of \(\begin{pmatrix} 7 \\ -3 \end{pmatrix}\). The second transformation applied is a stretch in the y-direction.
(a) State the scale factor of the stretch.
(b) State the radius of the original circle.
(c) State the coordinates of the centre of the circle after the translation has been completed but before the stretch is applied.
(d) State the coordinates of the centre of the original circle.

The graph with equation \(y = f(x)\) is transformed to the graph with equation \(y = g(x)\) by a stretch in the \(x\)-direction with factor 0.5, followed by a translation of \(\begin{pmatrix} 0 \\ 1 \end{pmatrix}\).
(a) The diagram below shows the graph of \(y = f(x)\). On the diagram sketch the graph of \(y = g(x)\).
(b) Find an expression for \(g(x)\) in terms of \(f(x)\).

Functions f and g are both defined for \(x \in \mathbb{R}\) and are given by
\(f(x) = x^2 - 4x + 9,\)
\(g(x) = 2x^2 + 4x + 12.\)
(a) Express \(f(x)\) in the form \((x-a)^2 + b.\) [1]
(b) Express \(g(x)\) in the form \(2[(x+c)^2 + d].\) [2]
(c) Express \(g(x)\) in the form \(kf(x+h),\) where \(k\) and \(h\) are integers. [1]
(d) Describe fully the two transformations that have been combined to transform the graph of \(y = f(x)\) to the graph of \(y = g(x).\) [4]
(a) The curve with equation \(y = x^2 + 2x - 5\) is translated by \(\begin{pmatrix} -1 \\ 3 \end{pmatrix}\). Find the equation of the translated curve, giving your answer in the form \(y = ax^2 + bx + c\).
(b) The curve with equation \(y = x^2 + 2x - 5\) is transformed to a curve with equation \(y = 4x^2 + 4x - 5\). Describe fully the single transformation that has been applied.
(a) Show that the equation \(\log_3(2x + 1) = 1 + 2\log_3(x - 1)\) can be written as a quadratic equation in \(x\).
(b) Hence solve the equation \(\log_3(4y + 1) = 1 + 2\log_3(2y - 1)\), giving your answer correct to 2 decimal places.
Solve the equation
\(\log_{10}(2x + 1) = 2\log_{10}(x + 1) - 1\).
Give your answers correct to 3 decimal places.
(i) Show that the equation \(\log_{10}(x-4) = 2 - \log_{10} x\) can be written as a quadratic equation in \(x\).
(ii) Hence solve the equation \(\log_{10}(x-4) = 2 - \log_{10} x\), giving your answer correct to 3 significant figures.
Showing all necessary working, solve the equation \(2\log_2 x = 3 + \log_2(x + 1)\), giving your answer correct to 3 significant figures.
Solve the equation \(\log_{10}(x+9) = 2 + \log_{10} x\).
(i) Show that the equation \(\log_2(x+5) = 5 - \log_2 x\) can be written as a quadratic equation in \(x\).
(ii) Hence solve the equation \(\log_2(x+5) = 5 - \log_2 x\).
(i) Show that the equation \(\log_{10}(x+5) = 2 - \log_{10} x\) may be written as a quadratic equation in \(x\).
(ii) Hence find the value of \(x\) satisfying the equation \(\log_{10}(x+5) = 2 - \log_{10} x\).
Solve the equation \(4^{x-2} = 4^x - 4^2\), giving your answer correct to 3 decimal places.
Solve the equation
\(\frac{2^x + 1}{2^x - 1} = 5\),
giving your answer correct to 3 significant figures.
Solve the equation \(3^{x+2} = 3^x + 3^2\), giving your answer correct to 3 significant figures.
Using the substitution \(u = 3^x\), or otherwise, solve, correct to 3 significant figures, the equation
\(3^x = 2 + 3^{-x}\).
(i) Show that if \(y = 2^x\), then the equation \(2^x - 2^{-x} = 1\) can be written as a quadratic equation in \(y\).
(ii) Hence solve the equation \(2^x - 2^{-x} = 1\).
Solve the equation \(4^x = 3 + 4^{-x}\). Give your answer correct to 3 decimal places.
Showing all necessary working, solve the equation \(\frac{3^{2x} + 3^{-x}}{3^{2x} - 3^{-x}} = 4\). Give your answer correct to 3 decimal places.
Showing all necessary working, solve the equation \(9^x = 3^x + 12\). Give your answer correct to 2 decimal places.
Showing all necessary working, solve the equation \(5^{2x} = 5^x + 5\). Give your answer correct to 3 decimal places.
Solve the equation \(\frac{3^x + 2}{3^x - 2} = 8\), giving your answer correct to 3 decimal places.
Using the substitution \(u = 3^x\), solve the equation \(3^x + 3^{2x} = 3^{3x}\) giving your answer correct to 3 significant figures.
Using the substitution \(u = 4^x\), solve the equation \(4^x + 4^2 = 4^{x+2}\), giving your answer correct to 3 significant figures.
Solve the equation
\(5^{x-1} = 5^x - 5\),
giving your answer correct to 3 significant figures.
Solve the equation \(4|5^x - 1| = 5^x\), giving your answers correct to 3 decimal places.
Showing all necessary working, solve the equation \(3|2^x - 1| = 2^x\), giving your answers correct to 3 significant figures.
(i) Solve the equation \(2|x - 1| = 3|x|\).
(ii) Hence solve the equation \(2|5^x - 1| = 3|5^x|\), giving your answer correct to 3 significant figures.
Solve the equation \(2|3^x - 1| = 3^x\), giving your answers correct to 3 significant figures.
(i) Solve the equation \(|4x - 1| = |x - 3|\).
(ii) Hence solve the equation \(|4^{y+1} - 1| = |4^y - 3|\) correct to 3 significant figures.
Solve the equation \(|4 - 2^x| = 10\), giving your answer correct to 3 significant figures.
Use logarithms to solve the equation \(5^{3-2x} = 4(7^x)\), giving your answer correct to 3 decimal places.
Use logarithms to solve the equation \(4^{3x-1} = 3(5^x)\), giving your answer correct to 3 decimal places.
Use logarithms to solve the equation \(2^{5x} = 3^{2x+1}\), giving the answer correct to 3 significant figures.
Use logarithms to solve the equation \(5^{2x-1} = 2(3^x)\), giving your answer correct to 3 significant figures.
Find the set of values of x satisfying the inequality \(|2^{x+1} - 2| < 0.5\), giving your answer to 3 significant figures.
Find the set of values of x for which \(2(3^{1-2x}) < 5^x\). Give your answer in a simplified exact form.
Find the set of values of x satisfying the inequality \(|3^x - 8| < 0.5\), giving 3 significant figures in your answer.
Solve the inequality \(|2^x - 8| < 5\).
Solve the equation \(\ln(x+5) = 5 + \ln x\). Give your answer correct to 3 decimal places.
Solve the equation
\(\ln(1 + e^{-3x}) = 2\).
Give the answer correct to 3 decimal places.
Solve the equation \(\ln 3 + \ln(2x + 5) = 2 \ln(x + 2)\). Give your answer in a simplified exact form.
Solve the equation \(5 \ln(4 - 3^x) = 6\). Show all necessary working and give the answer correct to 3 decimal places.
Showing all necessary working, solve the equation \(\ln(2x - 3) = 2 \ln x - \ln(x - 1)\). Give your answer correct to 2 decimal places.
Showing all necessary working, solve the equation \(\ln(x^4 - 4) = 4 \ln x - \ln 4\), giving your answer correct to 2 decimal places.
Solve the equation \(\ln(x^2 + 1) = 1 + 2 \ln x\), giving your answer correct to 3 significant figures.
Solve the equation \(\ln(1 + 2^x) = 2\), giving your answer correct to 3 decimal places.
Solve the equation \(\ln(x^2 + 4) = 2 \ln x + \ln 4\), giving your answer in an exact form.
Solve the equation \(\ln(x + 4) = 2 \ln x + \ln 4\), giving your answer correct to 3 significant figures.
Use logarithms to solve the equation \(e^x = 3^{x-2}\), giving your answer correct to 3 decimal places.
Solve the equation \(\ln(2x^2 - 3) = 2 \ln x - \ln 2\), giving your answer in an exact form.
Solve the equation
\(2 \ln(5 - e^{-2x}) = 1\),
giving your answer correct to 3 significant figures.
It is given that \(2\ln(4x - 5) + \ln(x + 1) = 3\ln 3\).
Solve the equation \(\ln(x+5) = 1 + \ln x\), giving your answer in terms of \(e\).
Solve the equation \(\ln(2x + 3) = 2 \ln x + \ln 3\), giving your answer correct to 3 significant figures.
Solve the equation
\(\ln(3x + 4) = 2 \ln(x + 1)\),
giving your answer correct to 3 significant figures.
Solve the equation \(\ln(1 + x^2) = 1 + 2 \ln x\), giving your answer correct to 3 significant figures.
Solve the equation \(\ln(5-x) = \ln 5 - \ln x\), giving your answers correct to 3 significant figures.
Solve the equation \(\ln(2 + e^{-x}) = 2\), giving your answer correct to 2 decimal places.
Solve the equation
\(\ln(x+2) = 2 + \ln x\),
giving your answer correct to 3 decimal places.
Solve the equation \(\ln(1 + x) = 1 + \ln x\), giving your answer correct to 2 significant figures.
Solve the equation \(\ln(2x - 1) = 2 \ln(x + 1) - \ln x\). Give your answer correct to 3 decimal places.
Solve the equation \(2^{3x-1} = 5(3^{1-x})\). Give your answer in the form \(\frac{\ln a}{\ln b}\) where \(a\) and \(b\) are integers.
Solve the equation \(2^{3x-1} = 5(3^{-x})\). Give your answer in the form \(\frac{\ln a}{\ln b}\), where \(a\) and \(b\) are integers.
Solve the equation \(\ln(e^{2x} + 3) = 2x + \ln 3\), giving your answer correct to 3 decimal places.
Solve the equation \(2(3^{2x-1}) = 4^{x+1}\), giving your answer correct to 2 decimal places.
Find the value of \(x\) for which \(3(2^{1-x}) = 7^x\). Give your answer in the form \(\frac{\ln a}{\ln b}\), where \(a\) and \(b\) are integers.
Solve the equation \(\ln(x^3 - 3) = 3 \ln x - \ln 3\). Give your answer correct to 3 significant figures.
Solve the equation
\(3e^{2x} - 4e^{-2x} = 5\).
Give the answer correct to 3 decimal places.
Find the real root of the equation \(\frac{2e^x + e^{-x}}{2 + e^x} = 3\), giving your answer correct to 3 decimal places. Your working should show clearly that the equation has only one real root.
(a) Show that the equation \(\ln(1 + e^{-x}) + 2x = 0\) can be expressed as a quadratic equation in \(e^x\).
(b) Hence solve the equation \(\ln(1 + e^{-x}) + 2x = 0\), giving your answer correct to 3 decimal places.
Showing all necessary working, solve the equation
\(\frac{e^x + e^{-x}}{e^x + 1} = 4\),
giving your answer correct to 3 decimal places.
Showing all necessary working, solve the equation \(\frac{2e^x + e^{-x}}{e^x - e^{-x}} = 4\), giving your answer correct to 2 decimal places.
Using the substitution \(u = e^x\), solve the equation \(4e^{-x} = 3e^x + 4\). Give your answer correct to 3 significant figures.
Using the substitution \(u = e^x\), or otherwise, solve the equation
\(e^x = 1 + 6e^{-x}\),
giving your answer correct to 3 significant figures.
Solve, correct to 3 significant figures, the equation
\(e^x + e^{2x} = e^{3x}\).
It is given that \(x = \ln(2y - 3) - \ln(y + 4)\).
Express \(y\) in terms of \(x\).
Given that \(\ln(1 + e^{2y}) = x\), express \(y\) in terms of \(x\).
It is given that \(z = \ln(y+2) - \ln(y+1)\). Express \(y\) in terms of \(z\).
Given that \(2 \ln(x + 4) - \ln x = \ln(x + a)\), express \(x\) in terms of \(a\).
It is given that \(\ln(y + 1) - \ln y = 1 + 3 \ln x\). Express \(y\) in terms of \(x\), in a form not involving logarithms.
Given that \(x = 4(3^{-y})\), express \(y\) in terms of \(x\).
The variables x and y are related by the equation \(y = ab^x\), where \(a\) and \(b\) are constants. The diagram shows the result of plotting \(\ln y\) against \(x\) for two pairs of values of \(x\) and \(y\). The coordinates of these points are (1, 3.7) and (2.2, 6.46).
Use this information to find the values of \(a\) and \(b\).

The curve with equation
\(6e^{2x} + ke^y + e^{2y} = c\),
where \(k\) and \(c\) are constants, passes through the point \(P\) with coordinates \((\ln 3, \ln 2)\).
The variables x and y satisfy the equation y3 = Ae2x, where A is a constant. The graph of ln y against x is a straight line.
(i) Find the gradient of this line.
(ii) Given that the line intersects the axis of ln y at the point where ln y = 0.5, find the value of A correct to 2 decimal places.
The variables x and y satisfy the equation xny = C, where n and C are constants. When x = 1.10, y = 5.20, and when x = 3.20, y = 1.05.
(i) Find the values of n and C.
(ii) Explain why the graph of ln y against ln x is a straight line.
Two variable quantities x and y are related by the equation \(y = Ax^n\), where A and n are constants. The diagram shows the result of plotting \(\\ln y\) against \(\\ln x\) for four pairs of values of x and y. Use the diagram to estimate the values of A and n.

The variables x and y satisfy the equation xny2 = C, where n and C are constants. The graph of ln y against ln x is a straight line passing through the points (0.31, 1.21) and (1.06, 0.91), as shown in the diagram.
Find the value of n and find the value of C correct to 2 decimal places.

\(The variables x and y satisfy the equation x = A(3^{-y}), where A is a constant.\)
(a) Explain why the graph of y against ln x is a straight line and state the exact value of the gradient of the line.
\(It is given that the line intersects the y-axis at the point where y = 1.3.\)
(b) Calculate the value of A, giving your answer correct to 2 decimal places.
The variables x and y satisfy the relation \(2^y = 3^{1-2x}\).
(a) By taking logarithms, show that the graph of y against x is a straight line. State the exact value of the gradient of this line. [3]
(b) Find the exact x-coordinate of the point of intersection of this line with the line y = 3x. Give your answer in the form \(\frac{\ln a}{\ln b}\), where a and b are integers. [2]
The variables x and y satisfy the equation y2 = Aekx, where A and k are constants. The graph of ln y against x is a straight line passing through the points (1.5, 1.2) and (5.24, 2.7) as shown in the diagram.
Find the values of A and k correct to 2 decimal places.

The variables x and y satisfy the equation yn = Ax3, where n and A are constants. It is given that y = 2.58 when x = 1.20, and y = 9.49 when x = 2.51.
Two variable quantities x and y are believed to satisfy an equation of the form \(y = C(a^x)\), where \(C\) and \(a\) are constants. An experiment produced four pairs of values of x and y. The table below gives the corresponding values of x and \(\\ln y\).
\(\begin{array}{c|cccc} x & 0.9 & 1.6 & 2.4 & 3.2 \\ \hline \\ln y & 1.7 & 1.9 & 2.3 & 2.6 \end{array}\)
By plotting \(\\ln y\) against x for these four pairs of values and drawing a suitable straight line, estimate the values of \(C\) and \(a\). Give your answers correct to 2 significant figures.
The variables x and y satisfy the relation \(3^y = 4^{2-x}\).
The variables x and y satisfy the equation y = Ae-kx2, where A and k are constants. The graph of ln y against x2 is a straight line passing through the points (0.64, 0.76) and (1.69, 0.32), as shown in the diagram. Find the values of A and k correct to 2 decimal places.

A particle is projected vertically upwards from horizontal ground with a speed of \(u \text{ m s}^{-1}\). The particle has height \(s\) m above the ground at times 3 seconds and 4 seconds after projection.
Find the value of \(u\) and the value of \(s\).
Two particles A and B move in the same vertical line. Particle A is projected vertically upwards from the ground with speed 20 m s-1. One second later particle B is dropped from rest from a height of 40 m.
A particle P is projected vertically upwards with speed 25 m s-1 from a point 3 m above horizontal ground.
A particle is projected vertically upwards with speed 30 m s-1 from a point on horizontal ground.
A small ball is projected vertically downwards with speed 5 m s-1 from a point A at a height of 7.2 m above horizontal ground. The ball hits the ground with speed V m s-1 and rebounds vertically upwards with speed \(\frac{1}{2} V\) m s-1. The highest point the ball reaches after rebounding is B. Find V and hence find the total time taken for the ball to reach the ground from A and rebound to B.
A particle P is projected vertically upwards with speed 24 m s-1 from a point 5 m above ground level. Find the time from projection until P reaches the ground.
A small rocket is fired vertically upwards, starting from rest at ground level, and moves with constant acceleration. The rocket reaches a height of 200 m after 10 s.
A particle P is projected vertically upwards from horizontal ground with speed 12 m s-1.
The time in seconds after P is projected is denoted by t. When t = 1, a second particle Q is projected vertically upwards with speed 10 m s-1 from a point which is 5 m above the ground. Particles P and Q move in different vertical lines.
A particle is projected vertically upwards from a point O with a speed of 12 m s-1. Two seconds later a second particle is projected vertically upwards from O with a speed of 20 m s-1. At time t s after the second particle is projected, the two particles collide.
(i) Find t.
(ii) Hence find the height above O at which the particles collide.
A ball A is released from rest at the top of a tall tower. One second later, another ball B is projected vertically upwards from ground level near the bottom of the tower with a speed of 20 m s-1. The two balls are at the same height 1.5 s after ball B is projected.
(i) Show that the height of the tower is 50 m.
(ii) Find the length of time for which ball B has been in motion when ball A reaches the ground. Hence find the total distance travelled by ball B up to the instant when ball A reaches the ground.
A particle P is projected vertically upwards from a point O. When the particle is at a height of 0.5 m, its speed is 6 m s-1. Find
A particle P is projected vertically upwards from horizontal ground with speed 15 m s-1.
(a) Find the speed of P when it is 10 m above the ground.
At the same instant that P is projected, a second particle Q is dropped from a height of 18 m above the ground in the same vertical line as P.
(b) Find the height above the ground at which the two particles collide.
A particle is released from rest at a point H m above horizontal ground and falls vertically. The particle passes through a point 35 m above the ground with a speed of (V - 10) \text{ m s}^{-1} and reaches the ground with a speed of V \text{ m s}^{-1}. Find
A particle P is projected vertically upwards with speed 11 m s-1 from a point on horizontal ground. At the same instant a particle Q is released from rest at a point h m above the ground. P and Q hit the ground at the same instant, when Q has speed V m s-1.
A particle P of mass 0.2 kg is released from rest at a point 7.2 m above the surface of the liquid in a container. P falls through the air and into the liquid. There is no air resistance and there is no instantaneous change of speed as P enters the liquid. When P is at a distance of 0.8 m below the surface of the liquid, P's speed is 6 m s-1. The only force on P due to the liquid is a constant resistance to motion of magnitude RN.
The depth of the liquid in the container is 3.6 m. P is taken from the container and attached to one end of a light inextensible string. P is placed at the bottom of the container and then pulled vertically upwards with constant acceleration. The resistance to motion of RN continues to act. The particle reaches the surface 4 s after leaving the bottom of the container.
A particle is projected vertically upwards with speed 9 m s-1 from a point 3.15 m above horizontal ground. The particle moves freely under gravity until it hits the ground. For the particle’s motion from the instant of projection until the particle hits the ground, find the total distance travelled and the total time taken.
A particle P is projected vertically upwards from a point on the ground with speed 17 m s-1. Another particle Q is projected vertically upwards from the same point with speed 7 m s-1. Particle Q is projected T seconds later than particle P.
The top of a cliff is 40 metres above the level of the sea. A man in a boat, close to the bottom of the cliff, is in difficulty and fires a distress signal vertically upwards from sea level. Find
The man fires another distress signal vertically upwards from sea level. This signal is above the level of the top of the cliff for \(\sqrt{17}\) s.
A particle P is projected vertically upwards, from a point O, with a velocity of 8 m s-1. The point A is the highest point reached by P. Find
An object is released from rest at a height of 125 m above horizontal ground and falls freely under gravity, hitting a moving target \(P\). The target \(P\) is moving on the ground in a straight line, with constant acceleration \(0.8 \, \text{m/s}^2\). At the instant the object is released \(P\) passes through a point \(O\) with speed \(5 \, \text{m/s}\). Find the distance from \(O\) to the point where \(P\) is hit by the object.
Two particles P and Q are projected vertically upwards from horizontal ground at the same instant. The speeds of projection of P and Q are 12 m s-1 and 7 m s-1 respectively and the heights of P and Q above the ground, t seconds after projection, are hP m and hQ m respectively. Each particle comes to rest on returning to the ground.
Particles P and Q are projected vertically upwards, from different points on horizontal ground, with velocities of 20 m s-1 and 25 m s-1 respectively. Q is projected 0.4 s later than P. Find
A particle P is projected vertically upwards with speed u m s-1 from a point on the ground. P reaches its greatest height after 3 s.
(a) Find u.
(b) Find the greatest height of P above the ground.
Two particles P and Q move vertically under gravity. The graphs show the upward velocity v m s-1 of the particles at time t s, for 0 ≤ t ≤ 4. P starts with velocity V m s-1 and Q starts from rest.
\(Given that Q reaches the horizontal ground when t = 4, find\)

A particle P is held at rest at a fixed point O and then released. P falls freely under gravity until it reaches the point A which is 1.25 m below O.
The particle continues to fall, but now its downward acceleration t seconds after passing through A is \((10 - 0.3t) \text{ m s}^{-2}\).
A particle is projected vertically upwards from a point O with initial speed 12.5 m s-1. At the same instant another particle is released from rest at a point 10 m vertically above O. Find the height above O at which the particles meet.
A particle \(P_1\) is projected vertically upwards, from horizontal ground, with a speed of 30 m s\(^{-1}\). At the same instant another particle \(P_2\) is projected vertically upwards from the top of a tower of height 25 m, with a speed of 10 m s\(^{-1}\). Find
A stone is released from rest and falls freely under gravity. Find
Two particles A and B are projected vertically upwards from horizontal ground at the same instant. The speeds of projection of A and B are 5 m s-1 and 8 m s-1 respectively. Find
A particle P is projected vertically upwards from horizontal ground. P reaches a maximum height of 45 m. After reaching the ground, P comes to rest without rebounding.
(a) Find the speed at which P was projected.
(b) Find the total time for which the speed of P is at least 10 m s-1.
A particle P is projected vertically upwards from horizontal ground with speed u m s-1. P reaches a maximum height of 20 m above the ground.
(a) Find the value of u.
(b) Find the total time for which P is at least 15 m above the ground.
A particle is projected vertically upwards with speed \(u \text{ m s}^{-1}\) from a point on horizontal ground. After 2 seconds, the height of the particle above the ground is 24 m.
(a) Show that \(u = 22\).
(b) The height of the particle above the ground is more than \(h \text{ m}\) for a period of 3.6 s. Find \(h\).
A particle P is projected vertically upwards with speed v m s-1 from a point on the ground. P reaches its greatest height after 3 s.
(a) Find v.
(b) Find the greatest height of P above the ground.
A particle is projected vertically upwards with speed 40 m s-1 alongside a building of height h m.
(a) Given that the particle is above the level of the top of the building for 4 s, find h.
(b) One second after the first particle is projected, a second particle is projected vertically upwards from the top of the building with speed 20 m s-1.
Denoting the time after projection of the first particle by t s, find the value of t for which the two particles are at the same height above the ground.
A particle P is projected vertically upwards with speed 5 m s-1 from a point A which is 2.8 m above horizontal ground.
(a) Find the greatest height above the ground reached by P.
(b) Find the length of time for which P is at a height of more than 3.6 m above the ground.
A light string AB is fixed at A and has a particle of weight 80 N attached at B. A horizontal force of magnitude P N is applied at B such that the string makes an angle θ° to the vertical (see diagram).
\((a) It is given that P = 32 and the system is in equilibrium. Find the tension in the string and the value of θ.\)
(b) It is given instead that the tension in the string is 120 N and that the particle attached at B still has weight 80 N. Find the value of P and the value of θ.

A block of mass 15 kg hangs in equilibrium below a horizontal ceiling attached to two strings as shown in the diagram. One of the strings is inclined at 45° to the horizontal and the tension in this string is 120 N. The other string is inclined at θ° to the horizontal and the tension in this string is T N. Find the values of T and θ.

Two light inextensible strings are attached to a particle of weight 25 N. The strings pass over two smooth fixed pulleys and have particles of weights \(A N\) and \(B N\) hanging vertically at their ends. The sloping parts of the strings make angles of \(30^\circ\) and \(40^\circ\) respectively with the vertical (see diagram). The system is in equilibrium. Find the values of \(A\) and \(B\).

A particle P of mass 1.6 kg is suspended in equilibrium by two light inextensible strings attached to points A and B. The strings make angles of 20° and 40° respectively with the horizontal (see diagram). Find the tensions in the two strings.

The diagram shows a small object P of mass 20 kg held in equilibrium by light ropes attached to fixed points A and B. The rope PA is inclined at an angle of 50° above the horizontal, the rope PB is inclined at an angle of 10° below the horizontal, and both ropes are in the same vertical plane. Find the tension in the rope PA and the tension in the rope PB.

Each of three light inextensible strings has a particle attached to one of its ends. The other ends of the strings are tied together at a point O. Two of the strings pass over fixed smooth pegs and the particles hang freely in equilibrium. The weights of the particles and the angles between the sloping parts of the strings and the vertical are as shown in the diagram. It is given that \(\sin \beta = 0.8\) and \(\cos \beta = 0.6\).
(i) Show that \(W \cos \alpha = 3.8\) and find the value of \(W \sin \alpha\).
(ii) Hence find the values of \(W\) and \(\alpha\).

A particle P of weight 1.4 N is attached to one end of a light inextensible string S1 of length 1.5 m, and to one end of another light inextensible string S2 of length 1.3 m. The other end of S1 is attached to a wall at the point 0.9 m vertically above a point O of the wall. The other end of S2 is attached to the wall at the point 0.5 m vertically below O. The particle is held in equilibrium, at the same horizontal level as O, by a horizontal force of magnitude 2.24 N acting away from the wall and perpendicular to it (see diagram). Find the tensions in the strings.

A and B are fixed points of a vertical wall with A vertically above B. A particle P of mass 0.7 kg is attached to A by a light inextensible string of length 3 m. P is also attached to B by a light inextensible string of length 2.5 m. P is maintained in equilibrium at a distance of 2.4 m from the wall by a horizontal force of magnitude 10 N acting on P (see diagram). Both strings are taut, and the 10 N force acts in the plane APB which is perpendicular to the wall. Find the tensions in the strings.

A particle P of mass 1.05 kg is attached to one end of each of two light inextensible strings, of lengths 2.6 m and 1.25 m. The other ends of the strings are attached to fixed points A and B, which are at the same horizontal level. P hangs in equilibrium at a point 1 m below the level of A and B (see diagram). Find the tensions in the strings.

A particle P of mass 0.3 kg is attached to one end of a light inextensible string. The other end of the string is attached to a fixed point X. A horizontal force of magnitude F N is applied to the particle, which is in equilibrium when the string is at an angle α to the vertical, where \(\tan \alpha = \frac{8}{15}\) (see diagram). Find the tension in the string and the value of F.

A particle P of mass 2.1 kg is attached to one end of each of two light inextensible strings. The other ends of the strings are attached to points A and B which are at the same horizontal level. P hangs in equilibrium at a point 40 cm below the level of A and B, and the strings PA and PB have lengths 50 cm and 104 cm respectively (see diagram). Show that the tension in the string PA is 20 N, and find the tension in the string PB.

A particle of mass 2.4 kg is held in equilibrium by two light inextensible strings, one of which is attached to point A and the other attached to point B. The strings make angles of 35° and 40° with the horizontal (see diagram).
Find the tension in each of the two strings.

A particle P of weight 21 N is attached to one end of each of two light inextensible strings, S1 and S2, of lengths 0.52 m and 0.25 m respectively. The other end of S1 is attached to a fixed point A, and the other end of S2 is attached to a fixed point B at the same horizontal level as A. The particle P hangs in equilibrium at a point 0.2 m below the level of AB with both strings taut (see diagram). Find the tension in S1 and the tension in S2.

The diagram shows three particles A, B, and C hanging freely in equilibrium, each being attached to the end of a string. The other ends of the three strings are tied together and are at the point X. The strings carrying A and C pass over smooth fixed horizontal pegs P1 and P2 respectively. The weights of A, B, and C are 5.5 N, 7.3 N, and W N respectively, and the angle P1XP2 is a right angle. Find the angle AP1X and the value of W.

Each of three light strings has a particle attached to one of its ends. The other ends of the strings are tied together at a point A. The strings are in equilibrium with two of them passing over fixed smooth horizontal pegs, and with the particles hanging freely. The weights of the particles, and the angles between the sloping parts of the strings and the vertical, are as shown in the diagram. Find the values of \(W_1\) and \(W_2\).

The diagram shows a block D of mass 100 kg supported by two sloping struts AD and BD, each attached at an angle of 45° to fixed points A and B respectively on a horizontal floor. The block is also held in place by a vertical rope CD attached to a fixed point C on a horizontal ceiling. The tension in the rope CD is 500 N and the block rests in equilibrium.
(a) Find the magnitude of the force in each of the struts AD and BD.
A horizontal force of magnitude F N is applied to the block in a direction parallel to AB.
(b) Find the value of F for which the magnitude of the force in the strut AD is zero.

A particle of mass 0.3 kg is held at rest by two light inextensible strings. One string is attached at an angle of 60° to a horizontal ceiling. The other string is attached at an angle \(\alpha\)° to a vertical wall (see diagram). The tension in the string attached to the ceiling is 4 N.
Find the tension in the string which is attached to the wall and find the value of \(\alpha\).

A particle of mass 8 kg is suspended in equilibrium by two light inextensible strings which make angles of 60° and 45° above the horizontal.
(a) Draw a diagram showing the forces acting on the particle.
(b) Find the tensions in the strings.

A block of mass 5 kg is held in equilibrium near a vertical wall by two light strings and a horizontal force of magnitude \(X\) N, as shown in the diagram. The two strings are both inclined at 60° to the vertical.
(a) Given that \(X = 100\), find the tension in the lower string.
(b) Find the least value of \(X\) for which the block remains in equilibrium in the position shown.

A particle Q of mass 0.2 kg is held in equilibrium by two light inextensible strings PQ and QR. P is a fixed point on a vertical wall and R is a fixed point on a horizontal floor. The angles which strings PQ and QR make with the horizontal are 60° and 30° respectively (see diagram).
Find the tensions in the two strings.

A block of mass m kg is held in equilibrium below a horizontal ceiling by two strings, as shown in the diagram. One of the strings is inclined at 45° to the horizontal and the tension in this string is T N. The other string is inclined at 60° to the horizontal and the tension in this string is 20 N.
Find T and m.

A particle P of mass 0.3 kg is held in equilibrium above a horizontal plane by a force of magnitude 5 N, acting vertically upwards. The particle is attached to two strings PA and PB of lengths 0.9 m and 1.2 m respectively. The points A and B lie on the plane and angle APB = 90° (see diagram). Find the tension in each of the strings.

The diagram shows a smooth ring R, of mass m kg, threaded on a light inextensible string. A horizontal force of magnitude 2 N acts on R. The ends of the string are attached to fixed points A and B on a vertical wall. The part AR of the string makes an angle of 30° with the vertical, the part BR makes an angle of 40° with the vertical and the string is taut. The ring is in equilibrium.
Find the tension in the string and find the value of m.

A smooth ring R of mass 0.2 kg is threaded on a light string ARB. The ends of the string are attached to fixed points A and B with A vertically above B. The string is taut and angle ABR = 90°. The angle between the part AR of the string and the vertical is 60°. The ring is held in equilibrium by a force of magnitude X N, acting on the ring in a direction perpendicular to AR (see diagram).
Calculate the tension in the string and the value of X.

A small smooth ring R of mass 0.2 kg is threaded onto a light inextensible string ARB. The two ends of the string are attached to points A and B on a sloping roof inclined at 45° to the horizontal. A horizontal force of magnitude P N, acting in the plane ARB, is applied to the ring. The section BR of the string is perpendicular to the roof and the section AR of the string is inclined at 70° to the horizontal (see diagram). The system is in equilibrium. Find the tension in the string and the value of P.

A smooth ring R of mass m kg is threaded on a light inextensible string ARB. The ends of the string are attached to fixed points A and B with A vertically above B. The string is taut and angle ARB = 90°. The angle between the part AR of the string and the vertical is 45°. The ring is held in equilibrium in this position by a force of magnitude 2.5 N, acting on the ring in the direction BR (see diagram). Calculate the tension in the string and the mass of the ring.

A smooth ring R of mass 0.16 kg is threaded on a light inextensible string. The ends of the string are attached to fixed points A and B. A horizontal force of magnitude 11.2 N acts on R, in the same vertical plane as A and B. The ring is in equilibrium. The string is taut with angle ARB = 90°, and the part AR of the string makes an angle of θ° with the horizontal (see diagram). The tension in the string is T N.

A small smooth ring R of weight 8.5 N is threaded on a light inextensible string. The ends of the string are attached to fixed points A and B, with A vertically above B. A horizontal force of magnitude 15.5 N acts on R so that the ring is in equilibrium with angle ARB = 90°. The part AR of the string makes an angle \(\theta\) with the horizontal and the part BR makes an angle \(\theta\) with the vertical (see diagram). The tension in the string is \(T\) N. Show that \(T \sin \theta = 12\) and \(T \cos \theta = 3.5\) and hence find \(\theta\).

A light inextensible string has its ends attached to two fixed points A and B, with A vertically above B. A smooth ring R, of mass 0.8 kg, is threaded on the string and is pulled by a horizontal force of magnitude X newtons. The sections AR and BR of the string make angles of 50° and 20° respectively with the horizontal, as shown in the diagram. The ring rests in equilibrium with the string taut. Find

Coplanar forces of magnitudes 30 N, 15 N, 33 N, and P N act at a point in the directions shown in the diagram, where \(\tan \alpha = \frac{4}{3}\). The system is in equilibrium.
(a) Show that \(\left( \frac{14.4}{30 - P} \right)^2 + \left( \frac{28.8}{P + 30} \right)^2 = 1\).
(b) Verify that \(P = 6\) satisfies this equation and find the value of \(\theta\).

Given that \(\tan \alpha = \frac{12}{5}\) and \(\tan \theta = \frac{4}{3}\), show that the coplanar forces shown in the diagram are in equilibrium.

Four coplanar forces of magnitudes \(F\) N, 5 N, 25 N, and 15 N are acting at a point \(P\) in the directions shown in the diagram. Given that the forces are in equilibrium, find the values of \(F\) and \(\alpha\).

Coplanar forces of magnitudes 8 N, 12 N, and 18 N act at a point in the directions shown in the diagram. Find the magnitude and direction of the single additional force acting at the same point which will produce equilibrium.

The three coplanar forces shown in the diagram have magnitudes 3 N, 2 N, and \(P\) N. Given that the three forces are in equilibrium, find the values of \(\theta\) and \(P\).
The diagram shows forces of 3 N at an angle of 60° to the horizontal, 2 N at an angle of \(\theta\) to the horizontal, and \(P\) N vertically downward.

The diagram shows three coplanar forces acting at the point O. The magnitudes of the forces are 6 N, 8 N, and 10 N. The angle between the 6 N force and the 8 N force is 90°. The forces are in equilibrium. Find the other angles between the forces.

The three coplanar forces shown in the diagram are in equilibrium. Find the values of \(\theta\) and \(P\).
The diagram shows forces: \(2P \text{ N}\) at an angle \(\theta\) above the horizontal, \(P \text{ N}\) at an angle \(60^\circ\) below the horizontal, and \(10 \text{ N}\) horizontally to the right.

The four coplanar forces shown in the diagram are in equilibrium. Find the values of P and θ.
Forces:
- 3P N at 55° above the horizontal
- P N at θ° above the horizontal
- P N at θ° below the horizontal
- 20 N vertically downward

Three coplanar forces of magnitudes \(F\) N, \(2F\) N and 15 N act at a point \(P\), as shown in the diagram. Given that the forces are in equilibrium, find the values of \(F\) and \(\alpha\).

The coplanar forces shown in the diagram are in equilibrium. Find the values of \(P\) and \(\theta\).

Coplanar forces of magnitudes 50 N, 48 N, 14 N and P N act at a point in the directions shown in the diagram. The system is in equilibrium. Given that \(\tan \alpha = \frac{7}{24}\), find the values of P and \(\theta\).

Coplanar forces of magnitudes \(P \text{ N}\), \(Q \text{ N}\), 16 N, and 22 N act at a point in the directions shown in the diagram. The forces are in equilibrium.
Find the values of \(P\) and \(Q\).

Four horizontal forces act at a point O and are in equilibrium. The magnitudes of the forces are F N, G N, 15 N and F N, and the forces act in directions as shown in the diagram.
\((i) Show that F = 41.0, correct to 3 significant figures.\)
(ii) Find the value of G.

Three horizontal forces of magnitudes F N, 63 N and 25 N act at O, the origin of the x-axis and y-axis. The forces are in equilibrium. The force of magnitude F N makes an angle θ anticlockwise with the positive x-axis. The force of magnitude 63 N acts along the negative y-axis. The force of magnitude 25 N acts at tan-1 0.75 clockwise from the negative x-axis (see diagram). Find the value of F and the value of tan θ.

Three coplanar forces of magnitudes \(F\) N, 12 N, and 15 N are in equilibrium acting at a point \(P\) in the directions shown in the diagram. Find \(\alpha\) and \(F\).

A particle P is in equilibrium on a smooth horizontal table under the action of four horizontal forces of magnitudes 6 N, 5 N, F N and F N acting in the directions shown. Find the values of \(\alpha\) and \(F\).

Three horizontal forces of magnitudes \(F\) N, 13 N, and 10 N act at a fixed point \(O\) and are in equilibrium. The directions of the forces are as shown in the diagram. Find, in either order, the value of \(\theta\) and the value of \(F\).

A particle P is in equilibrium on a smooth horizontal table under the action of horizontal forces of magnitudes F N, F N, G N and 12 N acting in the directions shown. Find the values of F and G.

Three coplanar forces of magnitudes 20 N, 100 N and \(F\) N act at a point. The directions of these forces are shown in the diagram.
Given that the three forces are in equilibrium, find \(F\) and \(\alpha\).

Coplanar forces of magnitudes 24 N, P N, 20 N, and 36 N act at a point in the directions shown in the diagram. The system is in equilibrium. Given that \(\sin \alpha = \frac{3}{5}\), find the values of \(P\) and \(\theta\).

Four coplanar forces act at a point. The magnitudes of the forces are 20 N, 30 N, 40 N, and \(F\) N. The directions of the forces are as shown in the diagram, where \(\sin \alpha^\circ = 0.28\) and \(\sin \beta^\circ = 0.6\).
Given that the forces are in equilibrium, find \(F\) and \(\theta\).

Coplanar forces of magnitudes 8 N, 12 N, 10 N and P N act at a point in the directions shown in the diagram. The system is in equilibrium.
Find P and \(\theta\).

Four coplanar forces of magnitudes 40 N, 20 N, 50 N and F N act at a point in the directions shown in the diagram. The four forces are in equilibrium.
Find F and \(\alpha\).

Coplanar forces of magnitudes 20 N, \(P\) N, \(3P\) N, and \(4P\) N act at a point in the directions shown in the diagram. The system is in equilibrium.
Find \(P\) and \(\theta\).

Coplanar forces of magnitudes 40 N, 32 N, P N, and 17 N act at a point in the directions shown in the diagram. The system is in equilibrium. Find the values of P and \(\theta\).

Four coplanar forces act at a point. The magnitudes of the forces are \(F \text{ N}\), \(10 \text{ N}\), \(50 \text{ N}\) and \(40 \text{ N}\). The directions of the forces are as shown in the diagram.
(a) Given that the forces are in equilibrium, find the value of \(F\) and the value of \(\theta\).
(b) Given instead that \(F = 10\sqrt{2}\) and \(\theta = 45\), find the direction and the exact magnitude of the resultant force.

Coplanar forces, of magnitudes 15 N, 25 N and 30 N, act at a point B on the line ABC in the directions shown in the diagram.

Three coplanar forces of magnitudes \(F \text{ N}\), \(20 \text{ N}\) and \(30 \text{ N}\) act at a point \(P\), as shown in the diagram. The resultant of the three forces acts in a direction perpendicular to the force of magnitude \(F \text{ N}\). Find the value of \(F\).

Coplanar forces, of magnitudes \(F \text{ N}, 3F \text{ N}, G \text{ N}\) and \(50 \text{ N}\), act at a point \(P\), as shown in the diagram.
(i) Given that \(F = 0, G = 75\) and \(\alpha = 60^\circ\), find the magnitude and direction of the resultant force. [4]
(ii) Given instead that \(G = 0\) and the forces are in equilibrium, find the values of \(F\) and \(\alpha\). [5]

A boat is being pulled along a river by two people. One of the people walks along a path on one side of the river and the other person walks along a path on the opposite side of the river. The first person exerts a horizontal force of 60 N at an angle of 25° to the direction of the river. The second person exerts a horizontal force of 50 N at an angle of 15° to the direction of the river (see diagram).
(i) Find the total force exerted by the two people in the direction of the river.
(ii) Find the magnitude and direction of the resultant force exerted by the two people.

Coplanar forces of magnitudes 7 N, 6 N, and 8 N act at a point in the directions shown in the diagram. Given that \(\sin \alpha = \frac{3}{5}\), find the magnitude and direction of the resultant of the three forces.

Coplanar forces of magnitudes 50 N, 40 N, and 30 N act at a point O in the directions shown in the diagram, where \(\tan \alpha = \frac{7}{24}\).
(i) Find the magnitude and direction of the resultant of the three forces.
(ii) The force of magnitude 50 N is replaced by a force of magnitude \(P\) N acting in the same direction. The resultant of the three forces now acts in the positive \(x\)-direction. Find the value of \(P\).

Three horizontal forces of magnitudes 150 N, 100 N, and \(P\) N have directions as shown in the diagram. The resultant of the three forces is shown by the broken line in the diagram. This resultant has magnitude 120 N and makes an angle 75° with the 150 N force. Find the values of \(P\) and \(\theta\).

Four coplanar forces of magnitudes 4 N, 8 N, 12 N, and 16 N act at a point. The directions in which the forces act are shown in Fig. 1.
(i) Find the magnitude and direction of the resultant of the four forces.
The forces of magnitudes 4 N and 16 N exchange their directions and the forces of magnitudes 8 N and 12 N also exchange their directions (see Fig. 2).
(ii) State the magnitude and direction of the resultant of the four forces in Fig. 2.

Four coplanar forces act at a point. The magnitudes of the forces are 5 N, 4 N, 3 N, and 7 N, and the directions in which the forces act are shown in the diagram. Find the magnitude and direction of the resultant of the four forces.

Three coplanar forces act at a point. The magnitudes of the forces are 20 N, 25 N, and 30 N, and the directions in which the forces act are as shown in the diagram, where \(\sin \alpha = 0.28\) and \(\cos \alpha = 0.96\), and \(\sin \beta = 0.6\) and \(\cos \beta = 0.8\).
(i) Show that the resultant of the three forces has a zero component in the \(x\)-direction.
(ii) Find the magnitude and direction of the resultant of the three forces.
(iii) The force of magnitude 20 N is replaced by another force. The effect is that the resultant force is unchanged in magnitude but reversed in direction. State the magnitude and direction of the replacement force.

Coplanar forces of magnitudes 60 N, 20 N, 16 N, and 14 N act at a point in the directions shown in the diagram. Find the magnitude and direction of the resultant force.

Three coplanar forces of magnitudes 68 N, 75 N, and 100 N act at an origin O, as shown in the diagram. The components of the three forces in the positive x-direction are -60 N, 0 N, and 96 N, respectively. Find

Three coplanar forces of magnitudes 8 N, 12 N, and 2 N act at a point. The resultant of the forces has magnitude \(R\) N. The directions of the three forces and the resultant are shown in the diagram. Find \(R\) and \(\theta\).

Forces of magnitudes 13 N and 14 N act at a point O in the directions shown in the diagram. The resultant of these forces has magnitude 15 N. Find

Coplanar forces of magnitudes 58 N, 31 N, and 26 N act at a point in the directions shown in the diagram. Given that \(\tan \alpha = \frac{5}{12}\), find the magnitude and direction of the resultant of the three forces.

Three coplanar forces of magnitudes 15 N, 12 N, and 12 N act at a point A in directions as shown in the diagram.
(i) Find the component of the resultant of the three forces
(ii) Hence find the magnitude and direction of the resultant of the three forces.

The three coplanar forces shown in the diagram act at a point P and are in equilibrium.

A force of magnitude \(F\) N acts in a horizontal plane and has components 27.5 N and \(-24\) N in the \(x\)-direction and the \(y\)-direction respectively. The force acts at an angle of \(\alpha^\circ\) below the \(x\)-axis.
A second force, of magnitude 87.6 N, acts in the same plane at 90° anticlockwise from the force of magnitude \(F\) N. The resultant of the two forces has magnitude \(R\) N and makes an angle of \(\theta^\circ\) with the positive \(x\)-axis.
Three coplanar forces act at a point. The magnitudes of the forces are 5.5 N, 6.8 N, and 7.3 N, and the directions in which the forces act are as shown in the diagram. Given that the resultant of the three forces is in the same direction as the force of magnitude 6.8 N, find the value of \(\alpha\) and the magnitude of the resultant.

Coplanar forces of magnitudes 250 N, 160 N, and 370 N act at a point O in the directions shown in the diagram, where the angle \(\alpha\) is such that \(\sin \alpha = 0.28\) and \(\cos \alpha = 0.96\). Calculate the magnitude of the resultant of the three forces. Calculate also the angle that the resultant makes with the x-direction.

Two forces have magnitudes \(P\) N and \(Q\) N. The resultant of the two forces has magnitude 12 N and acts in a direction 40° clockwise from the force of magnitude \(P\) N and 80° anticlockwise from the force of magnitude \(Q\) N (see diagram). Find the value of \(Q\).

Four coplanar forces act at a point. The magnitudes of the forces are 10N, \(F\) N, \(G\) N, and \(2F\) N. The directions of the forces are as shown in the diagram.
(a) Given that the forces are in equilibrium, find the values of \(F\) and \(G\).
(b) Given instead that \(F = 3\), find the value of \(G\) for which the resultant of the forces is perpendicular to the 10N force.

Forces of magnitudes 7 N, 10 N, and 15 N act on a particle in the directions shown in the diagram.
(i) Find the component of the resultant of the three forces
(ii) Hence find the direction of the resultant.

Forces of magnitudes 10 N and 8 N act in directions as shown in the diagram.
(i) Write down in terms of \(\theta\) the component of the resultant of the two forces
(ii) The resultant of the two forces has magnitude 8 N. Show that \(\cos \theta = \frac{5}{8}\).

A particle is in equilibrium on a smooth horizontal table when acted on by the three horizontal forces shown in the diagram.
(i) Find the values of \(F\) and \(\theta\).
(ii) The force of magnitude 7 N is now removed. State the magnitude and direction of the resultant of the remaining two forces.

Two forces, each of magnitude 8 N, act at a point in the directions OA and OB. The angle between the forces is \(\theta^\circ\) (see diagram). The resultant of the two forces has component 9 N in the direction OA. Find

Forces of magnitudes PN and 25N act at right angles to each other. The resultant of the two forces has magnitude RN and makes an angle of θ° with the x-axis (see diagram). The force of magnitude PN has components -2.8N in the x-direction and 9.6N in the y-direction respectively, and makes an angle of α° with the negative x-axis.

Three coplanar forces act at a point. The magnitudes of the forces are 5 N, 6 N, and 7 N, and the directions in which the forces act are shown in the diagram. Find the magnitude and direction of the resultant of the three forces.

Coplanar forces of magnitudes 250 N, 100 N, and 300 N act at a point in the directions shown in the diagram. The resultant of the three forces has magnitude \(R\) N, and acts at an angle \(\alpha^\circ\) anticlockwise from the force of magnitude 100 N. Find \(R\) and \(\alpha\).

Three coplanar forces of magnitudes 10 N, 10 N, and 6 N act at a point P in the directions shown in the diagram. PQ is the bisector of the angle between the two forces of magnitude 10 N.
(i) Find the component of the resultant of the three forces
(ii) Find the magnitude of the resultant of the three forces.

Coplanar forces of magnitudes 34 N, 30 N, and 26 N act at a point in the directions shown in the diagram. Given that \(\sin \alpha = \frac{5}{13}\) and \(\sin \theta = \frac{8}{17}\), find the magnitude and direction of the resultant of the three forces.

Three coplanar forces of magnitudes 10 N, 25 N, and 20 N act at a point O in the directions shown in the diagram.
(a) Given that the component of the resultant force in the x-direction is zero, find \(\alpha\), and hence find the magnitude of the resultant force.
(b) Given instead that \(\alpha = 45\), find the magnitude and direction of the resultant of the three forces.

Three coplanar forces of magnitudes 100 N, 50 N, and 50 N act at a point A, as shown in the diagram. The value of \(\cos \alpha\) is \(\frac{4}{5}\).
Find the magnitude of the resultant of the three forces and state its direction.

Coplanar forces, of magnitudes F N, 3 N, 6 N, and 4 N, act at a point P, as shown in the diagram.
(a) Given that \(\alpha = 60\), and that the resultant of the four forces is in the direction of the 3 N force, find \(F\).
(b) Given instead that the four forces are in equilibrium, find the values of \(F\) and \(\alpha\).

Three coplanar forces of magnitudes 50 N, 60 N, and 100 N act at a point. The resultant of the forces has magnitude \(R N\). The directions of these forces are shown in the diagram. Find the values of \(R\) and \(\alpha\).

Coplanar forces of magnitudes 12 N, 24 N, and 30 N act at a point in the directions shown in the diagram.
(i) Find the components of the resultant of the three forces in the x-direction and in the y-direction.
Component in x-direction...
Component in y-direction...
(ii) Hence find the direction of the resultant.

The diagram shows a trapezium ABCD in which the coordinates of A, B, and C are (4, 0), (0, 2), and (h, 3h) respectively. The lines BC and AD are parallel, angle ∠ABC = 90° and CD is parallel to the x-axis.
(i) Find, by calculation, the value of h.
(ii) Hence find the coordinates of D.

The diagram shows a rhombus ABCD in which the point A is (-1, 2), the point C is (5, 4) and the point B lies on the y-axis. Find

In the diagram, A is the point (-1, 3) and B is the point (3, 1). The line L1 passes through A and is parallel to OB. The line L2 passes through B and is perpendicular to AB. The lines L1 and L2 meet at C. Find the coordinates of C.

The diagram shows a triangle ABC in which A is (3, -2) and B is (15, 22). The gradients of AB, AC and BC are 2m, -2m and m respectively, where m is a positive constant.
The perpendicular bisector of AB meets BC at D.

The diagram shows a rectangle ABCD. The point A is (0, -2) and C is (12, 14). The diagonal BD is parallel to the x-axis.

The diagram shows points A, B, and C lying on the line \(2y = x + 4\). The point A lies on the y-axis and \(AB = BC\). The line from D \((10, -3)\) to B is perpendicular to AC. Calculate the coordinates of B and C.

In the diagram, the points A and C lie on the x- and y-axes respectively and the equation of AC is \(2y + x = 16\). The point B has coordinates \((2, 2)\). The perpendicular from B to AC meets AC at the point X.
(i) Find the coordinates of X.
The point D is such that the quadrilateral ABCD has AC as a line of symmetry.
(ii) Find the coordinates of D.
(iii) Find, correct to 1 decimal place, the perimeter of ABCD.

The three points A (3, 8), B (6, 2) and C (10, 2) are shown in the diagram. The point D is such that the line DA is perpendicular to AB and DC is parallel to AB. Calculate the coordinates of D.

The diagram shows a rectangle ABCD. The point A is (2, 14), B is (-2, 8) and C lies on the x-axis. Find

The three points A (1, 3), B (13, 11) and C (6, 15) are shown in the diagram. The perpendicular from C to AB meets AB at the point D. Find
(i) the equation of CD,
(ii) the coordinates of D.

The diagram shows a rhombus ABCD. The points B and D have coordinates (2, 10) and (6, 2) respectively, and A lies on the x-axis. The mid-point of BD is M. Find, by calculation, the coordinates of each of M, A, and C.

The diagram shows a kite OABC in which AC is the line of symmetry. The coordinates of A and C are (0, 4) and (8, 0) respectively and O is the origin.
(i) Find the equations of AC and OB.
(ii) Find, by calculation, the coordinates of B.

The diagram shows a trapezium ABCD in which BC is parallel to AD and angle BCD = 90°. The coordinates of A, B and D are (2, 0), (4, 6) and (12, 5) respectively.
(i) Find the equations of BC and CD.
(ii) Calculate the coordinates of C.

The diagram shows a rectangle ABCD, where A is (3, 2) and B is (1, 6).

The diagram shows a trapezium ABCD in which AB is parallel to DC and angle BAD is 90°. The coordinates of A, B, and C are (2, 6), (5, -3), and (8, 3) respectively.
The point E is such that ABCE is a parallelogram.

The diagram shows a parallelogram ABCD, in which the equation of AB is y = 3x and the equation of AD is 4y = x + 11. The diagonals AC and BD meet at the point E \\(\left( 6 \frac{1}{2}, 8 \frac{1}{2} \right) \\). Find, by calculation, the coordinates of A, B, C, and D.

The diagram shows a rectangle ABCD in which point A is (0, 8) and point B is (4, 0). The diagonal AC has equation \(8y + x = 64\). Find, by calculation, the coordinates of C and D.

The diagram shows three points \(A (2, 14)\), \(B (14, 6)\) and \(C (7, 2)\). The point \(X\) lies on \(AB\), and \(CX\) is perpendicular to \(AB\). Find, by calculation,

The diagram shows a triangle ABC in which A has coordinates (1, 3), B has coordinates (5, 11) and angle ABC is 90°. The point X (4, 4) lies on AC. Find

The diagram shows a quadrilateral ABCD in which the point A is (-1, -1), the point B is (3, 6) and the point C is (9, 4). The diagonals AC and BD intersect at M. Angle BMA = 90^0 and BM = MD. Calculate

The diagram shows part of the curve \(y = \frac{2}{1-x}\) and the line \(y = 3x + 4\). The curve and the line meet at points \(A\) and \(B\).
(i) Find the coordinates of \(A\) and \(B\).
(ii) Find the length of the line \(AB\) and the coordinates of the mid-point of \(AB\).

The circle with equation \((x-3)^2 + (y-5)^2 = 40\) intersects the y-axis at points \(A\) and \(B\).
(a) Find the y-coordinates of \(A\) and \(B\), expressing your answers in terms of surds.
(b) Find the equation of the circle which has \(AB\) as its diameter.
The diagram shows the circle with equation \(x^2 + y^2 = 20\). Tangents touching the circle at points \(B\) and \(C\) pass through the point \(A (0, 10)\).
(a) By letting the equation of a tangent be \(y = mx + 10\), find the two possible values of \(m\).
(b) Find the coordinates of \(B\) and \(C\).
The point \(D\) is where the circle crosses the positive \(x\)-axis.
(c) Find angle \(BDC\) in degrees.

The diagram shows the circle with equation \((x-2)^2 + (y+4)^2 = 20\) and with centre \(C\). The point \(B\) has coordinates \((0, 2)\) and the line segment \(BC\) intersects the circle at \(P\).
(a) Find the equation of \(BC\).
(b) Hence find the coordinates of \(P\), giving your answer in exact form.

The equation of a circle is \(x^2 + y^2 + ax + by - 12 = 0\). The points \(A(1, 1)\) and \(B(2, -6)\) lie on the circle.
(a) Find the values of \(a\) and \(b\) and hence find the coordinates of the centre of the circle.
(b) Find the equation of the tangent to the circle at the point \(A\), giving your answer in the form \(px + qy = k\), where \(p, q\) and \(k\) are integers.
The equation of a circle is \(x^2 + y^2 + 6x - 2y - 26 = 0\).
(a) Find the coordinates of the centre of the circle and the radius. Hence find the coordinates of the lowest point on the circle.
(b) Find the set of values of the constant \(k\) for which the line with equation \(y = kx - 5\) intersects the circle at two distinct points.
The circle with equation \((x+1)^2 + (y-2)^2 = 85\) and the straight line with equation \(y = 3x - 20\) are shown in the diagram. The line intersects the circle at \(A\) and \(B\), and the centre of the circle is at \(C\).
(a) Find, by calculation, the coordinates of \(A\) and \(B\).
(b) Find an equation of the circle which has its centre at \(C\) and for which the line with equation \(y = 3x - 20\) is a tangent to the circle.

The line \(y = 2x + 5\) intersects the circle with equation \(x^2 + y^2 = 20\) at \(A\) and \(B\).
(a) Find the coordinates of \(A\) and \(B\) in surd form and hence find the exact length of the chord \(AB\).
A straight line through the point \((10, 0)\) with gradient \(m\) is a tangent to the circle.
(b) Find the two possible values of \(m\).
The diagram shows the circle with equation \(x^2 + y^2 - 6x + 4y - 27 = 0\) and the tangent to the circle at the point \(P (5, 4)\).
(a) The tangent to the circle at \(P\) meets the \(x\)-axis at \(A\) and the \(y\)-axis at \(B\). Find the area of triangle \(OAB\), where \(O\) is the origin.
(b) Points \(Q\) and \(R\) also lie on the circle, such that \(PQR\) is an equilateral triangle. Find the exact area of triangle \(PQR\).

A circle with centre (5, 2) passes through the point (7, 5).
(a) Find an equation of the circle.
The line \(y = 5x - 10\) intersects the circle at A and B.
(b) Find the exact length of the chord AB.
Points \(A(-2, 3)\), \(B(3, 0)\) and \(C(6, 5)\) lie on the circumference of a circle with centre \(D\).
(a) Show that angle \(ABC = 90^\circ\).
(b) Hence state the coordinates of \(D\).
(c) Find an equation of the circle.
The point \(E\) lies on the circumference of the circle such that \(BE\) is a diameter.
(d) Find an equation of the tangent to the circle at \(E\).
The point A has coordinates (1, 5) and the line l has gradient \(-\frac{2}{3}\) and passes through A. A circle has centre (5, 11) and radius \(\sqrt{52}\).
(a) Show that l is the tangent to the circle at A.
(b) Find the equation of the other circle of radius \(\sqrt{52}\) for which l is also the tangent at A.
The coordinates of points A, B and C are (6, 4), (p, 7) and (14, 18) respectively, where p is a constant. The line AB is perpendicular to the line BC.
(a) Given that p < 10, find the value of p.
A circle passes through the points A, B and C.
(b) Find the equation of the circle.
(c) Find the equation of the tangent to the circle at C, giving the answer in the form dx + ey + f = 0, where d, e and f are integers.
The equation of a circle is \(x^2 + y^2 - 4x + 6y - 77 = 0\).
(a) Find the \(x\)-coordinates of the points \(A\) and \(B\) where the circle intersects the \(x\)-axis.
(b) Find the point of intersection of the tangents to the circle at \(A\) and \(B\).
The points \(A(7, 1)\), \(B(7, 9)\), and \(C(1, 9)\) are on the circumference of a circle.
(a) Find an equation of the circle.
(b) Find an equation of the tangent to the circle at \(B\).
A circle with centre C has equation \((x - 8)^2 + (y - 4)^2 = 100\).
(a) Show that the point \(T(-6, 6)\) is outside the circle.
Two tangents from \(T\) to the circle are drawn.
(b) Show that the angle between one of the tangents and \(CT\) is exactly \(45^\circ\).
The two tangents touch the circle at \(A\) and \(B\).
(c) Find the equation of the line \(AB\), giving your answer in the form \(y = mx + c\).
(d) Find the \(x\)-coordinates of \(A\) and \(B\).
A circle has centre at the point \(B(5, 1)\). The point \(A(-1, -2)\) lies on the circle.
(a) Find the equation of the circle.
Point \(C\) is such that \(AC\) is a diameter of the circle. Point \(D\) has coordinates \((5, 16)\).
(b) Show that \(DC\) is a tangent to the circle.
The other tangent from \(D\) to the circle touches the circle at \(E\).
(c) Find the coordinates of \(E\).
The diagram shows a circle with centre A passing through the point B. A second circle has centre B and passes through A. The tangent at B to the first circle intersects the second circle at C and D.
The coordinates of A are (-1, 4) and the coordinates of B are (3, 2).

(a) The coordinates of two points A and B are \((-7, 3)\) and \((5, 11)\) respectively. Show that the equation of the perpendicular bisector of \(AB\) is \(3x + 2y = 11\).
(b) A circle passes through \(A\) and \(B\) and its centre lies on the line \(12x - 5y = 70\). Find an equation of the circle.
The equation of a circle with centre C is \(x^2 + y^2 - 8x + 4y - 5 = 0\).
(a) Find the radius of the circle and the coordinates of C.
The point P (1, 2) lies on the circle.
(b) Show that the equation of the tangent to the circle at P is \(4y = 3x + 5\).
The point Q also lies on the circle and PQ is parallel to the x-axis.
(c) Write down the coordinates of Q.
The tangents to the circle at P and Q meet at T.
(d) Find the coordinates of T.
The coordinates of the points A and B are (-1, -2) and (7, 4) respectively.
(a) Find the equation of the circle, C, for which AB is a diameter.
(b) Find the equation of the tangent, T, to circle C at the point B.
(c) Find the equation of the circle which is the reflection of circle C in the line T.
A diameter of a circle \(C_1\) has end-points at \((-3, -5)\) and \((7, 3)\).
(a) Find an equation of the circle \(C_1\).
The circle \(C_1\) is translated by \(\begin{pmatrix} 8 \\ 4 \end{pmatrix}\) to give circle \(C_2\), as shown in the diagram.
(b) Find an equation of the circle \(C_2\).
The two circles intersect at points \(R\) and \(S\).
(c) Show that the equation of the line \(RS\) is \(y = -2x + 13\).
(d) Hence show that the \(x\)-coordinates of \(R\) and \(S\) satisfy the equation \(5x^2 - 60x + 159 = 0\).

The diagram shows the circle with equation \((x-4)^2 + (y+1)^2 = 40\). Parallel tangents, each with gradient 1, touch the circle at points \(A\) and \(B\).
(a) Find the equation of the line \(AB\), giving the answer in the form \(y = mx + c\).
(b) Find the coordinates of \(A\), giving each coordinate in surd form.
(c) Find the equation of the tangent at \(A\), giving the answer in the form \(y = mx + c\), where \(c\) is in surd form.

A circle has equation \((x - 1)^2 + (y + 4)^2 = 40\). A line with equation \(y = x - 9\) intersects the circle at points \(A\) and \(B\).
(a) Find the coordinates of the two points of intersection.
(b) Find an equation of the circle with diameter \(AB\).
The equation of a circle is \((x-a)^2 + (y-3)^2 = 20\). The line \(y = \frac{1}{2}x + 6\) is a tangent to the circle at the point \(P\).
(a) Show that one possible value of \(a\) is 4 and find the other possible value.
(b) For \(a = 4\), find the equation of the normal to the circle at \(P\).
(c) For \(a = 4\), find the equations of the two tangents to the circle which are parallel to the normal found in (b).
The diagram shows a circle P with centre (0, 2) and radius 10 and the tangent to the circle at the point A with coordinates (6, 10). It also shows a second circle Q with centre at the point where this tangent meets the y-axis and with radius \(\frac{5}{2} \sqrt{5}\).
(a) Write down the equation of circle P.
(b) Find the equation of the tangent to the circle P at A.
(c) Find the equation of circle Q and hence verify that the y-coordinates of both of the points of intersection of the two circles are 11.
(d) Find the coordinates of the points of intersection of the tangent and circle Q, giving the answers in surd form.

\(Points A (7, 12) and B lie on a circle with centre (-2, 5). The line AB has equation y = -2x + 26.\)
Find the coordinates of B.
The coordinates of points A, B and C are A(5, -2), B(10, 3) and C(2p, p), where p is a constant.
(a) Given that AC and BC are equal in length, find the value of the fraction p.
(b) It is now given instead that AC is perpendicular to BC and that p is an integer.
(i) Find the value of p.
(ii) Find the equation of the circle which passes through A, B and C, giving your answer in the form \(x^2 + y^2 + ax + by + c = 0\), where a, b and c are constants.
Points A and B have coordinates (5, 2) and (10, -1) respectively.
(a) Find the equation of the perpendicular bisector of AB.
(b) Find the equation of the circle with centre A which passes through B.

Points A and B have coordinates (8, 3) and (p, q) respectively. The equation of the perpendicular bisector of AB is y = -2x + 4. Find the values of p and q.
The coordinates of points A and B are \((-3k - 1, k + 3)\) and \((k + 3, 3k + 5)\) respectively, where \(k\) is a constant \((k \neq -1)\).
Points A and B have coordinates \((h, h)\) and \((4h + 6, 5h)\) respectively. The equation of the perpendicular bisector of \(AB\) is \(3x + 2y = k\). Find the values of the constants \(h\) and \(k\).
A curve is defined by the equation \(y = \frac{1}{x} + c\) and a line is defined by the equation \(y = cx - 3\), where \(c\) is a constant.
(i) Determine the set of values of \(c\) for which the curve and the line intersect.
(ii) The line is tangent to the curve for two specific values of \(c\). For each of these values, find the \(x\)-coordinate of the point where the tangent touches the curve.
The points A (1, 1) and B (5, 9) lie on the curve \(6y = 5x^2 - 18x + 19\).
(i) Show that the equation of the perpendicular bisector of AB is 2y = 13 - x.
The perpendicular bisector of AB meets the curve at C and D.
(ii) Find, by calculation, the distance CD, giving your answer in the form \(\sqrt{\frac{p}{q}}\), where p and q are integers.
Given two points, \(A(-1, 1)\) and \(P(a, b)\), where \(a\) and \(b\) are constants, the gradient of \(AP\) is 2.
The point A has coordinates (-2, 6). The equation of the perpendicular bisector of the line AB is given by:
\(2y = 3x + 5\).
(i) Find the equation of line AB.
(ii) Find the coordinates of point B.
Three points, A, B, and C, are such that B is the midpoint of AC. The coordinates of A are (2, m) and the coordinates of B are (n, -6), where m and n are constants.
The line \(\frac{x}{a} + \frac{y}{b} = 1\), where \(a\) and \(b\) are positive constants, intersects the x- and y-axes at the points \(A\) and \(B\) respectively. The mid-point of \(AB\) lies on the line \(2x + y = 10\) and the distance \(AB = 10\). Find the values of \(a\) and \(b\).
C is the midpoint of the line segment joining A(14, -7) and B(-6, 3). The line through C is perpendicular to AB and crosses the y-axis at D.
(i) Find the equation of the line CD in the form y = mx + c.
(ii) Find the distance AD.
Triangle ABC has vertices at A (-2, -1), B (4, 6), and C (6, -3).
The equation of a curve is \(y = (x - 3)\sqrt{x + 1} + 3\). The following points lie on the curve. Non-exact values are rounded to 4 decimal places.
\(A (2, k)\) \(B (2.9, 2.8025)\) \(C (2.99, 2.9800)\) \(D (2.999, 2.9980)\) \(E (3, 3)\)
The gradients of \(BE, CE\) and \(DE\), rounded to 4 decimal places, are 1.9748, 1.9975 and 1.9997 respectively.
Three points have coordinates \(A(0, 7)\), \(B(8, 3)\), and \(C(3k, k)\). Find the value of the constant \(k\) for which:
Two points have coordinates \(A(5, 7)\) and \(B(9, -1)\).
(i) Find the equation of the perpendicular bisector of \(AB\).
The line through \(C(1, 2)\) parallel to \(AB\) meets the perpendicular bisector of \(AB\) at the point \(X\).
(ii) Find, by calculation, the distance \(BX\).
Points A, B, and C have coordinates A(-3, 7), B(5, 1), and C(-1, k), where k is a constant.
(i) Given that AB = BC, calculate the possible values of k.
The perpendicular bisector of AB intersects the x-axis at D.
(ii) Calculate the coordinates of D.
The point A has coordinates \((p, 1)\) and the point B has coordinates \((9, 3p + 1)\), where \(p\) is a constant.
(i) If the distance \(AB\) is 13 units, find the possible values of \(p\).
(ii) If the line with equation \(2x + 3y = 9\) is perpendicular to \(AB\), find the value of \(p\).
The point C lies on the perpendicular bisector of the line joining the points A (4, 6) and B (10, 2). C also lies on the line parallel to AB through (3, 11).
The line with gradient \(-2\) passing through the point \(P(3t, 2t)\) intersects the \(x\)-axis at \(A\) and the \(y\)-axis at \(B\).
Point A is at \((a, 2a - 1)\) and point B is at \((2a + 4, 3a + 9)\), where \(a\) is a constant.
The line 4x + ky = 20 passes through the points A (8, -4) and B (b, 2b), where k and b are constants.
Determine the coordinates where the perpendicular bisector of the line segment connecting the points (2, 7) and (10, 3) intersects the x-axis.
The coordinates of points A and B are \((a, 2)\) and \((3, b)\) respectively, where \(a\) and \(b\) are constants. The distance \(AB\) is \(\sqrt{125}\) units and the gradient of the line \(AB\) is 2. Find the possible values of \(a\) and \(b\).
Point M is the midpoint of the line segment joining the points (3, 7) and (-1, 1). Find the equation of the line passing through M that is parallel to the line \(\frac{x}{3} + \frac{y}{2} = 1\).
The point A has coordinates (3, 1) and the point B has coordinates (-21, 11). The point C is the midpoint of AB.
The point A has coordinates (-1, 6) and the point B has coordinates (7, 2).
(i) Find the equation of the perpendicular bisector of AB, giving your answer in the form y = mx + c.
(ii) A point C on the perpendicular bisector has coordinates (p, q). The distance OC is 2 units, where O is the origin. Write down two equations involving p and q and hence find the coordinates of the possible positions of C.
Find the coordinates of the reflection of the point (-1, 3) across the line 3y + 2x = 33.
A curve is given by the equation \(y = x^2 - 4x + 4\) and a line by the equation \(y = mx\), where \(m\) is a constant. For \(m = 1\), the curve and the line intersect at points \(A\) and \(B\). Find the coordinates of the midpoint of \(AB\).
The equation of a line is \(2y + x = k\), where \(k\) is a constant, and the equation of a curve is \(xy = 6\). In the case where \(k = 8\), the line intersects the curve at the points \(A\) and \(B\). Find the equation of the perpendicular bisector of the line \(AB\).
The point A has coordinates (-1, -5) and the point B has coordinates (7, 1). The perpendicular bisector of AB meets the x-axis at C and the y-axis at D. Calculate the length of CD.
The coordinates of point A are (-3, 2) and the coordinates of point C are (5, 6). The midpoint of AC is M, and the perpendicular bisector of AC intersects the x-axis at B.
A line has the equation \(y = kx + 6\) and a curve has the equation \(y = x^2 + 3x + 2k\), where \(k\) is a constant. For the case where \(k = 2\), the line and the curve intersect at points \(A\) and \(B\). Find the distance \(AB\) and the coordinates of the midpoint of \(AB\).
The line \(\frac{x}{a} + \frac{y}{b} = 1\), where \(a\) and \(b\) are positive constants, meets the x-axis at \(P\) and the y-axis at \(Q\). Given that \(PQ = \sqrt{45}\) and that the gradient of the line \(PQ\) is \(-\frac{1}{2}\), find the values of \(a\) and \(b\).
The line \(L_1\) passes through the points \(A(2, 5)\) and \(B(10, 9)\). The line \(L_2\) is parallel to \(L_1\) and passes through the origin. The point \(C\) lies on \(L_2\) such that \(AC\) is perpendicular to \(L_2\). Find:
The coordinates of two points A and B are (1, 3) and (9, -1) respectively, and D is the midpoint of AB. A point C has coordinates (x, y), where x and y are variables.
The line \(x - y + 4 = 0\) intersects the curve \(y = 2x^2 - 4x + 1\) at points \(P\) and \(Q\). It is given that the coordinates of \(P\) are \((3, 7)\).
(ii) Find the coordinates of \(Q\).
(iii) Find the equation of the line joining \(Q\) to the mid-point of \(AP\).
Points A, B, and C have coordinates (2, 5), (5, -1), and (8, 6) respectively.
(i) Find the coordinates of the midpoint of AB.
(ii) Find the equation of the line through C perpendicular to AB. Give your answer in the form ax + by + c = 0.
The curve \(y^2 = 12x\) intersects the line \(3y = 4x + 6\) at two points. Find the distance between the two points.
Three points have coordinates \(A(2, 6)\), \(B(8, 10)\), and \(C(6, 0)\). The perpendicular bisector of \(AB\) meets the line \(BC\) at \(D\). Find:
The equation of a curve is \(y = x^2 - 4x + 7\) and the equation of a line is \(y + 3x = 9\). The curve and the line intersect at the points \(A\) and \(B\).
The curve \(y = 9 - \frac{6}{x}\) and the line \(y + x = 8\) intersect at two points. Find:
The line \(L_1\) has the equation \(2x + y = 8\). The line \(L_2\) passes through the point \(A(7, 4)\) and is perpendicular to \(L_1\).
The curve \(C_1\) has the equation \(y = x^2 - 4x + 7\). The curve \(C_2\) has the equation \(y^2 = 4x + k\), where \(k\) is a constant. The tangent to \(C_1\) at the point where \(x = 3\) is also the tangent to \(C_2\) at the point \(P\). Find the value of \(k\) and the coordinates of \(P\).
Two points A and B have coordinates (1, 3) and (9, -1) respectively. The perpendicular bisector of AB intersects the y-axis at the point C. Find the coordinates of C.
Two points A and B have coordinates (-1, 1) and (3, 4) respectively. The line BC is perpendicular to AB and intersects the x-axis at C.
The equation of a curve is \(y = 2x + \frac{12}{x}\) and the equation of a line is \(y + x = k\), where \(k\) is a constant.
In the case where \(k = 15\), the curve intersects the line at points \(A\) and \(B\).
(ii) Find the coordinates of \(A\) and \(B\).
(iii) Find the equation of the perpendicular bisector of the line joining \(A\) and \(B\).
Two points A and B have coordinates \((3a, -a)\) and \((-a, 2a)\) respectively, where \(a\) is a positive constant.
\((\sec\theta - \tan\theta)^2 \equiv \dfrac{1 - \sin\theta}{1 + \sin\theta}\)
\( \sec\theta = 3\cos\theta + 1 \) for \( 0^\circ \leq \theta \leq 360^\circ \).
\( 4\cot^2\theta - 2\cot\theta = 3\csc^2\theta \) for \( 0^\circ \leq \theta \leq 360^\circ \).
\(\sin x+\cos x\cot x \equiv \csc x\).
\(\csc x-\sin x \equiv \cos x\cot x\).
\(\csc x-\sin x \equiv \cos x\cot x\).
\(\sec x\,\csc x-\cot x \equiv \tan x\).
\((1+\sec x)(\csc x-\cot x) \equiv \tan x\).
\(\displaystyle \frac{1}{\tan x+\cot x}\equiv \sin x\cos x\).
\(\sec^2x+\sec x\tan x \equiv \dfrac{1}{1-\sin x}\).
\(\displaystyle \frac{1-\cos^2x}{\sec^2x-1}\equiv 1-\sin^2x.\)
\(\displaystyle \frac{1+\tan^2x}{\tan x}\equiv \sec x\,\csc x.\)
\(\displaystyle \frac{\sin x}{1-\cos^2x}\equiv \csc x.\)
\(\displaystyle \frac{1+\sin x}{1-\sin x}\equiv (\tan x+\sec x)^2.\)
\(\displaystyle \frac{1}{1+\cos x}+\frac{1}{1-\cos x}\equiv 2\csc^2x.\)
\(\displaystyle \frac{\cos x}{1+\sin x}+\frac{\cos x}{1-\sin x}\equiv 2\sec x.\)
\(\sin(\alpha+\beta)+\sin(\alpha-\beta)\).
\(\cos(\alpha+\beta)+\cos(\alpha-\beta)\).
\(\sin(\alpha-\beta)\cos\alpha-\cos(\alpha-\beta)\sin\alpha\).
\(\displaystyle \csc(\theta+\varphi)\;\equiv\; \frac{\csc\theta\,\csc\varphi}{\cot\theta+\cot\varphi}\).
Using the compound–angle expansions for \(\cos(5x+x)\) and \(\cos(5x-x)\), prove that \[ \cos 6x+\cos 4x \;\equiv\; 2\cos 5x\cos x . \]
Given \(\displaystyle \sin x+\sin y=p\) and \(\displaystyle \cos x+\cos y=q\), find a formula for \(\cos(x-y)\) in terms of \(p\) and \(q\).
(a) By writing \(3\theta = 2\theta+\theta\), show that \[ \cos 3\theta \equiv 4\cos^{3}\theta-3\cos\theta . \] (b) Hence solve, for \(0^\circ\le \theta \le 180^\circ\), \[ \cos 3\theta+\cos\theta\cos 2\theta=\cos^{2}\theta . \]
(a) Given that \[ \sin\!\left(x+\tfrac{\pi}{6}\right) -\sin\!\left(x-\tfrac{\pi}{6}\right) \;=\; \cos\!\left(x+\tfrac{\pi}{3}\right) -\cos\!\left(x-\tfrac{\pi}{3}\right), \] find the exact value of \(\tan x\).
(b) Hence find the exact solutions of \[ \sin\!\left(x+\tfrac{\pi}{6}\right) -\sin\!\left(x-\tfrac{\pi}{6}\right) \;=\; \cos\!\left(x+\tfrac{\pi}{3}\right) -\cos\!\left(x-\tfrac{\pi}{3}\right) \] for \(0\le x\le 2\pi\).
\(\displaystyle \cos(\theta-60^\circ)=3\sin\theta\) for \(0^\circ\le \theta \le 360^\circ\).
By first expressing the equation \(\tan \theta \tan(\theta + 45^\circ) = 2 \cot 2\theta\) as a quadratic equation in \(\tan \theta\), solve the equation for \(0^\circ < \theta < 90^\circ\).
Express the equation \(\tan(\theta + 60^\circ) = 2 + \tan(60^\circ - \theta)\) as a quadratic equation in \(\tan \theta\), and hence solve the equation for \(0^\circ \leq \theta \leq 180^\circ\).
(a) Prove that \(\frac{\cos 3x}{\sin x} + \frac{\sin 3x}{\cos x} = 2 \cot 2x\).
(b) Solve the equation \(\frac{\cos 3x}{\sin x} + \frac{\sin 3x}{\cos x} = 4\) for \(0 < x < \pi\).
(i) By expanding \(\tan(2x + x)\), demonstrate that the equation \(\tan 3x = 3 \cot x\) can be rewritten as \(\tan^4 x - 12 \tan^2 x + 3 = 0\).
(ii) Solve the equation \(\tan 3x = 3 \cot x\) for \(0^\circ < x < 90^\circ\).
Express the equation \(\cot \theta - \cot(\theta + 45^\circ) = 3\) as a quadratic equation in \(\tan \theta\), and solve for \(0^\circ < \theta < 180^\circ\).
(i) Given that \(\sin(\theta + 45^\circ) + 2 \cos(\theta + 60^\circ) = 3 \cos \theta\), find the exact value of \(\tan \theta\) in a form involving surds. You need not simplify your answer.
(ii) Hence solve the equation \(\sin(\theta + 45^\circ) + 2 \cos(\theta + 60^\circ) = 3 \cos \theta\) for \(0^\circ < \theta < 360^\circ\).
Solve the equation \(\sin(\theta - 30^\circ) + \cos \theta = 2 \sin \theta\) for \(0^\circ < \theta < 180^\circ\), showing all necessary working.
Solve the equation \(\cot \theta + \cot(\theta + 45^\circ) = 2\) for \(0^\circ < \theta < 180^\circ\), showing all necessary working.
(i) Given that \(\sin(x - 60^\circ) = 3 \cos(x - 45^\circ)\), find the exact value of \(\tan x\).
(ii) Hence solve the equation \(\sin(x - 60^\circ) = 3 \cos(x - 45^\circ)\), for \(0^\circ < x < 360^\circ\).
Express the equation \(\tan(\theta + 60^\circ) + \tan(\theta - 60^\circ) = \cot \theta\) in terms of \(\tan \theta\) only, and solve for \(0^\circ < \theta < 90^\circ\).
(i) Prove the identity \(\tan(45^\circ + x) + \tan(45^\circ - x) \equiv 2 \sec 2x\).
(ii) Sketch the graph of \(y = \tan(45^\circ + x) + \tan(45^\circ - x)\) for \(0^\circ \leq x \leq 90^\circ\).
Express the equation \(\tan(\theta + 45^\circ) - 2 \tan(\theta - 45^\circ) = 4\) as a quadratic equation in \(\tan \theta\). Hence solve this equation for \(0^\circ \leq \theta \leq 180^\circ\).
The angles \(A\) and \(B\) are such that:
\(\sin(A + 45^\circ) = (2\sqrt{2}) \cos A\)
and
\(4 \sec^2 B + 5 = 12 \tan B.\)
Without using a calculator, find the exact value of \(\tan(A - B)\).
The angles \(\theta\) and \(\phi\) lie between \(0^\circ\) and \(180^\circ\), and are such that \(\tan(\theta - \phi) = 3\) and \(\tan \theta + \tan \phi = 1\). Find the possible values of \(\theta\) and \(\phi\).
(i) Prove that \(\cos(\theta - 60^\circ) + \cos(\theta + 60^\circ) \equiv \cos \theta\).
(ii) Given that \(\frac{\cos(2x - 60^\circ) + \cos(2x + 60^\circ)}{\cos(x - 60^\circ) + \cos(x + 60^\circ)} = 3\), find the exact value of \(\cos x\).
(i) By expanding \(\sin(2\theta + \theta)\), demonstrate that \(\sin 3\theta = 3 \sin \theta - 4 \sin^3 \theta\).
(ii) Prove that, using the substitution \(x = \frac{2 \sin \theta}{\sqrt{3}}\), the equation \(x^3 - x + \frac{1}{6}\sqrt{3} = 0\) can be rewritten in the form \(\sin 3\theta = \frac{3}{4}\).
(iii) Solve the equation \(x^3 - x + \frac{1}{6}\sqrt{3} = 0\), providing answers to three significant figures.
(i) Show that the equation \(\tan(x - 60^\circ) + \cot x = \sqrt{3}\) can be written in the form \(2 \tan^2 x + (\sqrt{3}) \tan x - 1 = 0\).
(ii) Hence solve the equation \(\tan(x - 60^\circ) + \cot x = \sqrt{3}\), for \(0^\circ < x < 180^\circ\).
Solve the equation \(\cos(x + 30^\circ) = 2 \cos x\), giving all solutions in the interval \(-180^\circ < x < 180^\circ\).
Solve the equation \(\sin(\theta + 45^\circ) = 2 \cos(\theta - 30^\circ)\), giving all solutions in the interval \(0^\circ < \theta < 180^\circ\).
Given that \(\tan 3x = k \tan x\), where \(k\) is a constant and \(\tan x \neq 0\):
(i) Demonstrate that the equation \(\tan(60^\circ + \theta) + \tan(60^\circ - \theta) = k\) can be expressed in the form \((2\sqrt{3})(1 + \tan^2 \theta) = k(1 - 3\tan^2 \theta)\).
(ii) Solve the equation \(\tan(60^\circ + \theta) + \tan(60^\circ - \theta) = 3\sqrt{3}\), providing all solutions within the interval \(0^\circ \leq \theta \leq 180^\circ\).
Solve the equation \(\cos(\theta + 60^\circ) = 2 \sin \theta\), giving all solutions in the interval \(0^\circ \leq \theta \leq 360^\circ\).
Solve the equation \(\tan(45^\circ - x) = 2 \tan x\), giving all solutions in the interval \(0^\circ < x < 180^\circ\).
Given that \(\cos a = \frac{3}{5}\), where \(0^\circ < a < 90^\circ\), and without using a calculator, find:
The angles \(\alpha\) and \(\beta\) lie in the interval \(0^\circ < x < 180^\circ\), and are such that \(\tan \alpha = 2 \tan \beta\) and \(\tan(\alpha + \beta) = 3\). Find the possible values of \(\alpha\) and \(\beta\).
(i) Demonstrate that the equation \(\tan(30^\circ + \theta) = 2 \tan(60^\circ - \theta)\) can be expressed as \(\tan^2 \theta + (6 \sqrt{3}) \tan \theta - 5 = 0\).
(ii) Consequently, or by other means, solve the equation \(\tan(30^\circ + \theta) = 2 \tan(60^\circ - \theta)\) for \(0^\circ \leq \theta \leq 180^\circ\).
(i) Show that the equation \(\tan(45^\circ + x) - \tan x = 2\) can be rewritten as \(\tan^2 x + 2 \tan x - 1 = 0\).
(ii) Solve the equation \(\tan(45^\circ + x) - \tan x = 2\) for all solutions in the interval \(0^\circ \leq x \leq 180^\circ\).
(i) Show that the equation \(\tan(45^\circ + x) = 2 \tan(45^\circ - x)\) can be written in the form \(\tan^2 x - 6 \tan x + 1 = 0\).
(ii) Hence solve the equation \(\tan(45^\circ + x) = 2 \tan(45^\circ - x)\), for \(0^\circ < x < 90^\circ\).
(i) Show that the equation \(\sin(x - 60^\circ) - \cos(30^\circ - x) = 1\) can be written in the form \(\cos x = k\), where \(k\) is a constant.
(ii) Hence solve the equation, for \(0^\circ < x < 180^\circ\).
The angles \(\alpha\) and \(\beta\) are between \(0^\circ\) and \(180^\circ\) and satisfy the conditions:
\(\tan(\alpha + \beta) = 2\) and \(\tan \alpha = 3 \tan \beta\).
Find the possible values of \(\alpha\) and \(\beta\).
(a) By expanding \(\tan(2\theta + 2\theta)\), show that the equation \(\tan 4\theta = \frac{1}{2} \tan \theta\) can be expressed as \(\tan^4 \theta + 2 \tan^2 \theta - 7 = 0\).
(b) Solve the equation \(\tan 4\theta = \frac{1}{2} \tan \theta\) for \(0^\circ < \theta < 180^\circ\).
(a) Given that \(\cos(x - 30^\circ) = 2 \sin(x + 30^\circ)\), show that \(\tan x = \frac{2 - \sqrt{3}}{1 - 2\sqrt{3}}\).
(b) Hence solve the equation \(\cos(x - 30^\circ) = 2 \sin(x + 30^\circ)\) for \(0^\circ < x < 360^\circ\).
Express the equation \(\tan(x + 45^\circ) = 2 \cot x + 1\) as a quadratic equation in \(\tan x\), and solve for \(0^\circ < x < 180^\circ\).
(a) Show that the equation \(\tan(\theta + 60^\circ) = 2 \cot \theta\) can be written in the form \(\tan^2 \theta + 3\sqrt{3} \tan \theta - 2 = 0\).
(b) Hence solve the equation \(\tan(\theta + 60^\circ) = 2 \cot \theta\), for \(0^\circ < \theta < 180^\circ\).
(a) Show that the equation \(\cot^2 \theta + 2 \cos 2\theta = 4\) can be written in the form \(4 \sin^4 \theta + 3 \sin^2 \theta - 1 = 0\).
(b) Hence solve the equation \(\cot^2 \theta + 2 \cos 2\theta = 4\), for \(0^\circ < \theta < 360^\circ\).
Solve the equation \(\cot 2\theta = 2 \tan \theta\) for \(0^\circ < \theta < 180^\circ\), showing all necessary working.
(i) By expanding \((\cos^2 x + \sin^2 x)^3\), or using another method, demonstrate that \(\cos^6 x + \sin^6 x = 1 - \frac{3}{4} \sin^2 2x\).
(ii) Solve the equation \(\cos^6 x + \sin^6 x = \frac{2}{3}\) for \(0^\circ < x < 180^\circ\).
(i) Rewrite the equation \(\cot \theta - 2 \tan \theta = \sin 2\theta\) in the form \(a \cos^4 \theta + b \cos^2 \theta + c = 0\), where \(a, b,\) and \(c\) are constants to be determined.
(ii) Solve the equation \(\cot \theta - 2 \tan \theta = \sin 2\theta\) for \(90^\circ < \theta < 180^\circ\).
Rewrite the equation \(\cot 2\theta = 1 + \tan \theta\) as a quadratic equation in \(\tan \theta\). Then solve this equation for \(0^\circ < \theta < 180^\circ\).
Express the equation \(\sec \theta = 3 \cos \theta + \tan \theta\) as a quadratic equation in \(\sin \theta\). Hence solve this equation for \(-90^\circ < \theta < 90^\circ\).
(i) Prove the identity \(\cos 4\theta - 4\cos 2\theta \equiv 8\sin^4\theta - 3\).
(ii) Hence solve the equation \(\cos 4\theta = 4\cos 2\theta + 3\), for \(0^\circ \leq \theta \leq 360^\circ\).
Express the equation \(\csc \theta = 3 \sin \theta + \cot \theta\) in terms of \(\cos \theta\) only, and solve for \(0^\circ < \theta < 180^\circ\).
Solve the equation \(\cot 2x + \cot x = 3\) for \(0^\circ < x < 180^\circ\).
(i) Simplify \(\sin 2\alpha \sec \alpha\).
(ii) Given that \(3 \cos 2\beta + 7 \cos \beta = 0\), find the exact value of \(\cos \beta\).
Solve the equation \(\tan 2x = 5 \cot x\), for \(0^\circ < x < 180^\circ\).
Solve the equation \(2 \cos x - \cos \frac{1}{2}x = 1\) for \(0 \leq x \leq 2\pi\).
Solve the equation \(\csc 2\theta = \sec \theta + \cot \theta\), giving all solutions in the interval \(0^\circ < \theta < 360^\circ\).
Solve the equation \(\cos \theta + 4 \cos 2\theta = 3\), giving all solutions in the interval \(0^\circ \leq \theta \leq 180^\circ\).
Solve the equation \(\sin \theta = 2 \cos 2\theta + 1\), giving all solutions in the interval \(0^\circ \leq \theta \leq 360^\circ\).
(i) Prove the identity \(\csc 2\theta + \cot 2\theta \equiv \cot \theta\).
(ii) Hence solve the equation \(\csc 2\theta + \cot 2\theta = 2\), for \(0^\circ \leq \theta \leq 360^\circ\).
Solve the equation \(\tan x \tan 2x = 1\), giving all solutions in the interval \(0^\circ < x < 180^\circ\).
(i) Prove the identity:
\(\cos 4\theta + 4\cos 2\theta \equiv 8\cos^4 \theta - 3\).
(ii) Hence solve the equation:
\(\cos 4\theta + 4\cos 2\theta = 2\),
for \(0^\circ \leq \theta \leq 360^\circ\).
Solve the equation \(\cos \theta + 3 \cos 2\theta = 2\), giving all solutions in the interval \(0^\circ \leq \theta \leq 180^\circ\).
(a) Demonstrate that the equation \(\sin 2\theta + \cos 2\theta = 2 \sin^2 \theta\) can be rewritten as \(\cos^2 \theta + 2 \sin \theta \cos \theta - 3 \sin^2 \theta = 0\).
(b) Solve the equation \(\sin 2\theta + \cos 2\theta = 2 \sin^2 \theta\) for \(0^\circ < \theta < 180^\circ\).
(a) Prove the identity \(\cos 4\theta + 4 \cos 2\theta + 3 \equiv 8 \cos^4 \theta\).
(b) Hence solve the equation \(\cos 4\theta + 4 \cos 2\theta = 4\) for \(0^\circ \leq \theta \leq 180^\circ\).
Solve the equation \(3 \cos 2\theta = 3 \cos \theta + 2\), for \(0^\circ \leq \theta \leq 360^\circ\).
Solve the equation \(2 \cot 2x + 3 \cot x = 5\), for \(0^\circ < x < 180^\circ\).
(a) By first expanding \((\cos^2 \theta + \sin^2 \theta)^2\), show that \(\cos^4 \theta + \sin^4 \theta = 1 - \frac{1}{2} \sin^2 2\theta\).
(b) Hence solve the equation \(\cos^4 \theta + \sin^4 \theta = \frac{5}{9}\), for \(0^\circ < \theta < 180^\circ\).
(a) Demonstrate that the equation \(\cot 2\theta + \cot \theta = 2\) can be rewritten as a quadratic equation in terms of \(\tan \theta\).
(b) Solve the equation \(\cot 2\theta + \cot \theta = 2\) for \(0 < \theta < \pi\), providing your answers to three decimal places.
Solve the equation \(\sin \theta = 3 \cos 2\theta + 2\), for \(0^\circ \leq \theta \leq 360^\circ\).
Prove the identity \(\cos 4\theta + 4\cos 2\theta + 3 \equiv 8\cos^4 \theta\).
Prove the identity \(\cos 4\theta - 4 \cos 2\theta + 3 \equiv 8 \sin^4 \theta\).
Prove the identity \(\csc 2\theta + \cot 2\theta \equiv \cot \theta\).
Prove the identity:
\(\sin^2 \theta \cos^2 \theta \equiv \frac{1}{8}(1 - \cos 4\theta)\).
Prove the identity:
\(\cot x - \cot 2x \equiv \csc 2x\).
Prove the identity:
\(\cot \theta - \tan \theta \equiv 2 \cot 2\theta\).
Prove that \(\csc 2\theta - \cot 2\theta \equiv \tan \theta\).
Prove that \(\frac{1 - \cos 2\theta}{1 + \cos 2\theta} \equiv \tan^2 \theta\).
Prove that \(\frac{2 \sin x - \sin 2x}{1 - \cos 2x} \equiv \frac{\sin x}{1 + \cos x}\).
Prove the identity \(\frac{\cot x - \tan x}{\cot x + \tan x} \equiv \cos 2x\).
Prove the identity \(\tan 2\theta - \tan \theta \equiv \tan \theta \sec 2\theta\).
Prove the identity \(\cos 4\theta - 4\cos 2\theta \equiv 8\sin^4 \theta - 3\).
Prove that \(\cot \theta + \tan \theta \equiv 2 \csc 2\theta\).
Prove the identity \(\cos 4\theta + 4\cos 2\theta \equiv 8\cos^4\theta - 3\).
(a) Express \(3 \cos x + 2 \cos(x - 60^\circ)\) in the form \(R \cos(x - \alpha)\), where \(R > 0\) and \(0^\circ < \alpha < 90^\circ\). State the exact value of \(R\) and give \(\alpha\) correct to 2 decimal places.
(b) Hence solve the equation \(3 \cos 2\theta + 2 \cos(2\theta - 60^\circ) = 2.5\) for \(0^\circ < \theta < 180^\circ\).
(i) Express \(\sqrt{6} \sin x + \cos x\) in the form \(R \sin(x + \alpha)\), where \(R > 0\) and \(0^\circ < \alpha < 90^\circ\). State the exact value of \(R\) and give \(\alpha\) correct to 3 decimal places.
(ii) Hence solve the equation \(\sqrt{6} \sin 2\theta + \cos 2\theta = 2\), for \(0^\circ < \theta < 180^\circ\).
(i) Show that the equation \(\sqrt{2} \csc x + \cot x = \sqrt{3}\) can be expressed in the form \(R \sin(x - \alpha) = \sqrt{2}\), where \(R > 0\) and \(0^\circ < \alpha < 90^\circ\).
(ii) Hence solve the equation \(\sqrt{2} \csc x + \cot x = \sqrt{3}\), for \(0^\circ < x < 180^\circ\).
(i) By first expanding \(2 \sin(x - 30^\circ)\), express \(2 \sin(x - 30^\circ) - \cos x\) in the form \(R \sin(x - \alpha)\), where \(R > 0\) and \(0^\circ < \alpha < 90^\circ\). Give the exact value of \(R\) and the value of \(\alpha\) correct to 2 decimal places.
(ii) Hence solve the equation \(2 \sin(x - 30^\circ) - \cos x = 1\), for \(0^\circ < x < 180^\circ\).
(i) Express \(8 \cos \theta - 15 \sin \theta\) in the form \(R \cos(\theta + \alpha)\), where \(R > 0\) and \(0^\circ < \alpha < 90^\circ\), stating the exact value of \(R\) and giving the value of \(\alpha\) correct to 2 decimal places.
(ii) Hence solve the equation \(8 \cos 2x - 15 \sin 2x = 4\), for \(0^\circ < x < 180^\circ\).
(i) Express \(\sqrt{5} \cos x + 2 \sin x\) in the form \(R \cos(x - \alpha)\), where \(R > 0\) and \(0^\circ < \alpha < 90^\circ\), giving the value of \(\alpha\) correct to 2 decimal places.
(ii) Hence solve the equation \(\sqrt{5} \cos \frac{1}{2}x + 2 \sin \frac{1}{2}x = 1.2\), for \(0^\circ < x < 360^\circ\).
(i) Express \(3 \sin \theta + 2 \cos \theta\) in the form \(R \sin(\theta + \alpha)\), where \(R > 0\) and \(0^\circ < \alpha < 90^\circ\), stating the exact value of \(R\) and giving the value of \(\alpha\) correct to 2 decimal places.
(ii) Hence solve the equation \(3 \sin \theta + 2 \cos \theta = 1\), for \(0^\circ < \theta < 180^\circ\).
(i) Given that \(\sec \theta + 2 \csc \theta = 3 \csc 2\theta\), show that \(2 \sin \theta + 4 \cos \theta = 3\).
(ii) Express \(2 \sin \theta + 4 \cos \theta\) in the form \(R \sin(\theta + \alpha)\) where \(R > 0\) and \(0^\circ < \alpha < 90^\circ\), giving the value of \(\alpha\) correct to 2 decimal places.
(iii) Hence solve the equation \(\sec \theta + 2 \csc \theta = 3 \csc 2\theta\) for \(0^\circ < \theta < 360^\circ\).
(i) Expand \(\cos(x + 45^\circ)\) and express \(\cos(x + 45^\circ) - (\sqrt{2}) \sin x\) in the form \(R \cos(x + \alpha)\), where \(R > 0\) and \(0^\circ < \alpha < 90^\circ\). Provide \(R\) to 4 significant figures and \(\alpha\) to 2 decimal places.
(ii) Solve the equation \(\cos(x + 45^\circ) - (\sqrt{2}) \sin x = 2\) for \(0^\circ < x < 360^\circ\).
(i) Express \(24 \sin \theta - 7 \cos \theta\) in the form \(R \sin(\theta - \alpha)\), where \(R > 0\) and \(0^\circ < \alpha < 90^\circ\). Give the value of \(\alpha\) correct to 2 decimal places.
(ii) Hence find the smallest positive value of \(\theta\) satisfying the equation \(24 \sin \theta - 7 \cos \theta = 17\).
(i) Express \(8 \cos \theta + 15 \sin \theta\) in the form \(R \cos(\theta - \alpha)\), where \(R > 0\) and \(0^\circ < \alpha < 90^\circ\). Give the value of \(\alpha\) correct to 2 decimal places.
(ii) Hence solve the equation \(8 \cos \theta + 15 \sin \theta = 12\), giving all solutions in the interval \(0^\circ < \theta < 360^\circ\).
(a) Express \(5 \sin \theta + 12 \cos \theta\) in the form \(R \cos(\theta - \alpha)\), where \(R > 0\) and \(0 < \alpha < \frac{1}{2}\pi\).
(b) Hence solve the equation \(5 \sin 2x + 12 \cos 2x = 6\) for \(0 \leq x \leq \pi\).
(i) Express \(\cos x + 3 \sin x\) in the form \(R \cos(x - \alpha)\), where \(R > 0\) and \(0^\circ < \alpha < 90^\circ\), giving the exact value of \(R\) and the value of \(\alpha\) correct to 2 decimal places.
(ii) Hence solve the equation \(\cos 2\theta + 3 \sin 2\theta = 2\), for \(0^\circ < \theta < 90^\circ\).
(i) Express \(\sqrt{6} \cos \theta + \sqrt{10} \sin \theta\) in the form \(R \cos(\theta - \alpha)\), where \(R > 0\) and \(0^\circ < \alpha < 90^\circ\). Give the value of \(\alpha\) correct to 2 decimal places.
(ii) Hence, in each of the following cases, find the smallest positive angle \(\theta\) which satisfies the equation:
(a) \(\sqrt{6} \cos \theta + \sqrt{10} \sin \theta = -4\)
(b) \(\sqrt{6} \cos \frac{1}{2} \theta + \sqrt{10} \sin \frac{1}{2} \theta = 3\)
(i) Express \(5 \sin x + 12 \cos x\) in the form \(R \sin(x + \alpha)\), where \(R > 0\) and \(0^\circ < \alpha < 90^\circ\), giving the value of \(\alpha\) correct to 2 decimal places.
(ii) Hence solve the equation \(5 \sin 2\theta + 12 \cos 2\theta = 11\), giving all solutions in the interval \(0^\circ < \theta < 180^\circ\).
(i) Express \(7 \cos \theta + 24 \sin \theta\) in the form \(R \cos(\theta - \alpha)\), where \(R > 0\) and \(0^\circ < \alpha < 90^\circ\), giving the exact value of \(R\) and the value of \(\alpha\) correct to 2 decimal places.
(ii) Hence solve the equation \(7 \cos \theta + 24 \sin \theta = 15\), giving all solutions in the interval \(0^\circ \leq \theta \leq 360^\circ\).
By expressing \(8 \sin \theta - 6 \cos \theta\) in the form \(R \sin(\theta - \alpha)\), solve the equation:
\(8 \sin \theta - 6 \cos \theta = 7,\)
for \(0^\circ \leq \theta \leq 360^\circ\).
(i) Express \(4 \sin \theta - 3 \cos \theta\) in the form \(R \sin(\theta - \alpha)\), where \(R > 0\) and \(0^\circ < \alpha < 90^\circ\), stating the value of \(\alpha\) correct to 2 decimal places.
(ii) Solve the equation \(4 \sin \theta - 3 \cos \theta = 2\), giving all values of \(\theta\) such that \(0^\circ < \theta < 360^\circ\).
(iii) Write down the greatest value of \(\frac{1}{4 \sin \theta - 3 \cos \theta + 6}\).
(a) Demonstrate that the equation \(\sqrt{5} \sec x + \tan x = 4\) can be rewritten as \(R \cos(x + \alpha) = \sqrt{5}\), where \(R > 0\) and \(0^\circ < \alpha < 90^\circ\). Provide the exact value of \(R\) and the value of \(\alpha\) to two decimal places.
(b) Solve the equation \(\sqrt{5} \sec 2x + \tan 2x = 4\) for \(0^\circ < x < 180^\circ\).
(a) Express \(4 \cos x - \sin x\) in the form \(R \cos(x + \alpha)\), where \(R > 0\) and \(0^\circ < \alpha < 90^\circ\). State the exact value of \(R\) and give \(\alpha\) correct to 2 decimal places.
(b) Hence solve the equation \(4 \cos 2x - \sin 2x = 3\) for \(0^\circ < x < 180^\circ\).
(a) By expanding \(\cos(x - 60^\circ)\), show that the expression \(2\cos(x - 60^\circ) + \cos x\) can be written in the form \(R\cos(x - \alpha)\), where \(R > 0\) and \(0^\circ < \alpha < 90^\circ\). Give the exact value of \(R\) and the value of \(\alpha\) correct to 2 decimal places.
(b) Hence find the value of \(x\) in the interval \(0^\circ < x < 360^\circ\) for which \(2\cos(x - 60^\circ) + \cos x\) takes its least possible value.
(a) Express \(5 \sin x - 3 \cos x\) in the form \(R \sin(x - \alpha)\), where \(R > 0\) and \(0 < \alpha < \frac{1}{2}\pi\). Give the exact value of \(R\) and give \(\alpha\) correct to 2 decimal places.
(b) Hence state the greatest and least possible values of \((5 \sin x - 3 \cos x)^2\).
(a) Express \(\sqrt{7} \sin x + 2 \cos x\) in the form \(R \sin(x + \alpha)\), where \(R > 0\) and \(0^\circ < \alpha < 90^\circ\). State the exact value of \(R\) and give \(\alpha\) correct to 2 decimal places.
(b) Hence solve the equation \(\sqrt{7} \sin 2\theta + 2 \cos 2\theta = 1\), for \(0^\circ < \theta < 180^\circ\).
(a) Express \(\sqrt{6} \cos \theta + 3 \sin \theta\) in the form \(R \cos(\theta - \alpha)\), where \(R > 0\) and \(0^\circ < \alpha < 90^\circ\). State the exact value of \(R\) and give \(\alpha\) correct to 2 decimal places.
(b) Hence solve the equation \(\sqrt{6} \cos \frac{1}{3}x + 3 \sin \frac{1}{3}x = 2.5\), for \(0^\circ < x < 360^\circ\).
(a) Express \(\sqrt{2} \cos x - \sqrt{5} \sin x\) in the form \(R \cos(x + \alpha)\), where \(R > 0\) and \(0^\circ < \alpha < 90^\circ\). Give the exact value of \(R\) and the value of \(\alpha\) correct to 3 decimal places.
(b) Hence solve the equation \(\sqrt{2} \cos 2\theta - \sqrt{5} \sin 2\theta = 1\), for \(0^\circ < \theta < 180^\circ\).
A crate of mass 300 kg is at rest on rough horizontal ground. The coefficient of friction between the crate and the ground is 0.5. A force of magnitude \(X\) N, acting at an angle \(\alpha\) above the horizontal, is applied to the crate, where \(\sin \alpha = 0.28\).
Find the greatest value of \(X\) for which the crate remains at rest.
A string is attached to a block of mass 4 kg which rests in limiting equilibrium on a rough horizontal table. The string makes an angle of 24° above the horizontal and the tension in the string is 30 N.
(a) Draw a diagram showing all the forces acting on the block. [1]
(b) Find the coefficient of friction between the block and the table. [5]

Forces of magnitude \(X \text{ N}\) and \(40 \text{ N}\) act on a block \(B\) of mass \(15 \text{ kg}\), which is in equilibrium in contact with a horizontal surface between points \(A\) and \(C\) on the surface. The forces act in the same vertical plane and in the directions shown in the diagram. (i) Given that the surface is smooth, find the value of \(X\). (ii) It is given instead that the surface is rough and that the block is in limiting equilibrium. The frictional force acting on the block has magnitude \(10 \text{ N}\) in the direction towards \(A\). Find the coefficient of friction between the block and the surface.

A block B of mass 7 kg is at rest on rough horizontal ground. A force of magnitude X N acts on B at an angle of 15° to the upward vertical (see diagram).
(i) Given that B is in equilibrium find, in terms of X, the normal component of the force exerted on B by the ground. [2]
(ii) The coefficient of friction between B and the ground is 0.4. Find the value of X for which B is in limiting equilibrium. [3]

A particle P has weight 10 N and is in limiting equilibrium on a rough horizontal table. The forces shown in the diagram represent the weight of P, an applied force of magnitude 4 N acting on P in a direction at 30° above the horizontal, and the contact force exerted on P by the table (the resultant of the frictional and normal components) of magnitude C N.
(i) Find the value of C.
(ii) Find the coefficient of friction between P and the table.

A block of mass 400 kg rests in limiting equilibrium on horizontal ground. A force of magnitude 2000 N acts on the block at an angle of 15° to the upwards vertical. Find the coefficient of friction between the block and the ground, correct to 2 significant figures.
Two light strings are attached to a block of mass 20 kg. The block is in equilibrium on a horizontal surface AB with the strings taut. The strings make angles of 60° and 30° with the horizontal, on either side of the block, and the tensions in the strings are T N and 75 N respectively (see diagram).
(i) Given that the surface is smooth, find the value of T and the magnitude of the contact force acting on the block.
(ii) It is given instead that the surface is rough and that the block is on the point of slipping. The frictional force on the block has magnitude 25 N and acts towards A. Find the coefficient of friction between the block and the surface.

A particle P of mass 0.2 kg lies at rest on a rough horizontal plane. A horizontal force of 1.2 N is applied to P.
(a) Given that P is in limiting equilibrium, find the coefficient of friction between P and the plane.
(b) Given instead that the coefficient of friction between P and the plane is 0.3, find the distance travelled by P in the third second of its motion.
A particle of mass 2 kg is initially at rest on a rough horizontal plane. A force of magnitude 10 N is applied to the particle at 15° above the horizontal. It is given that 10 s after the force is applied, the particle has a speed of 3.5 m s-1.
(i) Show that the magnitude of the frictional force is 8.96 N, correct to 3 significant figures.
(ii) Find the coefficient of friction between the particle and the plane.
A particle P of mass 0.8 kg is placed on a rough horizontal table. The coefficient of friction between P and the table is \(\mu\). A force of magnitude 5 N, acting upwards at an angle \(\alpha\) above the horizontal, where \(\tan \alpha = \frac{3}{4}\), is applied to P. The particle is on the point of sliding on the table.
(i) Find the value of \(\mu\).
(ii) The magnitude of the force acting on P is increased to 10 N, with the direction of the force remaining the same. Find the acceleration of P.
Particles P and Q are moving in a straight line on a rough horizontal plane. The frictional forces are the only horizontal forces acting on the particles.
At a certain instant, P passes through the point A and Q passes through the point B. The distance AB is 5 m. The velocities of P and Q at A and B are 8 m s-1 and 3 m s-1, respectively, both in the direction of AB.
A small box of mass 40 kg is moved along a rough horizontal floor by three men. Two of the men apply horizontal forces of magnitudes 100 N and 120 N, making angles of 30° and 60° respectively with the positive x-direction. The third man applies a horizontal force of magnitude F N making an angle of α° with the negative x-direction (see diagram). The resultant of the three horizontal forces acting on the box is in the positive x-direction and has magnitude 136 N.
(i) Find the values of F and α.
(ii) Given that the box is moving with constant speed, state the magnitude of the frictional force acting on the box and hence find the coefficient of friction between the box and the floor.

A string is attached to a block of weight 30 N, which is in contact with a rough horizontal plane. When the string is horizontal and the tension in it is 24 N, the block is in limiting equilibrium.
(i) Find the coefficient of friction between the block and the plane.
The block is now in motion and the string is at an angle of 30° upwards from the plane. The tension in the string is 25 N.
(ii) Find the acceleration of the block.
A block is at rest on a rough horizontal plane. The coefficient of friction between the block and the plane is 1.25.
(i) State, giving a reason for your answer, whether the minimum vertical force required to move the block is greater or less than the minimum horizontal force required to move the block.
A horizontal force of continuously increasing magnitude \(P\) N and fixed direction is applied to the block.
(ii) Given that the weight of the block is 60 N, find the value of \(P\) when the acceleration of the block is 4 m s\(^{-2}\).
A small block of mass 1.25 kg is on a horizontal surface. Three horizontal forces, with magnitudes and directions as shown in the diagram, are applied to the block. The angle \(\theta\) is such that \(\cos \theta = 0.28\) and \(\sin \theta = 0.96\). A horizontal frictional force also acts on the block, and the block is in equilibrium.

A car of mass 1200 kg travels on a horizontal straight road with constant acceleration \(a \text{ m s}^{-2}\).
(i) Given that the car’s speed increases from 10 \(\text{m s}^{-1}\) to 25 \(\text{m s}^{-1}\) while travelling a distance of 525 m, find the value of \(a\).
The car’s engine exerts a constant driving force of 900 N. The resistance to motion of the car is constant and equal to \(R \text{ N}\).
(ii) Find \(R\).
A stone slab of mass 320 kg rests in equilibrium on rough horizontal ground. A force of magnitude \(X \text{ N}\) acts upwards on the slab at an angle of \(\theta\) to the vertical, where \(\tan \theta = \frac{7}{24}\) (see diagram).
(i) Find, in terms of \(X\), the normal component of the force exerted on the slab by the ground. [3]
(ii) Given that the coefficient of friction between the slab and the ground is \(\frac{3}{8}\), find the value of \(X\) for which the slab is about to slip. [3]

A small block of mass 0.15 kg moves on a horizontal surface. The coefficient of friction between the block and the surface is 0.025.
The block is struck from a point A on the surface and, 4 s later, it hits a boundary board at a point B. The initial speed of the block is 5.5 m/s-1.
The block rebounds from the board with a speed of 3.5 m/s-1 and moves along the line BA. Find
A car of mass 1500 kg is towing a trailer of mass \(m\) kg along a straight horizontal road. The car and the trailer are connected by a tow-bar which is horizontal, light and rigid. There is a resistance force of \(F\) N on the car and a resistance force of 200 N on the trailer. The driving force of the car’s engine is 3200 N, the acceleration of the car is 1.25 m/s\(^2\) and the tension in the tow-bar is 300 N.
Find the value of \(m\) and the value of \(F\).
A van of mass 3600 kg is towing a trailer of mass 1200 kg along a straight horizontal road using a light horizontal rope. There are resistance forces of 700 N on the van and 300 N on the trailer.
(a) The driving force exerted by the van is 2500 N. Find the tension in the rope.
The driving force is now removed and the van driver applies a braking force which acts only on the van. The resistance forces remain unchanged.
(b) Find the least possible value of the braking force which will cause the rope to become slack.
A block of mass 5 kg is being pulled along a rough horizontal floor by a force of magnitude X N acting at 30° above the horizontal (see diagram). The block starts from rest and travels 2 m in the first 5 s of its motion.
(a) Find the acceleration of the block. [2]
(b) Given that the coefficient of friction between the block and the floor is 0.4, find X. [4]
The block is now placed on a part of the floor where the coefficient of friction between the block and the floor has a different value. The value of X is changed to 25, and the block is now in limiting equilibrium.
(c) Find the value of the coefficient of friction between the block and this part of the floor. [3]

A particle P of mass 0.4 kg is on a rough horizontal floor. The coefficient of friction between P and the floor is \(\mu\). A force of magnitude 3 N is applied to P upwards at an angle \(\alpha\) above the horizontal, where \(\tan \alpha = \frac{3}{4}\). The particle is initially at rest and accelerates at 2 m/s\(^2\).
(a) Find the time it takes for P to travel a distance of 1.44 m from its starting point.
(b) Find \(\mu\).
A crate of mass 500 kg is being pulled along rough horizontal ground by a horizontal rope attached to a winch. The winch produces a constant pulling force of 2500 N and the crate is moving at constant speed. Find the coefficient of friction between the crate and the ground.
A block of mass 3 kg is initially at rest on a rough horizontal plane. A force of magnitude 6 N is applied to the block at an angle of \(\theta\) above the horizontal, where \(\cos \theta = \frac{24}{25}\). The force is applied for a period of 5 s, during which time the block moves a distance of 4.5 m.
A block is pushed along a horizontal floor by a force of magnitude 50 N which acts at an angle of 20° to the horizontal (see diagram). The coefficient of friction between the block and the floor is 0.3. Given that the speed of the block is constant, find the mass of the block.

A particle of mass 0.2 kg moving in a straight line experiences a constant resistance force of 1.5 N. When the particle is moving at speed 2.5 m s-1, a constant force of magnitude F N is applied to it in the direction in which it is moving. Given that the speed of the particle 5 seconds later is 4.5 m s-1, find the value of F.
A block of mass 2 kg is at rest on a horizontal floor. The coefficient of friction between the block and the floor is \(\mu\). A force of magnitude 12 N acts on the block at an angle \(\alpha\) to the horizontal, where \(\tan \alpha = \frac{3}{4}\). When the applied force acts downwards as in Fig. 1 the block remains at rest.
When the applied force acts upwards as in Fig. 2 the block slides along the floor.

Two rectangular boxes A and B are of identical size. The boxes are at rest on a rough horizontal floor with A on top of B. Box A has mass 200 kg and box B has mass 250 kg. A horizontal force of magnitude P N is applied to B (see diagram). The boxes remain at rest if P \leq 3150 and start to move if P > 3150.

Two identical boxes, each of mass 400 kg, are at rest, with one on top of the other, on horizontal ground. A horizontal force of magnitude P newtons is applied to the lower box (see diagram). The coefficient of friction between the lower box and the ground is 0.75 and the coefficient of friction between the two boxes is 0.4.
(i) Show that the boxes will remain at rest if P ≤ 6000.
The boxes start to move with acceleration a m/s².
(ii) Given that no sliding takes place between the boxes, show that a ≤ 4 and deduce the maximum possible value of P.

A small ring P is threaded on a fixed smooth horizontal rod AB. Three horizontal forces of magnitudes 4.5 N, 7.5 N and F N act on P (see diagram).
(i) Given that these three forces are in equilibrium, find the values of F and \(\theta\).
(ii) It is given instead that the values of F and \(\theta\) are 9.5 and 30 respectively, and the acceleration of the ring is 1.5 m s-2. Find the mass of the ring.

A block of mass 3 kg is initially at rest on a smooth horizontal floor. A force of 12 N, acting at an angle of 25° above the horizontal, is applied to the block. Find the distance travelled by the block in the first 5 seconds of its motion.
A small bead Q can move freely along a smooth horizontal straight wire AB of length 3 m. Three horizontal forces of magnitudes F N, 10 N, and 20 N act on the bead in the directions shown in the diagram. The magnitude of the resultant of the three forces is R N in the direction shown in the diagram.
(i) Find the values of F and R.
(ii) Initially the bead is at rest at A. It reaches B with a speed of 11.7 m s-1. Find the mass of the bead.

A particle P of mass 0.5 kg lies on a smooth horizontal plane. Horizontal forces of magnitudes F N, 2.5 N, and 2.6 N act on P. The directions of the forces are as shown in the diagram, where \(\tan \alpha = \frac{12}{5}\) and \(\tan \beta = \frac{7}{24}\).
(i) Given that P is in equilibrium, find the values of F and \(\tan \theta\).
(ii) The force of magnitude F N is removed. Find the magnitude and direction of the acceleration with which P starts to move.

A particle of mass 0.6 kg is placed on a rough plane which is inclined at an angle of 35° to the horizontal. The particle is kept in equilibrium by a horizontal force of magnitude \(P\) N acting in a vertical plane containing a line of greatest slope (see diagram). The coefficient of friction between the particle and plane is 0.4.
Find the least possible value of \(P\).

A particle of mass 0.12 kg is placed on a plane which is inclined at an angle of 40° to the horizontal. The particle is kept in equilibrium by a force of magnitude \(P N\) acting up the plane at an angle of 30° above a line of greatest slope, as shown in the diagram. The coefficient of friction between the particle and the plane is 0.32. Find the set of possible values of \(P\).

A particle of mass 0.6 kg is placed on a rough plane which is inclined at an angle of 21° to the horizontal. The particle is kept in equilibrium by a force of magnitude P N acting parallel to a line of greatest slope of the plane, as shown in the diagram. The coefficient of friction between the particle and the plane is 0.3. Show that the least possible value of P is 0.470, correct to 3 significant figures, and find the greatest possible value of P.

A particle of mass m kg is resting on a rough plane inclined at 30° to the horizontal. A force of magnitude 10 N applied to the particle up a line of greatest slope of the plane is just sufficient to stop the particle sliding down the plane. When a force of 75 N is applied to the particle up a line of greatest slope of the plane, the particle is on the point of sliding up the plane. Find m and the coefficient of friction between the particle and the plane.
A particle of mass 15 kg is stationary on a rough plane inclined at an angle of 20° to the horizontal. The coefficient of friction between the particle and the plane is 0.2. A force of magnitude X N acting parallel to a line of greatest slope of the plane is used to keep the particle in equilibrium. Show that the least possible value of X is 23.1, correct to 3 significant figures, and find the greatest possible value of X.
A block of mass 2.5 kg is placed on a plane which is inclined at an angle of 30° to the horizontal. The block is kept in equilibrium by a light string making an angle of 20° above a line of greatest slope. The tension in the string is T N, as shown in the diagram. The coefficient of friction between the block and plane is \(\frac{1}{4}\). The block is in limiting equilibrium and is about to move up the plane. Find the value of T.

A rough plane is inclined at an angle of \(\alpha^\circ\) to the horizontal. A particle of mass 0.25 kg is in equilibrium on the plane. The normal reaction force acting on the particle has magnitude 2.4 N. Find
A box of mass 30 kg is at rest on a rough plane inclined at an angle \(\alpha\) to the horizontal, where \(\sin \alpha = 0.1\), acted on by a force of magnitude 40 N. The force acts upwards and parallel to a line of greatest slope of the plane. The box is on the point of slipping up the plane.
(i) Find the coefficient of friction between the box and the plane.
The force of magnitude 40 N is removed.
(ii) Determine, giving a reason, whether or not the box remains in equilibrium.
A rough plane is inclined at an angle \(\alpha\) to the horizontal, where \(\tan \alpha = 2.4\). A small block of mass 0.6 kg is held at rest on the plane by a horizontal force of magnitude \(PN\). This force acts in a vertical plane through a line of greatest slope (see diagram). The coefficient of friction between the block and the plane is 0.4. The block is on the point of slipping down the plane. By resolving forces parallel to and perpendicular to the inclined plane, or otherwise, find the value of \(P\).

The diagram shows a particle of mass 0.6 kg on a plane inclined at 25° to the horizontal. The particle is acted on by a force of magnitude \(P\) N directed up the plane parallel to a line of greatest slope. The coefficient of friction between the particle and the plane is 0.36. Given that the particle is in equilibrium, find the set of possible values of \(P\).

A particle P of mass 0.5 kg rests on a rough plane inclined at angle \(\alpha\) to the horizontal, where \(\sin \alpha = 0.28\). A force of magnitude 0.6 N, acting upwards on P at angle \(\alpha\) from a line of greatest slope of the plane, is just sufficient to prevent P sliding down the plane (see diagram). Find

A block of mass 12 kg is placed on a plane which is inclined at an angle of 24° to the horizontal. A light string, making an angle of 36° above a line of greatest slope, is attached to the block. The tension in the string is 65 N (see diagram). The coefficient of friction between the block and plane is \(\mu\). The block is in limiting equilibrium and is on the point of sliding up the plane.
Find \(\mu\).

A block of mass 11 kg is at rest on a rough plane inclined at 30° to the horizontal. A force acts on the block in a direction up the plane parallel to a line of greatest slope. When the magnitude of the force is 2X N the block is on the point of sliding down the plane, and when the magnitude of the force is 9X N the block is on the point of sliding up the plane. Find
A block of mass 8 kg is at rest on a plane inclined at 20° to the horizontal. The block is connected to a vertical wall at the top of the plane by a string. The string is taut and parallel to a line of greatest slope of the plane (see diagram).
(i) Given that the tension in the string is 13 N, find the frictional and normal components of the force exerted on the block by the plane.
The string is cut; the block remains at rest, but is on the point of slipping down the plane.
(ii) Find the coefficient of friction between the block and the plane.

A block of mass 20 kg is at rest on a plane inclined at 10° to the horizontal. A force acts on the block parallel to a line of greatest slope of the plane. The coefficient of friction between the block and the plane is 0.32. Find the least magnitude of the force necessary to move the block,
A force, whose direction is upwards parallel to a line of greatest slope of a plane inclined at 35° to the horizontal, acts on a box of mass 15 kg which is at rest on the plane. The normal component of the contact force on the box has magnitude \(R\) newtons (see Fig. 1).
(i) Show that \(R = 123\), correct to 3 significant figures.
When the force parallel to the plane acting on the box has magnitude \(X\) newtons the box is about to move down the plane, and when this force has magnitude \(5X\) newtons the box is about to move up the plane (see Fig. 2).
(ii) Find the value of \(X\) and the coefficient of friction between the box and the plane.

A particle of mass 12 kg is stationary on a rough plane inclined at an angle of 25° to the horizontal. A force of magnitude \(P\) N acting parallel to a line of greatest slope of the plane is used to prevent the particle sliding down the plane. The coefficient of friction between the particle and the plane is 0.35.
(a) Draw a sketch showing the forces acting on the particle.
(b) Find the least possible value of \(P\).

A particle of mass 12 kg is stationary on a rough plane inclined at an angle of 25° to the horizontal. A pulling force of magnitude \(P\) N acts at an angle of 8° above a line of greatest slope of the plane. This force is used to keep the particle in equilibrium. The coefficient of friction between the particle and the plane is 0.3.
Find the greatest possible value of \(P\).
A particle of mass 2.5 kg is held in equilibrium on a rough plane inclined at 20° to the horizontal by a force of magnitude \(T\) N making an angle of 60° with a line of greatest slope of the plane (see diagram). The coefficient of friction between the particle and the plane is 0.3.
Find the greatest and least possible values of \(T\).

A block of mass 3 kg is at rest on a rough plane inclined at 60° to the horizontal. A force of magnitude 15 N acting up a line of greatest slope of the plane is just sufficient to prevent the block from sliding down the plane.
The force of magnitude 15 N is now replaced by a force of magnitude X N acting up the line of greatest slope.
A particle of mass 3 kg is on a rough plane inclined at an angle of 20° to the horizontal. A force of magnitude \(P N\) acting parallel to a line of greatest slope of the plane is used to keep the particle in equilibrium. The coefficient of friction between the particle and the plane is 0.35. Show that the least possible value of \(P\) is 0.394, correct to 3 significant figures, and find the greatest possible value of \(P\).
A particle of mass 20 kg is on a rough plane inclined at an angle of 60° to the horizontal. Equilibrium is maintained by a force of magnitude \(P \ N\) acting on the particle, in a direction parallel to a line of greatest slope of the plane. The greatest possible value of \(P\) is twice the least possible value of \(P\). Find the value of the coefficient of friction between the particle and the plane.
A particle of mass 12 kg is on a rough plane inclined at an angle of 25° to the horizontal. A force of magnitude \(P\) N acts on the particle. This force is horizontal and the particle is on the point of moving up a line of greatest slope of the plane. The coefficient of friction between the particle and the plane is 0.8. Find the value of \(P\).
A block B, of mass 2 kg, lies on a rough inclined plane sloping at 30° to the horizontal. A light rope, inclined at an angle of 20° above a line of greatest slope, is attached to B. The tension in the rope is T N. There is a friction force of F N acting on B (see diagram). The coefficient of friction between B and the plane is μ.
\((a) It is given that F = 5 and that the acceleration of B up the plane is 1.2 m/s².\)
\((b) It is given instead that μ = 0.8 and T = 15.\)
Determine whether B will move up the plane.

A small box of mass 5 kg is pulled at a constant speed of 2.5 m s-1 down a line of greatest slope of a rough plane inclined at 10° to the horizontal. The pulling force has magnitude 20 N and acts downwards parallel to a line of greatest slope of the plane.
(i) Find the coefficient of friction between the box and the plane.
The pulling force is removed while the box is moving at 2.5 m s-1.
(ii) Find the distance moved by the box after the instant at which the pulling force is removed.
A lorry of mass 12,000 kg moves up a straight hill of length 500 m, starting at the bottom with a speed of 24 m s-1 and reaching the top with a speed of 16 m s-1. The top of the hill is 25 m above the level of the bottom of the hill. The resistance to motion of the lorry is 7500 N. Find the driving force of the lorry.
A box of mass 8 kg is on a rough plane inclined at 5° to the horizontal. A force of magnitude \(P\) N acts on the box in a direction upwards and parallel to a line of greatest slope of the plane. When \(P = 7X\) the box moves up the line of greatest slope with acceleration 0.15 m/s² and when \(P = 8X\) the box moves up the line of greatest slope with acceleration 1.15 m/s². Find the value of \(X\) and the coefficient of friction between the box and the plane.
A block of mass 60 kg is pulled up a hill in the line of greatest slope by a force of magnitude 50 N acting at an angle \(\alpha^\circ\) above the hill. The block passes through points A and B with speeds 8.5 m s\(^{-1}\) and 3.5 m s\(^{-1}\) respectively (see diagram). The distance \(AB\) is 250 m and \(B\) is 17.5 m above the level of \(A\). The resistance to motion of the block is 6 N. Find the value of \(\alpha\).

A particle moves up a line of greatest slope of a rough plane inclined at an angle \(\alpha\) to the horizontal, where \(\sin \alpha = 0.28\). The coefficient of friction between the particle and the plane is \(\frac{1}{3}\).
A cyclist exerts a constant driving force of magnitude \(F\) N while moving up a straight hill inclined at an angle \(\alpha\) to the horizontal, where \(\sin \alpha = \frac{36}{325}\). A constant resistance to motion of 32 N acts on the cyclist. The total weight of the cyclist and his bicycle is 780 N. The cyclist's acceleration is \(-0.2 \text{ m s}^{-2}\).
(i) Find the value of \(F\).
The cyclist’s speed is 7 m s-1 at the bottom of the hill.
(ii) Find how far up the hill the cyclist travels before coming to rest.
A block of weight 6.1 N is at rest on a plane inclined at angle \(\alpha\) to the horizontal, where \(\tan \alpha = \frac{11}{60}\). The coefficient of friction between the block and the plane is \(\mu\). A force of magnitude 5.9 N acting parallel to a line of greatest slope is applied to the block.
(i) When the force acts up the plane (see Fig. 1) the block remains at rest. Show that \(\mu \geq \frac{4}{5}\).
(ii) When the force acts down the plane (see Fig. 2) the block slides downwards. Show that \(\mu < \frac{7}{6}\).
(iii) Given that the acceleration of the block is 1.7 m s\(^{-2}\) when the force acts down the plane, find the value of \(\mu\).

A particle moves up a line of greatest slope of a rough plane inclined at an angle \(\alpha\) to the horizontal, where \(\cos \alpha = 0.96\) and \(\sin \alpha = 0.28\).
The particle comes to rest on reaching the point \(X\).
A particle P of mass 0.6 kg moves upwards along a line of greatest slope of a plane inclined at 18° to the horizontal. The deceleration of P is 4 m s-2.
(i) Find the frictional and normal components of the force exerted on P by the plane. Hence find the coefficient of friction between P and the plane, correct to 2 significant figures.
After P comes to instantaneous rest it starts to move down the plane with acceleration a m s-2.
(ii) Find the value of a.
A particle of mass m kg moves up a line of greatest slope of a rough plane inclined at 21° to the horizontal. The frictional and normal components of the contact force on the particle have magnitudes F N and R N respectively. The particle passes through the point P with speed 10 m s-1, and 2 s later it reaches its highest point on the plane.
A particle P of mass 0.4 kg is in limiting equilibrium on a plane inclined at 30° to the horizontal.
(a) Show that the coefficient of friction between the particle and the plane is \(\frac{1}{3} \sqrt{3}\).
A force of magnitude 7.2 N is now applied to P directly up a line of greatest slope of the plane.
(b) Given that P starts from rest, find the time that it takes for P to move 1 m up the plane.
A and B are points on the same line of greatest slope of a rough plane inclined at 30° to the horizontal. A is higher up the plane than B and the distance AB is 2.25 m. A particle P, of mass m kg, is released from rest at A and reaches B 1.5 s later. Find the coefficient of friction between P and the plane.
The diagram shows a vertical cross-section ABCD of a surface. The parts AB and CD are straight and have lengths 2.5 m and 5.2 m respectively. AD is horizontal, and AB is inclined at 60° to the horizontal. The points B and C are at the same height above AD. The parts of the surface containing AB and BC are smooth. A particle P is given a velocity of 8 m s-1 at A, in the direction AB, and it subsequently reaches D. The particle does not lose contact with the surface during this motion.

A block of mass 8 kg is placed on a rough plane which is inclined at an angle of 18° to the horizontal. The block is pulled up the plane by a light string that makes an angle of 26° above a line of greatest slope. The tension in the string is \(T\) N (see diagram). The coefficient of friction between the block and plane is 0.65.
(a) The acceleration of the block is 0.2 m/s². Find \(T\).
(b) The block is initially at rest. Find the distance travelled by the block during the fourth second of motion.

A particle P of mass 0.3 kg rests on a rough plane inclined at an angle \(\theta\) to the horizontal, where \(\sin \theta = \frac{7}{25}\). A horizontal force of magnitude 4 N, acting in the vertical plane containing a line of greatest slope of the plane, is applied to P (see diagram). The particle is on the point of sliding up the plane.
(a) Show that the coefficient of friction between the particle and the plane is \(\frac{3}{4}\).
The force acting horizontally is replaced by a force of magnitude 4 N acting up the plane parallel to a line of greatest slope.
(b) Find the acceleration of P.
(c) Starting with P at rest, the force of 4 N parallel to the plane acts for 3 seconds and is then removed. Find the total distance travelled until P comes to instantaneous rest.

A constant resistance to motion of magnitude 350 N acts on a car of mass 1250 kg. The engine of the car exerts a constant driving force of 1200 N. The car travels along a road inclined at an angle of \(\theta\) to the horizontal, where \(\sin \theta = 0.05\). Find the speed of the car when it has moved 100 m from rest in each of the following cases:
A block of mass 5 kg is being pulled by a rope up a rough plane inclined at 6° to the horizontal. The rope is parallel to a line of greatest slope of the plane and the block is moving at constant speed. The coefficient of friction between the block and the plane is 0.3. Find the tension in the rope.
A particle of mass 0.2 kg is resting in equilibrium on a rough plane inclined at 20° to the horizontal.
The coefficient of friction between the particle and the plane is 0.6. A force of magnitude 0.9 N is applied to the particle down a line of greatest slope of the plane. The particle accelerates down the plane.
A particle of mass 0.8 kg is projected with a speed of 12 m s-1 up a line of greatest slope of a rough plane inclined at an angle of 10° to the horizontal. The coefficient of friction between the particle and the plane is 0.4.
(i) Find the acceleration of the particle. [4]
(ii) Find the distance the particle moves up the plane before coming to rest. [2]
A car of mass 1200 kg is pulling a trailer of mass 800 kg up a hill inclined at an angle \(\alpha\) to the horizontal, where \(\sin \alpha = 0.1\). The system of the car and the trailer is modelled as two particles connected by a light inextensible cable. The driving force of the car’s engine is 2500 N and the resistances to the car and trailer are 100 N and 150 N respectively.
(i) Find the acceleration of the system and the tension in the cable.
(ii) When the car and trailer are travelling at a speed of 30 m s\(^{-1}\), the driving force becomes zero. The cable remains taut. Find the time, in seconds, before the system comes to rest.
A block of mass 8 kg slides down a rough plane inclined at 30° to the horizontal, starting from rest. The coefficient of friction between the block and the plane is \(\mu\). The block accelerates uniformly down the plane at 2.4 m/s\(^2\).
(a) Draw a diagram showing the forces acting on the block.
(b) Find the value of \(\mu\).
(c) Find the speed of the block after it has moved 3 m down the plane.

A particle P is released from rest at the top of a smooth plane which is inclined at an angle \(\alpha\) to the horizontal, where \(\sin \alpha = \frac{16}{65}\). The distance travelled by P from the top to the bottom is \(S\) metres, and the speed of P at the bottom is 8 m s-1.
A, B, and C are three points on a line of greatest slope of a plane which is inclined at \(\theta^\circ\) to the horizontal, with A higher than B and B higher than C. Between A and B the plane is smooth, and between B and C the plane is rough. A particle P is released from rest on the plane at A and slides down the line ABC. At time 0.8 s after leaving A, the particle passes through B with speed 4 m s\(^{-1}\).
(i) Find the value of \(\theta\).
At time 4.8 s after leaving A, the particle comes to rest at C.
(ii) Find the coefficient of friction between P and the rough part of the plane.
A block of mass 6 kg is sliding down a line of greatest slope of a plane inclined at 8° to the horizontal. The coefficient of friction between the block and the plane is 0.2.
Three points A, B and C lie on a line of greatest slope of a plane inclined at an angle of 30° to the horizontal, with AB = 1 m and BC = 1 m, as shown in the diagram. A particle of mass 0.2 kg is released from rest at A and slides down the plane. The part of the plane from A to B is smooth. The part of the plane from B to C is rough, with coefficient of friction μ between the plane and the particle.
\((a) Given that μ = \frac{1}{2}\sqrt{3}, find the speed of the particle at C.\)
(b) Given instead that the particle comes to rest at C, find the exact value of μ.

A particle is projected from a point P with initial speed u m s-1 up a line of greatest slope PQR of a rough inclined plane. The distances PQ and QR are both equal to 0.8 m. The particle takes 0.6 s to travel from P to Q and 1 s to travel from Q to R.
A particle is released from rest and slides down a line of greatest slope of a rough plane which is inclined at 25° to the horizontal. The coefficient of friction between the particle and the plane is 0.4.
A particle of mass 0.1 kg is released from rest on a rough plane inclined at 20° to the horizontal. It is given that, 5 seconds after release, the particle has a speed of 2 m/s-1.
A particle of mass 0.5 kg starts from rest and slides down a line of greatest slope of a smooth plane. The plane is inclined at an angle of 30° to the horizontal.
(i) Find the time taken for the particle to reach a speed of 2.5 m s-1.
When the particle has travelled 3 m down the slope from its starting point, it reaches rough horizontal ground at the bottom of the slope. The frictional force acting on the particle is 1 N.
(ii) Find the distance that the particle travels along the ground before it comes to rest.
A block of weight 6.1 N slides down a slope inclined at \(\arctan\left(\frac{11}{60}\right)\) to the horizontal. The coefficient of friction between the block and the slope is \(\frac{1}{4}\). The block passes through a point A with speed 2 m s\(^{-1}\). Find how far the block moves from A before it comes to rest.
ABC is a line of greatest slope of a plane inclined at angle \(\alpha\) to the horizontal, where \(\sin \alpha = 0.28\) and \(\cos \alpha = 0.96\). The point A is at the top of the plane, the point C is at the bottom of the plane and the length of AC is 5 m. The part of the plane above the level of B is smooth and the part below the level of B is rough. A particle P is released from rest at A and reaches C with a speed of 2 m s-1. The coefficient of friction between P and the part of the plane below B is 0.5. Find
A straight ice track of length 50 m is inclined at 14° to the horizontal. A man starts at the top of the track, on a sledge, with speed 8 m s-1. He travels on the sledge to the bottom of the track. The coefficient of friction between the sledge and the track is 0.02. Find the speed of the sledge and the man when they reach the bottom of the track.
A block of mass 5 kg is placed on a plane inclined at 30° to the horizontal. The coefficient of friction between the block and the plane is \(\mu\).
(a) When a force of magnitude 40 N is applied to the block, acting up the plane parallel to a line of greatest slope, the block begins to slide up the plane (see Fig. 6.1). Show that \(\mu < \frac{1}{5} \sqrt{3}\).
(b) When a force of magnitude 40 N is applied horizontally, in a vertical plane containing a line of greatest slope, the block does not move (see Fig. 6.2). Show that, correct to 3 decimal places, the least possible value of \(\mu\) is 0.152.

A block of weight 7.5 N is at rest on a plane which is inclined to the horizontal at angle \(\alpha\), where \(\tan \alpha = \frac{7}{24}\). The coefficient of friction between the block and the plane is \(\mu\). A force of magnitude 7.2 N acting parallel to a line of greatest slope is applied to the block. When the force acts up the plane (see Fig. 1) the block remains at rest.
When the force acts down the plane (see Fig. 2) the block slides downwards.

The diagram shows a sector ABC of a circle with centre A and radius 8 cm. The area of the sector is \(\frac{16}{3} \pi \text{ cm}^2\). The point D lies on the arc BC.
Find the perimeter of the segment BCD.

The diagram shows part of a circle with centre O and radius 6 cm. The chord AB is such that angle AOB = 2.2 radians. Calculate:
(i) the perimeter of the shaded region,
(ii) the ratio of the area of the shaded region to the area of the triangle AOB, giving your answer in the form k : 1.

The diagram shows sector OAB with centre O and radius 11 cm. Angle AOB = \(\alpha\) radians. Points C and D lie on OA and OB respectively. Arc CD has centre O and radius 5 cm.
(i) The area of the shaded region ABDC is equal to \(k\) times the area of the unshaded region OCD. Find \(k\).
(ii) The perimeter of the shaded region ABDC is equal to twice the perimeter of the unshaded region OCD. Find the exact value of \(\alpha\).

The diagram shows points A, C, B, P on the circumference of a circle with centre O and radius 3 cm. Angle AOC = angle BOC = 2.3 radians.
(i) Find angle AOB in radians, correct to 4 significant figures.
(ii) Find the area of the shaded region ACBP, correct to 3 significant figures.

In the diagram, OAB and OCD are radii of a circle, centre O and radius 16 cm. Angle AOC = \(\alpha\) radians. AC and BD are arcs of circles, centre O and radii 10 cm and 16 cm respectively.
(i) In the case where \(\alpha = 0.8\), find the area of the shaded region.
(ii) Find the value of \(\alpha\) for which the perimeter of the shaded region is 28.9 cm.

The diagram shows points A, B and C lying on a circle with centre O and radius r. Angle AOB is 2.8 radians. The shaded region is bounded by two arcs. The upper arc is part of the circle with centre O and radius r. The lower arc is part of a circle with centre C and radius R.
(a) State the size of angle ACO in radians.
(b) Find R in terms of r.
(c) Find the area of the shaded region in terms of r.

The diagram shows a sector OAB of a circle with centre O. The length of the arc AB is 8 cm. It is given that the perimeter of the sector is 20 cm.
(a) Find the perimeter of the shaded segment.
(b) Find the area of the shaded segment.

In the diagram, AC is an arc of a circle, centre O and radius 6 cm. The line BC is perpendicular to OC and OAB is a straight line. Angle AOC = \(\frac{1}{3} \pi\) radians. Find the area of the shaded region, giving your answer in terms of \(\pi\) and \(\sqrt{3}\).

In the diagram, OCD is an isosceles triangle with OC = OD = 10 ext{ cm} and angle COD = 0.8 radians. The points A and B, on OC and OD respectively, are joined by an arc of a circle with centre O and radius 6 ext{ cm}. Find

The diagram shows the sector OPQ of a circle with centre O and radius r cm. The angle POQ is \(\theta\) radians and the perimeter of the sector is 20 cm.
(i) Show that \(\theta = \frac{20}{r} - 2\).
(ii) Hence express the area of the sector in terms of r.
(iii) In the case where \(r = 8\), find the length of the chord PQ.

The diagram shows a semicircle ABC with centre O and radius 8 cm. Angle AOB = \(\theta\) radians.
(i) In the case where \(\theta = 1\), calculate the area of the sector BOC.
(ii) Find the value of \(\theta\) for which the perimeter of sector AOB is one half of the perimeter of sector BOC.
(iii) In the case where \(\theta = \frac{1}{3}\pi\), show that the exact length of the perimeter of triangle ABC is \((24 + 8\sqrt{3})\) cm.

In the diagram, OPQ is a sector of a circle, centre O and radius r cm. Angle QOP = θ radians. The tangent to the circle at Q meets OP extended at R.
(i) Show that the area, A cm², of the shaded region is given by A = \frac{1}{2}r^2(\tan \theta - \theta).
(ii) In the case where θ = 0.8 and r = 15, evaluate the length of the perimeter of the shaded region.

The diagram shows the circular cross-section of a uniform cylindrical log with centre O and radius 20 cm. The points A, X, and B lie on the circumference of the cross-section and AB = 32 cm.
The section AXBCD, where ABCD is a rectangle with AD = 18 cm, is removed.

The diagram shows triangle ABC with AB = BC = 6 cm and angle ABC = 1.8 radians. The arc CD is part of a circle with centre A and ABD is a straight line.
(a) Find the perimeter of the shaded region.
(b) Find the area of the shaded region.

The diagram shows a sector OBAC of a circle with centre O and radius 10 cm. The point P lies on OC and BP is perpendicular to OC. Angle AOC = \(\frac{1}{6} \pi\) and the length of the arc AB is 2 cm.
(a) Find the angle BOC.
(b) Hence find the area of the shaded region BPC giving your answer correct to 3 significant figures.

The diagram shows a sector ABC of a circle with centre A and radius r. The line BD is perpendicular to AC. Angle CAB is \(\theta\) radians.
(a) Given that \(\theta = \frac{\pi}{6}\), find the exact area of BCD in terms of r.
(b) Given instead that the length of \(BD = \frac{\sqrt{3}}{2}r\), find the exact perimeter of BCD in terms of r.

The diagram shows a circle with centre A of radius 5 cm and a circle with centre B of radius 8 cm. The circles touch at the point C so that ACB is a straight line. The tangent at the point D on the smaller circle intersects the larger circle at E and passes through B.
(a) Find the perimeter of the shaded region.
(b) Find the area of the shaded region.

In the diagram, X and Y are points on the line AB such that BX = 9 ext{ cm} and AY = 11 ext{ cm}. Arc BC is part of a circle with centre X and radius 9 ext{ cm}, where CX is perpendicular to AB. Arc AC is part of a circle with centre Y and radius 11 ext{ cm}.
(a) Show that angle XYC = 0.9582 radians, correct to 4 significant figures.
(b) Find the perimeter of ABC.

In the diagram the lengths of \(AB\) and \(AC\) are both 15 cm. The point \(P\) is the foot of the perpendicular from \(C\) to \(AB\). The length \(CP = 9\) cm. An arc of a circle with centre \(B\) passes through \(C\) and meets \(AB\) at \(Q\).
(a) Show that angle \(ABC = 1.25\) radians, correct to 3 significant figures.
(b) Calculate the area of the shaded region which is bounded by the arc \(CQ\) and the lines \(CP\) and \(PQ\).

The diagram shows a metal plate ABC in which the sides are the straight line AB and the arcs AC and BC. The line AB has length 6 cm. The arc AC is part of a circle with centre B and radius 6 cm, and the arc BC is part of a circle with centre A and radius 6 cm.
(a) Find the perimeter of the plate, giving your answer in terms of \(\pi\).
(b) Find the area of the plate, giving your answer in terms of \(\pi\) and \(\sqrt{3}\).

The diagram shows a triangle ABC, in which angle \(ABC = 90^\circ\) and \(AB = 4\text{ cm}\). The sector \(ABD\) is part of a circle with centre \(A\). The area of the sector is \(10\text{ cm}^2\).
(a) Find angle \(BAD\) in radians.
(b) Find the perimeter of the shaded region.

The diagram shows a cross-section of seven cylindrical pipes, each of radius 20 cm, held together by a thin rope which is wrapped tightly around the pipes. The centres of the six outer pipes are A, B, C, D, E and F. Points P and Q are situated where straight sections of the rope meet the pipe with centre A.
(a) Show that angle PAQ = \(\frac{1}{3} \pi\) radians.
(b) Find the length of the rope.
(c) Find the area of the hexagon ABCDEF, giving your answer in terms of \(\sqrt{3}\).
(d) Find the area of the complete region enclosed by the rope.

The diagram shows the shape of a coin. The three arcs AB, BC, and CA are parts of circles with centres C, A, and B respectively. ABC is an equilateral triangle with sides of length 2 cm.
(a) Find the perimeter of the coin.
(b) Find the area of the face ABC of the coin, giving the answer in terms of \(\pi\) and \(\sqrt{3}\).

The diagram shows a symmetrical metal plate. The plate is made by removing two identical pieces from a circular disc with centre C. The boundary of the plate consists of two arcs PS and QR of the original circle and two semicircles with PQ and RS as diameters. The radius of the circle with centre C is 4 cm, and PQ = RS = 4 cm also.
(a) Show that angle PCS = \(\frac{2}{3} \pi\) radians.
(b) Find the exact perimeter of the plate.
(c) Show that the area of the plate is \(\left( \frac{20}{3} \pi + 8\sqrt{3} \right) \text{ cm}^2\).

The diagram shows a sector ABC which is part of a circle of radius a. The points D and E lie on AB and AC respectively and are such that AD = AE = ka, where k < 1. The line DE divides the sector into two regions which are equal in area.
(a) For the case where angle BAC = \frac{1}{6}\pi radians, find k correct to 4 significant figures.
(b) For the general case in which angle BAC = \theta radians, where 0 < \theta < \frac{1}{2}\pi, it is given that \frac{\theta}{\sin \theta} > 1. Find the set of possible values of k.

In the diagram, arc AB is part of a circle with centre O and radius 8 cm. Arc BC is part of a circle with centre A and radius 12 cm, where AOC is a straight line.
(a) Find angle BAO in radians.
(b) Find the area of the shaded region.
(c) Find the perimeter of the shaded region.

In the diagram, ABC is an isosceles triangle with AB = BC = r cm and angle BAC = θ radians. The point D lies on AC and ABD is a sector of a circle with centre A.
(a) Express the area of the shaded region in terms of r and θ.
(b) In the case where r = 10 and θ = 0.6, find the perimeter of the shaded region.

The diagram shows a sector CAB which is part of a circle with centre C. A circle with centre O and radius r lies within the sector and touches it at D, E and F, where COD is a straight line and angle ACD is \(\theta \\) radians.
(a) Find CD in terms of r and \(\sin \theta \\).
It is now given that \(r = 4 \\) and \(\theta = \frac{1}{6} \pi \\).
(b) Find the perimeter of sector CAB in terms of \(\pi \\).
(c) Find the area of the shaded region in terms of \(\pi \\) and \(\sqrt{3} \\).

The diagram shows a cord going around a pulley and a pin. The pulley is modelled as a circle with centre O and radius 5 cm. The thickness of the cord and the size of the pin P can be neglected. The pin is situated 13 cm vertically below O. Points A and B are on the circumference of the circle such that AP and BP are tangents to the circle. The cord passes over the major arc AB of the circle and under the pin such that the cord is taut.
Calculate the length of the cord.

In the diagram, \(OAB\) is a sector of a circle with centre \(O\) and radius \(2r\), and angle \(AOB = \frac{1}{6} \pi\) radians. The point \(C\) is the midpoint of \(OA\).
(a) Show that the exact length of \(BC\) is \(r\sqrt{5} - 2\sqrt{3}\).
(b) Find the exact perimeter of the shaded region.
(c) Find the exact area of the shaded region.

In the diagram, ABC is a semicircle with diameter AC, centre O and radius 6 cm. The length of the arc AB is 15 cm. The point X lies on AC and BX is perpendicular to AX.
Find the perimeter of the shaded region BXC.

The diagram shows a sector AOB which is part of a circle with centre O and radius 6 cm and with angle AOB = 0.8 radians. The point C on OB is such that AC is perpendicular to OB. The arc CD is part of a circle with centre O, where D lies on OA.
Find the area of the shaded region.

The diagram shows a semicircle ACB with centre O and radius r. Arc OC is part of a circle with centre A.
(i) Express angle CAO in radians in terms of \(\\pi\).
(ii) Find the area of the shaded region in terms of r, \(\\pi\) and \(\\sqrt{3}\), simplifying your answer.

The diagram shows a motif formed by the major arc \(AB\) of a circle with radius \(r\) and centre \(O\), and the minor arc \(AOB\) of a circle, also with radius \(r\) but with centre \(C\). The point \(C\) lies on the circle with centre \(O\).
(a) Given that angle \(ACB = k\pi\) radians, state the value of the fraction \(k\).
(b) State the perimeter of the shaded motif in terms of \(\pi\) and \(r\).
(c) Find the area of the shaded motif, giving your answer in terms of \(\pi\), \(r\) and \(\sqrt{3}\).

The diagram shows a circle with centre O and radius r cm. Points A and B lie on the circle and angle AOB = 2\theta radians. The tangents to the circle at A and B meet at T.
(i) Express the perimeter of the shaded region in terms of r and \theta.
(ii) In the case where r = 5 and \theta = 1.2, find the area of the shaded region.

The diagram shows a sector OAC of a circle with centre O. Tangents AB and CB to the circle meet at B. The arc AC is of length 6 cm and angle AOC = \(\frac{3}{8} \pi\) radians.
(i) Find the length of OA correct to 4 significant figures.
(ii) Find the perimeter of the shaded region.
(iii) Find the area of the shaded region.

The diagram shows triangle ABC which is right-angled at A. Angle ABC = \frac{1}{5}\pi radians and AC = 8 cm. The points D and E lie on BC and BA respectively. The sector ADE is part of a circle with centre A and is such that BDC is the tangent to the arc DE at D.
(i) Find the length of AD.
(ii) Find the area of the shaded region.

The diagram shows a semicircle with diameter \(AB\), centre \(O\) and radius \(r\). The point \(C\) lies on the circumference and angle \(AOC = \theta\) radians. The perimeter of sector \(BOC\) is twice the perimeter of sector \(AOC\). Find the value of \(\theta\) correct to 2 significant figures.

A sector of a circle of radius r cm has an area of A cm2. Express the perimeter of the sector in terms of r and A.
In the diagram, CXD is a semicircle of radius 7 cm with centre A and diameter CD. The straight line YABX is perpendicular to CD, and the arc CYD is part of a circle with centre B and radius 8 cm. Find the total area of the region enclosed by the two arcs.

The diagram shows an arc BC of a circle with centre A and radius 5 cm. The length of the arc BC is 4 cm. The point D is such that the line BD is perpendicular to BA and DC is parallel to BA.
(i) Find angle BAC in radians.
(ii) Find the area of the shaded region BDC.

The diagram shows an isosceles triangle ACB in which AB = BC = 8 ext{ cm} and AC = 12 ext{ cm}. The arc XC is part of a circle with centre A and radius 12 ext{ cm}, and the arc YC is part of a circle with centre B and radius 8 ext{ cm}. The points A, B, X and Y lie on a straight line.
(i) Show that angle CBY = 1.445 radians, correct to 4 significant figures.
(ii) Find the perimeter of the shaded region.

The diagram shows a triangle OAB in which angle ABO is a right angle, angle AOB = \frac{1}{5}\pi radians and AB = 5 \text{ cm}. The arc BC is part of a circle with centre A and meets OA at C. The arc CD is part of a circle with centre O and meets OB at D. Find the area of the shaded region.

The diagram shows a triangle OAB in which angle OAB = 90° and OA = 5 cm. The arc AC is part of a circle with centre O. The arc has length 6 cm and it meets OB at C. Find the area of the shaded region.

The diagram shows a sector OAB of a circle with centre O and radius r cm. Angle AOB = θ radians. It is given that the length of the arc AB is 9.6 cm and that the area of the sector OAB is 76.8 cm².
(a) Find the area of the shaded region.
(b) Find the perimeter of the shaded region.

The diagram shows points A and B on a circle with centre O and radius r. The tangents to the circle at A and B meet at T. The shaded region is bounded by the minor arc AB and the lines AT and BT. Angle AOB is 2θ radians.
(i) In the case where the area of the sector AOB is the same as the area of the shaded region, show that tan θ = 2θ.
(ii) In the case where r = 8 cm and the length of the minor arc AB is 19.2 cm, find the area of the shaded region.

The diagram shows a circle with centre O and radius r cm. The points A and B lie on the circle and AT is a tangent to the circle. Angle AOB = \theta radians and OBT is a straight line.
(i) Express the area of the shaded region in terms of r and \theta.
(ii) In the case where r = 3 and \theta = 1.2, find the perimeter of the shaded region.

The diagram shows a sector POQ of a circle of radius 10 cm and centre O. Angle POQ is 2.2 radians. QR is an arc of a circle with centre P and POR is a straight line.
(i) Show that the length of PQ is 17.8 cm, correct to 3 significant figures.
(ii) Find the perimeter of the shaded region.

The diagram shows a rectangle ABCD in which AB = 5 units and BC = 3 units. Point P lies on DC and AP is an arc of a circle with centre B. Point Q lies on DC and AQ is an arc of a circle with centre D.
(i) Show that angle ABP = 0.6435 radians, correct to 4 decimal places.
(ii) Calculate the areas of the sectors BAP and DAQ.
(iii) Calculate the area of the shaded region.

The diagram shows a semicircle with centre O and radius 6 cm. The radius OC is perpendicular to the diameter AB. The point D lies on AB, and DC is an arc of a circle with centre B.
(i) Calculate the length of the arc DC.
(ii) Find the value of \(\frac{\text{area of region } P}{\text{area of region } Q}\), giving your answer correct to 3 significant figures.

The diagram shows an isosceles triangle ABC in which AC = 16 ext{ cm} and AB = BC = 10 ext{ cm}. The circular arcs BE and BD have centres at A and C respectively, where D and E lie on AC.
(i) Show that angle BAC = 0.6435 radians, correct to 4 decimal places.
(ii) Find the area of the shaded region.

The diagram shows two circles with centres A and B having radii 8 cm and 10 cm respectively. The two circles intersect at C and D where CAD is a straight line and AB is perpendicular to CD.
(i) Find angle ABC in radians.
(ii) Find the area of the shaded region.

The diagram shows a circle with radius r cm and centre O. Points A and B lie on the circle and ABCD is a rectangle. Angle AOB = 2θ radians and AD = r cm.
(i) Express the perimeter of the shaded region in terms of r and θ.
(ii) In the case where r = 5 and θ = \(\frac{1}{6} \pi\), find the area of the shaded region.

In the diagram, \(OAXB\) is a sector of a circle with centre \(O\) and radius 10 cm. The length of the chord \(AB\) is 12 cm. The line \(OX\) passes through \(M\), the mid-point of \(AB\), and \(OX\) is perpendicular to \(AB\). The shaded region is bounded by the chord \(AB\) and by the arc of a circle with centre \(X\) and radius \(XA\).
(i) Show that angle \(AXB\) is 2.498 radians, correct to 3 decimal places.
(ii) Find the perimeter of the shaded region.
(iii) Find the area of the shaded region.

In the diagram, \(AB = AC = 8 \text{ cm}\) and angle \(CAB = \frac{2}{7} \pi\) radians. The circular arc \(BC\) has centre \(A\), the circular arc \(CD\) has centre \(B\) and \(ABD\) is a straight line.
(i) Show that angle \(CBD = \frac{9}{14} \pi\) radians.
(ii) Find the perimeter of the shaded region.

The diagram shows a sector OAB of a circle with centre O. Angle AOB = \(\theta\) radians and \(OP = AP = x\).
(a) Show that the arc length AB is \(2x\theta \cos \theta\).
(b) Find the area of the shaded region APB in terms of \(x\) and \(\theta\).

The diagram shows a major arc \(AB\) of a circle with centre \(O\) and radius 6 cm. Points \(C\) and \(D\) on \(OA\) and \(OB\) respectively are such that the line \(AB\) is a tangent at \(E\) to the arc \(CED\) of a smaller circle also with centre \(O\). Angle \(COD = 1.8\) radians.
(i) Show that the radius of the arc \(CED\) is 3.73 cm, correct to 3 significant figures.
(ii) Find the area of the shaded region.

The diagram shows a metal plate ABCD made from two parts. The part BCD is a semicircle. The part DAB is a segment of a circle with centre O and radius 10 cm. Angle BOD is 1.2 radians.
(i) Show that the radius of the semicircle is 5.646 cm, correct to 3 decimal places.
(ii) Find the perimeter of the metal plate.
(iii) Find the area of the metal plate.

In the diagram, OCA and ODB are radii of a circle with centre O and radius 2r cm. Angle AOB = α radians. CD and AB are arcs of circles with centre O and radii r cm and 2r cm respectively. The perimeter of the shaded region ABDC is 4.4r cm.
(i) Find the value of α.
(ii) It is given that the area of the shaded region is 30 cm². Find the value of r.

The diagram shows triangle ABC where AB = 5 cm, AC = 4 cm and BC = 3 cm. Three circles with centres at A, B and C have radii 3 cm, 2 cm and 1 cm respectively. The circles touch each other at points E, F and G, lying on AB, AC and BC respectively. Find the area of the shaded region EFG.

The diagram shows a circle with radius r cm and centre O. The line PT is the tangent to the circle at P and angle POT = α radians. The line OT meets the circle at Q.
(i) Express the perimeter of the shaded region PQT in terms of r and α.
(ii) In the case where α = \(\frac{1}{3} \pi\) and r = 10, find the area of the shaded region correct to 2 significant figures.

In the diagram, AOB is a quarter circle with centre O and radius r. The point C lies on the arc AB and the point D lies on OB. The line CD is parallel to AO and angle AOC = θ radians.
(i) Express the perimeter of the shaded region in terms of r, θ and π.
(ii) For the case where r = 5 cm and θ = 0.6, find the area of the shaded region.

(a) In Fig. 1, \(OAB\) is a sector of a circle with centre \(O\) and radius \(r\). \(AX\) is the tangent at \(A\) to the arc \(AB\) and angle \(BAX = \alpha\).
(i) Show that angle \(AOB = 2\alpha\).
(ii) Find the area of the shaded segment in terms of \(r\) and \(\alpha\).
(b) In Fig. 2, \(ABC\) is an equilateral triangle of side 4 cm. The lines \(AX, BX\) and \(CX\) are tangents to the equal circular arcs \(AB, BC\) and \(CA\). Use the results in part (a) to find the area of the shaded region, giving your answer in terms of \(\pi\) and \(\sqrt{3}\).

The diagram shows a metal plate OABCDEF consisting of 3 sectors, each with centre O. The radius of sector COD is 2r and angle COD is θ radians. The radius of each of the sectors BOA and FOE is r, and AOED and CBOF are straight lines.
(i) Show that the area of the metal plate is r^2(π + θ).
(ii) Show that the perimeter of the metal plate is independent of θ.

The diagram shows a metal plate OABC, consisting of a right-angled triangle OAB and a sector OBC of a circle with centre O. Angle AOB = 0.6 radians, OA = 6 cm and OA is perpendicular to OC.
(i) Show that the length of OB is 7.270 cm, correct to 3 decimal places.
(ii) Find the perimeter of the metal plate.
(iii) Find the area of the metal plate.

The diagram shows a circle with centre A and radius r. Diameters CAD and BAE are perpendicular to each other. A larger circle has centre B and passes through C and D.
(i) Show that the radius of the larger circle is r√2.
(ii) Find the area of the shaded region in terms of r.

In the diagram, OAB is a sector of a circle with centre O and radius r. The point C on OB is such that angle ACO is a right angle. Angle AOB is α radians and is such that AC divides the sector into two regions of equal area.
(i) Show that \(\sin \alpha \cos \alpha = \frac{1}{2} \alpha\).
It is given that the solution of the equation in part (i) is \(\alpha = 0.9477\), correct to 4 decimal places.
(ii) Find the ratio perimeter of region OAC : perimeter of region ACB, giving your answer in the form k : 1, where k is given correct to 1 decimal place.
(iii) Find angle AOB in degrees.

In the diagram, AYB is a semicircle with AB as diameter and OAXB is a sector of a circle with centre O and radius r. Angle AOB = 2θ radians. Find an expression, in terms of r and θ, for the area of the shaded region.

In the diagram, OADC is a sector of a circle with centre O and radius 3 cm. AB and CB are tangents to the circle and angle ABC = \(\frac{1}{3} \pi\) radians. Find, giving your answer in terms of \(\sqrt{3}\) and \(\pi\),
(i) the perimeter of the shaded region,
(ii) the area of the shaded region.

The diagram shows a triangle AOB in which OA is 12 cm, OB is 5 cm and angle AOB is a right angle. Point P lies on AB and OP is an arc of a circle with centre A. Point Q lies on AB and OQ is an arc of a circle with centre B.
(i) Show that angle BAO is 0.3948 radians, correct to 4 decimal places.
(ii) Calculate the area of the shaded region.

In the diagram, AB is an arc of a circle with centre O and radius 4 cm. Angle AOB is \(\alpha\) radians. The point D on OB is such that AD is perpendicular to OB. The arc DC, with centre O, meets OA at C.
(i) Find an expression in terms of \(\alpha\) for the perimeter of the shaded region ABDC.
(ii) For the case where \(\alpha = \frac{1}{6}\pi\), find the area of the shaded region ABDC, giving your answer in the form \(k\pi\), where \(k\) is a constant to be determined.

The diagram shows a sector of a circle with radius r cm and centre O. The chord AB divides the sector into a triangle AOB and a segment AXB. Angle AOB is θ radians.
(i) In the case where the areas of the triangle AOB and the segment AXB are equal, find the value of the constant p for which θ = p \, \sin \, θ.
(ii) In the case where r = 8 and θ = 2.4, find the perimeter of the segment AXB.

The diagram shows triangle ABC in which AB is perpendicular to BC. The length of AB is 4 cm and angle CAB is \(\alpha\) radians. The arc DE with centre A and radius 2 cm meets AC at D and AB at E. Find, in terms of \(\alpha\),
(i) the area of the shaded region,

Fig. 1 shows a hollow cone with no base, made of paper. The radius of the cone is 6 cm and the height is 8 cm. The paper is cut from A to O and opened out to form the sector shown in Fig. 2. The circular bottom edge of the cone in Fig. 1 becomes the arc of the sector in Fig. 2. The angle of the sector is \(\theta\) radians. Calculate
(i) the value of \(\theta\),
(ii) the area of paper needed to make the cone.

The diagram shows triangle ABC in which angle B is a right angle. The length of AB is 8 cm and the length of BC is 4 cm. The point D on AB is such that AD = 5 cm. The sector DAC is part of a circle with centre D.
(a) Find the perimeter of the shaded region.
(b) Find the area of the shaded region.

The diagram shows a metal plate made by fixing together two pieces, OABCD (shaded) and OAED (unshaded). The piece OABCD is a minor sector of a circle with centre O and radius 2r. The piece OAED is a major sector of a circle with centre O and radius r. Angle AOD is \(\alpha\) radians. Simplifying your answers where possible, find, in terms of \(\alpha\), \(\pi\) and \(r\),
(i) the perimeter of the metal plate,
(ii) the area of the metal plate.
It is now given that the shaded and unshaded pieces are equal in area.
(iii) Find \(\alpha\) in terms of \(\pi\).

The diagram shows a circle C with centre O and radius 3 cm. The radii OP and OQ are extended to S and R respectively so that ORS is a sector of a circle with centre O. Given that PS = 6 cm and that the area of the shaded region is equal to the area of circle C,

The diagram shows a square ABCD of side 10 cm. The mid-point of AD is O and BXC is an arc of a circle with centre O.

In the diagram, OAB is a sector of a circle with centre O and radius 8 cm. Angle BOA is \(\alpha\) radians. OAC is a semicircle with diameter OA. The area of the semicircle OAC is twice the area of the sector OAB.
(i) Find \(\alpha\) in terms of \(\pi\).
(ii) Find the perimeter of the complete figure in terms of \(\pi\).

In the diagram, D lies on the side AB of triangle ABC and CD is an arc of a circle with centre A and radius 2 cm. The line BC is of length \(2\sqrt{3}\) cm and is perpendicular to AC. Find the area of the shaded region BDC, giving your answer in terms of \(\pi\) and \(\sqrt{3}\).

The diagram shows a sector of a circle with centre O and radius 20 cm. A circle with centre C and radius x cm lies within the sector and touches it at P, Q, and R. Angle POR = 1.2 radians.
(i) Show that x = 7.218, correct to 3 decimal places.
(ii) Find the total area of the three parts of the sector lying outside the circle with centre C.
(iii) Find the perimeter of the region OPSR bounded by the arc PSR and the lines OP and OR.

The diagram shows a sector OAB of a circle with centre O and radius r. Angle AOB is \(\theta\) radians. The point C on OA is such that BC is perpendicular to OA. The point D is on BC and the circular arc AD has centre C.
(i) Find AC in terms of r and \(\theta\).
(ii) Find the perimeter of the shaded region ABD when \(\theta = \frac{1}{3} \pi\) and r = 4, giving your answer as an exact value.

In the diagram, AB is an arc of a circle with centre O and radius r. The line XB is a tangent to the circle at B and A is the mid-point of OX.
(i) Show that angle AOB = \frac{1}{3}\pi radians.
Express each of the following in terms of r, \pi and \sqrt{3}:
(ii) the perimeter of the shaded region,
(iii) the area of the shaded region.

The diagram shows a metal plate made by removing a segment from a circle with centre O and radius 8 cm. The line AB is a chord of the circle and angle AOB = 2.4 radians. Find

In the diagram, \(ABC\) is an equilateral triangle of side \(2 \text{ cm}\). The mid-point of \(BC\) is \(Q\). An arc of a circle with centre \(A\) touches \(BC\) at \(Q\), and meets \(AB\) at \(P\) and \(AC\) at \(R\). Find the total area of the shaded regions, giving your answer in terms of \(\pi\) and \(\sqrt{3}\).

The diagram shows two identical circles intersecting at points A and B and with centres at P and Q. The radius of each circle is \(r\) and the distance \(PQ\) is \(\frac{5}{3}r\).
(a) Find the perimeter of the shaded region in terms of \(r\).
(b) Find the area of the shaded region in terms of \(r\).

In the diagram, ABCD is a parallelogram with AB = BD = DC = 10 cm and angle ABD = 0.8 radians. APD and BQC are arcs of circles with centres B and D respectively.

The diagram shows a circle \(C_1\) touching a circle \(C_2\) at a point \(X\). Circle \(C_1\) has centre \(A\) and radius 6 cm, and circle \(C_2\) has centre \(B\) and radius 10 cm. Points \(D\) and \(E\) lie on \(C_1\) and \(C_2\) respectively and \(DE\) is parallel to \(AB\). Angle \(DAX = \frac{1}{3}\pi\) radians and angle \(EBX = \theta\) radians.
(i) By considering the perpendicular distances of \(D\) and \(E\) from \(AB\), show that the exact value of \(\theta\) is \(\sin^{-1}\left(\frac{3\sqrt{3}}{10}\right)\).
(ii) Find the perimeter of the shaded region, correct to 4 significant figures.

The diagram represents a metal plate OABC, consisting of a sector OAB of a circle with centre O and radius r, together with a triangle OCB which is right-angled at C. Angle AOB = \(\theta\) radians and OC is perpendicular to OA.
(i) Find an expression in terms of r and \(\theta\) for the perimeter of the plate.
(ii) For the case where r = 10 and \(\theta = \frac{1}{5}\pi\), find the area of the plate.

In the diagram, AB is an arc of a circle, centre O and radius 6 cm, and angle AOB = \(\frac{1}{3} \pi\) radians. The line AX is a tangent to the circle at A, and OBX is a straight line.

In the diagram, OAB is an isosceles triangle with OA = OB and angle AOB = 2\theta radians. Arc PST has centre O and radius r, and the line ASB is a tangent to the arc PST at S.
(i) Find the total area of the shaded regions in terms of r and \(\theta\).
(ii) In the case where \(\theta = \frac{1}{3}\pi\) and \(r = 6\), find the total perimeter of the shaded regions, leaving your answer in terms of \(\sqrt{3}\) and \(\pi\).

The diagram shows a rhombus ABCD. Points P and Q lie on the diagonal AC such that BPD is an arc of a circle with centre C and BQD is an arc of a circle with centre A. Each side of the rhombus has length 5 cm and angle BAD = 1.2 radians.
(i) Find the area of the shaded region BPDQ.
(ii) Find the length of PQ.

The diagram shows two circles, \(C_1\) and \(C_2\), touching at the point \(T\). Circle \(C_1\) has centre \(P\) and radius 8 cm; circle \(C_2\) has centre \(Q\) and radius 2 cm. Points \(R\) and \(S\) lie on \(C_1\) and \(C_2\) respectively, and \(RS\) is a tangent to both circles.
(i) Show that \(RS = 8\) cm.
(ii) Find angle \(RPQ\) in radians correct to 4 significant figures.
(iii) Find the area of the shaded region.

The diagram shows a metal plate ABCDEF which has been made by removing the two shaded regions from a circle of radius 10 cm and centre O. The parallel edges AB and ED are both of length 12 cm.

The diagram shows a semicircle ABC with centre O and radius 6 cm. The point B is such that angle BOA is 90° and BD is an arc of a circle with centre A. Find

The diagram shows a cross-section RASB of the body of an aircraft. The cross-section consists of a sector OARB of a circle of radius 2.5 m, with centre O, a sector PASB of another circle of radius 2.24 m with centre P and a quadrilateral OAPB. Angle AOB = \(\frac{2\pi}{3}\) and angle APB = \(\frac{5\pi}{6}\).
(a) Find the perimeter of the cross-section RASB, giving your answer correct to 2 decimal places.
(b) Find the difference in area of the two triangles AOB and APB, giving your answer correct to 2 decimal places.
(c) Find the area of the cross-section RASB, giving your answer correct to 1 decimal place.

The diagram shows a circle with centre O. The circle is divided into two regions, R1 and R2, by the radii OA and OB, where angle AOB = \theta radians. The perimeter of the region R1 is equal to the length of the major arc AB.
(i) Show that \(\theta = \pi - 1\).
(ii) Given that the area of region R1 is 30 cm2, find the area of region R2, correct to 3 significant figures.

In the diagram, the circle has centre O and radius 5 cm. The points P and Q lie on the circle, and the arc length PQ is 9 cm. The tangents to the circle at P and Q meet at the point T. Calculate
(i) angle POQ in radians,
(ii) the length of PT,
(iii) the area of the shaded region.

The diagram shows a circle with centre O and radius 5 cm. The point P lies on the circle, PT is a tangent to the circle and PT = 12 cm. The line OT cuts the circle at the point Q.
(i) Find the perimeter of the shaded region.
(ii) Find the area of the shaded region.

In the diagram, AB is an arc of a circle, centre O and radius r cm, and angle AOB = θ radians. The point X lies on OB and AX is perpendicular to OB.
(i) Show that the area, A cm², of the shaded region AXB is given by
\(A = \frac{1}{2}r^2(\theta - \sin \theta \cos \theta)\).
(ii) In the case where r = 12 and θ = \(\frac{1}{6}\pi\), find the perimeter of the shaded region AXB, leaving your answer in terms of \(\sqrt{3}\) and \(\pi\).

In the diagram, OAB is a sector of a circle with centre O and radius 12 cm. The lines AX and BX are tangents to the circle at A and B respectively. Angle AOB = \(\frac{1}{3} \pi\) radians.
(i) Find the exact length of AX, giving your answer in terms of \(\sqrt{3}\).

In the diagram, AOB is a sector of a circle with centre O and radius 12 cm. The point A lies on the side CD of the rectangle OCDB. Angle AOB = \(\frac{1}{3} \pi\) radians. Express the area of the shaded region in the form \(a(\sqrt{3}) - b\pi\), stating the values of the integers a and b.

The diagram shows a circle with centre O and radius 8 cm. Points A and B lie on the circle. The tangents at A and B meet at the point T, and AT = BT = 15 cm.
(i) Show that angle AOB is 2.16 radians, correct to 3 significant figures.
(ii) Find the perimeter of the shaded region.
(iii) Find the area of the shaded region.

The equation of a curve is \(xy = 12\) and the equation of a line \(l\) is \(2x + y = k\), where \(k\) is a constant.
In the case where \(k = 10\), one of the points of intersection is \(P(2, 6)\). Find the angle, in degrees correct to 1 decimal place, between \(l\) and the tangent to the curve at \(P\).
In the diagram, ABC is a semicircle, centre O and radius 9 cm. The line BD is perpendicular to the diameter AC and angle AOB = 2.4 radians.

The equation of a curve is \(x^3 + y^2 + 3x^2 + 3y = 4\).
(a) Show that \(\frac{dy}{dx} = -\frac{3x^2 + 6x}{2y + 3}\).
(b) Hence find the coordinates of the points on the curve at which the tangent is parallel to the x-axis.
Find the gradient of the curve \(x^3 + 3xy^2 - y^3 = 1\) at the point with coordinates (1, 3).
The variables x and y satisfy the relation \(\sin y = \tan x\), where \(-\frac{1}{2}\pi < y < \frac{1}{2}\pi\). Show that \(\frac{dy}{dx} = \frac{1}{\cos x \sqrt{\cos 2x}}\).
The equation of a curve is \(2x^3 - y^3 - 3xy^2 = 2a^3\), where \(a\) is a non-zero constant.
The equation of a curve is \(x^2(x + 3y) - y^3 = 3\).
(i) Show that \(\frac{dy}{dx} = \frac{x^2 + 2xy}{y^2 - x^2}\).
(ii) Hence find the exact coordinates of the two points on the curve at which the gradient of the normal is 1.
The equation of a curve is \(x^3 y - 3xy^3 = 2a^4\), where \(a\) is a non-zero constant.
(i) Show that \(\frac{dy}{dx} = \frac{3x^2 y - 3y^3}{9xy^2 - x^3}\).
(ii) Hence show that there are only two points on the curve at which the tangent is parallel to the \(x\)-axis and find the coordinates of these points.
The equation of a curve is \(2x^4 + xy^3 + y^4 = 10\).
(i) Show that \(\frac{dy}{dx} = -\frac{8x^3 + y^3}{3xy^2 + 4y^3}\).
(ii) Hence show that there are two points on the curve at which the tangent is parallel to the x-axis and find the coordinates of these points.
The equation of a curve is \(xy(x - 6y) = 9a^3\), where \(a\) is a non-zero constant. Show that there is only one point on the curve at which the tangent is parallel to the \(x\)-axis, and find the coordinates of this point.
The equation of a curve is \(x^3 - 3x^2y + y^3 = 3\).
(i) Show that \(\frac{dy}{dx} = \frac{x^2 - 2xy}{x^2 - y^2}\).
(ii) Find the coordinates of the points on the curve where the tangent is parallel to the x-axis.
A curve has equation \(\sin y \ln x = x - 2 \sin y\), for \(-\frac{1}{2}\pi \leq y \leq \frac{1}{2}\pi\).
(i) Find \(\frac{dy}{dx}\) in terms of \(x\) and \(y\).
(ii) Hence find the exact \(x\)-coordinate of the point on the curve at which the tangent is parallel to the \(x\)-axis.
The diagram shows the curve \((x^2 + y^2)^2 = 2(x^2 - y^2)\) and one of its maximum points \(M\). Find the coordinates of \(M\).

The equation of a curve is \(3x^2 + 4xy + 3y^2 = 5\).
(a) Show that \(\frac{dy}{dx} = -\frac{3x + 2y}{2x + 3y}\).
(b) Hence find the exact coordinates of the two points on the curve at which the tangent is parallel to \(y + 2x = 0\).
A curve has equation \(3e^{2x}y + e^xy^3 = 14\). Find the gradient of the curve at the point \((0, 2)\).
The diagram shows the curve with equation
\(x^3 + xy^2 + ay^2 - 3ax^2 = 0\),
where \(a\) is a positive constant. The maximum point on the curve is \(M\). Find the \(x\)-coordinate of \(M\) in terms of \(a\).

For each of the following curves, find the gradient at the point where the curve crosses the y-axis:
(i) \(y = \frac{1 + x^2}{1 + e^{2x}}\);
(ii) \(2x^3 + 5xy + y^3 = 8\).
The equation of a curve is \(\ln(xy) - y^3 = 1\).
(i) Show that \(\frac{dy}{dx} = \frac{y}{x(3y^3 - 1)}\).
(ii) Find the coordinates of the point where the tangent to the curve is parallel to the y-axis, giving each coordinate correct to 3 significant figures.
The equation of a curve is \(3x^2 - 4xy + y^2 = 45\).
(i) Find the gradient of the curve at the point \((2, -3)\).
(ii) Show that there are no points on the curve at which the gradient is 1.
The equation of a curve is
\(x \ln y = 2x + 1\).
The equation of a curve is \(x^3 - x^2y - y^3 = 3\).
(i) Find \(\frac{dy}{dx}\) in terms of \(x\) and \(y\).
(ii) Find the equation of the tangent to the curve at the point \((2, 1)\), giving your answer in the form \(ax + by + c = 0\).
The equation of a curve is \(xy(x+y) = 2a^3\), where \(a\) is a non-zero constant. Show that there is only one point on the curve at which the tangent is parallel to the \(x\)-axis, and find the coordinates of this point.
The equation of a curve is \(x^3 + 2y^3 = 3xy\).
(i) Show that \(\frac{dy}{dx} = \frac{y - x^2}{2y^2 - x}\).
(ii) Find the coordinates of the point, other than the origin, where the curve has a tangent which is parallel to the \(x\)-axis.
Find the gradient of the curve with equation
\(2x^2 - 4xy + 3y^2 = 3\),
at the point \((2, 1)\).
The equation of a curve is \(x^2y - ay^2 = 4a^3\), where \(a\) is a non-zero constant.
(a) Show that \(\frac{dy}{dx} = \frac{2xy}{2ay - x^2}\).
(b) Hence find the coordinates of the points where the tangent to the curve is parallel to the y-axis.
The equation of a curve is \(\sqrt{x} + \sqrt{y} = \sqrt{a}\), where \(a\) is a positive constant.
(i) Express \(\frac{dy}{dx}\) in terms of \(x\) and \(y\).
(ii) The straight line with equation \(y = x\) intersects the curve at the point \(P\). Find the equation of the tangent to the curve at \(P\).
The equation of a curve is \(x^3 + 3x^2y - y^3 = 3\).
(a) Show that \(\frac{dy}{dx} = \frac{x^2 + 2xy}{y^2 - x^2}\).
(b) Find the coordinates of the points on the curve where the tangent is parallel to the x-axis.
The equation of a curve is \(x^3 + y^3 + 2xy + 8 = 0\).
(a) Express \(\frac{dy}{dx}\) in terms of \(x\) and \(y\).
The tangent to the curve at the point where \(x = 0\) and the tangent at the point where \(y = 0\) intersect at the acute angle \(\alpha\).
(b) Find the exact value of \(\tan \alpha\).
The equation of a curve is \(\ln(x+y) = x - 2y\).
(a) Show that \(\frac{dy}{dx} = \frac{x+y-1}{2(x+y)+1}\).
(b) Find the coordinates of the point on the curve where the tangent is parallel to the \(x\)-axis.
The equation of a curve is \(ye^{2x} - y^2 e^x = 2\).
(a) Show that \(\frac{dy}{dx} = \frac{2ye^x - y^2}{2y - e^x}\).
(b) Find the exact coordinates of the point on the curve where the tangent is parallel to the y-axis.
The equation of a curve is \(x^3 + 3xy^2 - y^3 = 5\).
(a) Show that \(\frac{dy}{dx} = \frac{x^2 + y^2}{y^2 - 2xy}\).
(b) Find the coordinates of the points on the curve where the tangent is parallel to the y-axis.
The equation of a curve is \(2x^2y - xy^2 = a^3\), where \(a\) is a positive constant. Show that there is only one point on the curve at which the tangent is parallel to the \(x\)-axis and find the \(y\)-coordinate of this point.
The parametric equations of a curve are
\(x = (\ln t)^2\), \(y = e^{2-t^2}\),
for \(t > 0\).
Find the gradient of the curve at the point where \(t = e\), simplifying your answer.
The diagram shows the curve with parametric equations
\(x = \tan \theta, \quad y = \cos^2 \theta\),
for \(-\frac{1}{2}\pi < \theta < \frac{1}{2}\pi\).
(a) Show that the gradient of the curve at the point with parameter \(\theta\) is \(-2 \sin \theta \cos^3 \theta\).
The gradient of the curve has its maximum value at the point \(P\).
(b) Find the exact value of the \(x\)-coordinate of \(P\).

The parametric equations of a curve are
\(x = 3 - \\cos 2\theta\), \(y = 2\theta + \\sin 2\theta\),
for \(0 < \theta < \frac{1}{2}\pi\).
Show that \(\frac{dy}{dx} = \cot \theta\).
The parametric equations of a curve are
\(x = 2t + \\sin 2t, \quad y = \\ln(1 - \\cos 2t)\).
Show that \(\frac{dy}{dx} = \csc 2t\).
The parametric equations of a curve are
\(x = 2 \sin \theta + \sin 2\theta, \quad y = 2 \cos \theta + \cos 2\theta,\)
where \(0 < \theta < \pi\).
The parametric equations of a curve are
\(x = 2t + \sin 2t, \quad y = 1 - 2 \cos 2t,\)
for \(-\frac{1}{2}\pi < t < \frac{1}{2}\pi\).
(i) Show that \(\frac{dy}{dx} = 2 \tan t.\)
(ii) Hence find the \(x\)-coordinate of the point on the curve at which the gradient of the normal is 2. Give your answer correct to 3 significant figures.
The parametric equations of a curve are
\(x = t^2 + 1, \quad y = 4t + \ln(2t - 1)\).
(i) Express \(\frac{dy}{dx}\) in terms of \(t\).
(ii) Find the equation of the normal to the curve at the point where \(t = 1\). Give your answer in the form \(ax + by + c = 0\).
The parametric equations of a curve are
\(x = \\ln \, \cos \theta\), \(y = 3\theta - \tan \theta\),
where \(0 \leq \theta < \frac{1}{2}\pi\).
(i) Express \(\frac{dy}{dx}\) in terms of \(\tan \theta\).
(ii) Find the exact \(y\)-coordinate of the point on the curve at which the gradient of the normal is equal to 1.
The parametric equations of a curve are
\(x = t + \\cos t\), \(y = \\ln(1 + \\sin t)\),
where \(-\frac{1}{2}\pi < t < \frac{1}{2}\pi\).
(i) Show that \(\frac{dy}{dx} = \sec t\).
(ii) Hence find the \(x\)-coordinates of the points on the curve at which the gradient is equal to 3. Give your answers correct to 3 significant figures.
The parametric equations of a curve are
\(x = a \cos^4 t, \quad y = a \sin^4 t,\)
where \(a\) is a positive constant.
A curve is defined for \(0 < \theta < \frac{1}{2}\pi\) by the parametric equations
\(x = \tan \theta, \quad y = 2 \cos^2 \theta \sin \theta\).
Show that \(\frac{dy}{dx} = 6 \cos^5 \theta - 4 \cos^3 \theta\).
The parametric equations of a curve are
\(x = \sqrt{t} + 3, \quad y = \ln t\),
for \(t > 0\).
(a) Obtain a simplified expression for \(\frac{dy}{dx}\) in terms of \(t\).
(b) Hence find the exact coordinates of the point on the curve at which the gradient of the normal is \(-2\).
The parametric equations of a curve are
\(x = \frac{1}{\cos^3 t}\), \(y = \tan^3 t\),
where \(0 \leq t < \frac{1}{2} \pi\).
(i) Show that \(\frac{dy}{dx} = \sin t\).
(ii) Hence show that the equation of the tangent to the curve at the point with parameter \(t\) is \(y = x \sin t - \tan t\).
The parametric equations of a curve are
\(x = t - \tan t, \quad y = \ln(\cos t)\),
for \(-\frac{1}{2}\pi < t < \frac{1}{2}\pi\).
(i) Show that \(\frac{dy}{dx} = \cot t\).
(ii) Hence find the \(x\)-coordinate of the point on the curve at which the gradient is equal to 2. Give your answer correct to 3 significant figures.
The parametric equations of a curve are
\(x = \\ln(2t + 3)\), \(y = \frac{3t + 2}{2t + 3}\).
Find the gradient of the curve at the point where it crosses the y-axis.
The parametric equations of a curve are
\(x = e^{-t} \cos t, \quad y = e^{-t} \sin t.\)
Show that \(\frac{dy}{dx} = \tan \left( t - \frac{1}{4} \pi \right).\)
The parametric equations of a curve are
\(x = \frac{4t}{2t + 3}\), \(y = 2 \ln(2t + 3)\).
The parametric equations of a curve are
\(x = \sin 2\theta - \theta\), \(y = \cos 2\theta + 2 \sin \theta\).
Show that \(\frac{dy}{dx} = \frac{2 \cos \theta}{1 + 2 \sin \theta}\).
The diagram shows the curve with parametric equations
\(x = \\sin t + \\cos t, \quad y = \\sin^3 t + \\cos^3 t,\)
for \(\frac{1}{4}\pi < t < \frac{5}{4}\pi.\)
(i) Show that \(\frac{dy}{dx} = -3 \sin t \cos t.\)
(ii) Find the gradient of the curve at the origin.
(iii) Find the values of \(t\) for which the gradient of the curve is 1, giving your answers correct to 2 significant figures.

The parametric equations of a curve are
\(x = 3(1 + \\sin^2 t)\), \(y = 2 \\cos^3 t\).
Find \(\frac{dy}{dx}\) in terms of \(t\), simplifying your answer as far as possible.
The parametric equations of a curve are
\(x = \ln(\tan t)\), \(y = \sin^2 t\),
where \(0 < t < \frac{1}{2}\pi\).
(i) Express \(\frac{dy}{dx}\) in terms of \(t\).
(ii) Find the equation of the tangent to the curve at the point where \(x = 0\).
The parametric equations of a curve are
\(x = \frac{t}{2t + 3}\), \(y = e^{-2t}\).
Find the gradient of the curve at the point for which \(t = 0\).
The parametric equations of a curve are
\(x = \frac{\cos \theta}{2 - \sin \theta}\), \(y = \theta + 2 \cos \theta\).
Show that \(\frac{dy}{dx} = (2 - \sin \theta)^2\).
The parametric equations of a curve are
\(x = a \cos^3 t, \quad y = a \sin^3 t,\)
where \(a\) is a positive constant and \(0 < t < \frac{1}{2} \pi\).
(i) Express \(\frac{dy}{dx}\) in terms of \(t\).
(ii) Show that the equation of the tangent to the curve at the point with parameter \(t\) is
\(x \sin t + y \cos t = a \sin t \cos t.\)
(iii) Hence show that, if this tangent meets the \(x\)-axis at \(X\) and the \(y\)-axis at \(Y\), then the length of \(XY\) is always equal to \(a\).
The parametric equations of a curve are
\(x = a(2\theta - \sin 2\theta)\), \(y = a(1 - \cos 2\theta)\).
Show that \(\frac{dy}{dx} = \cot \theta\).
The parametric equations of a curve are
\(x = 2\theta + \sin 2\theta, \quad y = 1 - \cos 2\theta.\)
Show that \(\frac{dy}{dx} = \tan \theta.\)
The parametric equations of a curve are
\(x = te^{2t}\), \(y = t^2 + t + 3\).
(a) Show that \(\frac{dy}{dx} = e^{-2t}\).
(b) Hence show that the normal to the curve, where \(t = -1\), passes through the point \(\left( 0, 3 - \frac{1}{e^4} \right)\).
The parametric equations of a curve are
\(x = 2t - an t\), \(y = \\ln(\\\sin 2t)\),
for \(0 < t < \\frac{1}{2}\\pi\).
Show that \(\\frac{dy}{dx} = \\cot t\).
The parametric equations of a curve are \(x = \frac{1}{\cos t}\), \(y = \ln \tan t\), where \(0 < t < \frac{1}{2}\pi\).
(a) Show that \(\frac{dy}{dx} = \frac{\cos t}{\sin^2 t}\).
(b) Find the equation of the tangent to the curve at the point where \(y = 0\).
The parametric equations of a curve are
\(x = 1 - \\cos \theta\),
\(y = \\cos \theta - \frac{1}{4} \\cos 2\theta\).
Show that \(\frac{dy}{dx} = -2 \\sin^2 \left( \frac{1}{2} \theta \right)\).
The parametric equations of a curve are
\(x = t + \ln(t + 2), \quad y = (t - 1)e^{-2t}\),
where \(t > -2\).
(a) Express \(\frac{dy}{dx}\) in terms of \(t\), simplifying your answer.
(b) Find the exact \(y\)-coordinate of the stationary point of the curve.
The parametric equations of a curve are
\(x = \ln(2 + 3t)\), \(y = \frac{t}{2 + 3t}\).
(a) Show that the gradient of the curve is always positive.
(b) Find the equation of the tangent to the curve at the point where it intersects the y-axis.
Find the exact coordinates of the stationary points of the curve \(y = \frac{e^{3x^2-1}}{1-x^2}\).
The curve with equation \(y = e^{2x}(\sin x + 3 \cos x)\) has a stationary point in the interval \(0 \leq x \leq \pi\).
(a) Find the \(x\)-coordinate of this point, giving your answer correct to 2 decimal places.
(b) Determine whether the stationary point is a maximum or a minimum.
The curve with equation \(y = \frac{e^{-2x}}{1-x^2}\) has a stationary point in the interval \(-1 < x < 1\). Find \(\frac{dy}{dx}\) and hence find the \(x\)-coordinate of this stationary point, giving the answer correct to 3 decimal places.
A curve has equation \(y = \frac{e^{3x}}{\tan \frac{1}{2}x}\). Find the \(x\)-coordinates of the stationary points of the curve in the interval \(0 < x < \pi\). Give your answers correct to 3 decimal places.
The curve with equation \(y = \frac{2 - \\sin x}{\\cos x}\) has one stationary point in the interval \(-\frac{1}{2}\pi < x < \frac{1}{2}\pi\).
(i) Find the exact coordinates of this point.
(ii) Determine whether this point is a maximum or a minimum point.
The equation of a curve is \(y = \frac{\sin x}{1 + \cos x}\), for \(-\pi < x < \pi\). Show that the gradient of the curve is positive for all \(x\) in the given interval.
The curve with equation \(y = \frac{{(\ln x)^2}}{x}\) has two stationary points. Find the exact values of the coordinates of these points.
The curve with equation \(y = \\sin x \\cos 2x\) has one stationary point in the interval \(0 < x < \frac{1}{2} \pi\). Find the x-coordinate of this point, giving your answer correct to 3 significant figures.
The curve with equation \(y = \frac{e^{2x}}{4 + e^{3x}}\) has one stationary point. Find the exact values of the coordinates of this point.
A curve has equation \(y = \cos x \cos 2x\). Find the \(x\)-coordinate of the stationary point on the curve in the interval \(0 < x < \frac{1}{2}\pi\), giving your answer correct to 3 significant figures.
The equation of a curve is
\(y = 3 \cos 2x + 7 \sin x + 2\).
Find the \(x\)-coordinates of the stationary points in the interval \(0 \leq x \leq \pi\). Give each answer correct to 3 significant figures.
The equation of a curve is \(y = \sin x \sin 2x\). The curve has a stationary point in the interval \(0 < x < \frac{1}{2}\pi\).
Find the \(x\)-coordinate of this point, giving your answer correct to 3 significant figures.
The equation of a curve is \(y = \frac{1+x}{1+2x}\) for \(x > -\frac{1}{2}\). Show that the gradient of the curve is always negative.
The curve with equation \(y = \frac{e^{2x}}{x^3}\) has one stationary point.
The equation of a curve is \(y = 3 \sin x + 4 \cos^3 x\).
(i) Find the \(x\)-coordinates of the stationary points of the curve in the interval \(0 < x < \pi\).
(ii) Determine the nature of the stationary point in this interval for which \(x\) is least.
The equation of a curve is \(y = \frac{e^{2x}}{1 + e^{2x}}\). Show that the gradient of the curve at the point for which \(x = \ln 3\) is \(\frac{9}{50}\).
The curve \(y = \frac{\ln x}{x^3}\) has one stationary point. Find the x-coordinate of this point.
A curve has equation \(y = e^{-3x} \tan x\). Find the x-coordinates of the stationary points on the curve in the interval \(-\frac{1}{2}\pi < x < \frac{1}{2}\pi\). Give your answers correct to 3 decimal places.
The curve \(y = \frac{e^x}{\cos x}\), for \(-\frac{1}{2}\pi < x < \frac{1}{2}\pi\), has one stationary point. Find the \(x\)-coordinate of this point.
The curve with equation \(y = e^{-x} \sin x\) has one stationary point for which \(0 \leq x \leq \pi\).
(i) Find the \(x\)-coordinate of this point.
(ii) Determine whether this point is a maximum or a minimum point.
The curve with equation \(y = 6e^x - e^{3x}\) has one stationary point.
(i) Find the \(x\)-coordinate of this point.
(ii) Determine whether this point is a maximum or a minimum point.
The equation of a curve is \(y = x + \\cos 2x\). Find the \(x\)-coordinates of the stationary points of the curve for which \(0 \leq x \leq \pi\), and determine the nature of each of these stationary points.
The curve \(y = e^{-4x} \tan x\) has two stationary points in the interval \(0 \leq x < \frac{1}{2} \pi\).
(a) Obtain an expression for \(\frac{dy}{dx}\) and show it can be written in the form \(\sec^2 x (a + b \sin 2x) e^{-4x}\), where \(a\) and \(b\) are constants.
(b) Hence find the exact \(x\)-coordinates of the two stationary points.
The curve \(y = e^x + 4e^{-2x}\) has one stationary point.
(i) Find the \(x\)-coordinate of this point.
(ii) Determine whether the stationary point is a maximum or a minimum point.
The equation of a curve is \(y = 2 \cos x + \sin 2x\). Find the \(x\)-coordinates of the stationary points on the curve for which \(0 < x < \pi\), and determine the nature of each of these stationary points.
The equation of a curve is \(y = \cos^3 x \sqrt{\sin x}\). It is given that the curve has one stationary point in the interval \(0 < x < \frac{1}{2}\pi\).
Find the \(x\)-coordinate of this stationary point, giving your answer correct to 3 significant figures.
The curve with equation \(y = xe^{1-2x}\) has one stationary point.
(a) Find the coordinates of this point.
(b) Determine whether the stationary point is a maximum or a minimum.
The diagram shows the curve \(y = \frac{\ln x}{x^4}\) and its maximum point \(M\).
Find the exact coordinates of \(M\).

The equation of a curve is \(y = e^{-5x} \tan^2 x\) for \(-\frac{1}{2}\pi < x < \frac{1}{2}\pi\).
Find the \(x\)-coordinates of the stationary points of the curve. Give your answers correct to 3 decimal places where appropriate.
The equation of a curve is \(y = x^{-\frac{2}{3}} \ln x\) for \(x > 0\). The curve has one stationary point.
Find the exact coordinates of the stationary point.
A curve has equation \(y = \\cos x \\sin 2x\).
Find the \(x\)-coordinate of the stationary point in the interval \(0 < x < \frac{1}{2} \pi\), giving your answer correct to 3 significant figures.
The equation of a curve is \(y = x \arctan\left(\frac{1}{2}x\right)\).
(a) Find \(\frac{dy}{dx}\).
(b) The tangent to the curve at the point where \(x = 2\) meets the y-axis at the point with coordinates \((0, p)\). Find \(p\).
A curve has equation
\(y = \frac{2 - \tan x}{1 + \tan x}\).
Find the equation of the tangent to the curve at the point for which \(x = \frac{1}{4} \pi\), giving the answer in the form \(y = mx + c\) where \(c\) is correct to 3 significant figures.
The equation of a curve is \(y = x \sin 2x\), where \(x\) is in radians. Find the equation of the tangent to the curve at the point where \(x = \frac{1}{4} \pi\).
By differentiating \(\frac{1}{\cos x}\), show that the derivative of \(\sec x\) is \(\sec x \tan x\). Hence show that if \(y = \ln(\sec x + \tan x)\) then \(\frac{dy}{dx} = \sec x\).
The diagram shows the curve \(y = \sqrt{\left( \frac{1-x}{1+x} \right)}\).
(i) By first differentiating \(\frac{1-x}{1+x}\), obtain an expression for \(\frac{dy}{dx}\) in terms of \(x\). Hence show that the gradient of the normal to the curve at the point \((x, y)\) is \((1+x)\sqrt{1-x^2}\). [5]
(ii) The gradient of the normal to the curve has its maximum value at the point \(P\) shown in the diagram. Find, by differentiation, the \(x\)-coordinate of \(P\). [4]

The polynomial \(2x^3 + ax^2 + bx - 4\), where \(a\) and \(b\) are constants, is denoted by \(p(x)\). The result of differentiating \(p(x)\) with respect to \(x\) is denoted by \(p'(x)\). It is given that \((x + 2)\) is a factor of \(p(x)\) and of \(p'(x)\).
(i) Find the values of \(a\) and \(b\).
(ii) When \(a\) and \(b\) have these values, factorise \(p(x)\) completely.
Find the exact coordinates of the points on the curve \(y = \frac{x^2}{1 - 3x}\) at which the gradient of the tangent is equal to 8.
The curve \(y = \\sin(x + \frac{1}{3}\pi) \\cos x\) has two stationary points in the interval \(0 \leq x \leq \pi\).
(i) Find \(\frac{dy}{dx}\).
(ii) By considering the formula for \(\cos(A + B)\), show that, at the stationary points on the curve, \(\cos(2x + \frac{1}{3}\pi) = 0\).
(iii) Hence find the exact \(x\)-coordinates of the stationary points.
Find \(\frac{dy}{dx}\) in each of the following cases:
The equation of a curve is \(y = \frac{1 + e^{-x}}{1 - e^{-x}}\), for \(x > 0\).
(i) Show that \(\frac{dy}{dx}\) is always negative.
(ii) The gradient of the curve is equal to \(-1\) when \(x = a\). Show that \(a\) satisfies the equation \(e^{2a} - 4e^{a} + 1 = 0\). Hence find the exact value of \(a\).
Find the exact coordinates of the point on the curve \(y = \frac{x}{1 + \ln x}\) at which the gradient of the tangent is equal to \(\frac{1}{4}\).
A curve has equation \(y = \frac{2}{3} \ln(1 + 3 \cos^2 x)\) for \(0 \leq x \leq \frac{1}{2} \pi\).
(i) Express \(\frac{dy}{dx}\) in terms of \(\tan x\).
(ii) Hence find the \(x\)-coordinate of the point on the curve where the gradient is \(-1\). Give your answer correct to 3 significant figures.
The curve with equation \(y = e^{-ax} \tan x\), where \(a\) is a positive constant, has only one point in the interval \(0 < x < \frac{1}{2}\pi\) at which the tangent is parallel to the \(x\)-axis. Find the value of \(a\) and state the exact value of the \(x\)-coordinate of this point.
The equation of a curve is \(y = e^{-2x} \tan x\), for \(0 \leq x < \frac{1}{2} \pi\).
(i) Obtain an expression for \(\frac{dy}{dx}\) and show that it can be written in the form \(e^{-2x}(a + b \tan x)^2\), where \(a\) and \(b\) are constants.
(ii) Explain why the gradient of the curve is never negative.
(iii) Find the value of \(x\) for which the gradient is least.
(i) The polynomial \(f(x)\) is of the form \((x - 2)^2 g(x)\), where \(g(x)\) is another polynomial. Show that \((x - 2)\) is a factor of \(f'(x)\).
(ii) The polynomial \(x^5 + ax^4 + 3x^3 + bx^2 + a\), where \(a\) and \(b\) are constants, has a factor \((x - 2)^2\). Using the factor theorem and the result of part (i), or otherwise, find the values of \(a\) and \(b\).
The diagram shows the curve \(y = 10e^{-\frac{1}{2}x} \sin 4x\) for \(x \geq 0\). The stationary points are labelled \(T_1, T_2, T_3, \ldots\) as shown.
(i) Find the \(x\)-coordinates of \(T_1\) and \(T_2\), giving each \(x\)-coordinate correct to 3 decimal places.
(ii) It is given that the \(x\)-coordinate of \(T_n\) is greater than 25. Find the least possible value of \(n\).

The diagram shows a particle A, of mass 1.2 kg, which lies on a plane inclined at an angle of 40° to the horizontal and a particle B, of mass 1.6 kg, which lies on a plane inclined at an angle of 50° to the horizontal. The particles are connected by a light inextensible string which passes over a small smooth pulley P fixed at the top of the planes. The parts AP and BP of the string are taut and parallel to lines of greatest slope of the respective planes. The two planes are rough, with the same coefficient of friction, μ, between the particles and the planes.
Find the value of μ for which the system is in limiting equilibrium.

The diagram shows a vertical cross-section of a triangular prism which is fixed so that two of its faces are inclined at 60° to the horizontal. One of these faces is smooth and one is rough. Particles A and B, of masses 0.36 kg and 0.24 kg respectively, are attached to the ends of a light inextensible string which passes over a small smooth pulley fixed at the highest point of the cross-section. B is held at rest at a point of the cross-section on the rough face and A hangs freely in contact with the smooth face (see diagram). B is released and starts to move up the face with acceleration 0.25 m s-2.

Two particles P and Q, of masses 0.2 kg and 0.1 kg respectively, are attached to the ends of a light inextensible string. The string passes over a fixed smooth pulley at B which is attached to two inclined planes. Particle P lies on a smooth plane AB which is inclined at 60° to the horizontal. Particle Q lies on a plane BC which is inclined at an angle of θ° to the horizontal. The string is taut and the particles can move on lines of greatest slope of the two planes (see diagram).
(a) It is given that θ = 60, the plane BC is rough and the coefficient of friction between Q and the plane BC is 0.7. The particles are released from rest. Determine whether the particles move.
(b) It is given instead that the plane BC is smooth. The particles are released from rest and in the subsequent motion the tension in the string is \\(\sqrt{3} - 1 \\\) N. Find the magnitude of the acceleration of P as it moves on the plane, and find the value of θ.

Two particles P and Q, of masses 0.3 kg and 0.2 kg respectively, are attached to the ends of a light inextensible string. The string passes over a fixed smooth pulley at B which is attached to two inclined planes. P lies on a smooth plane AB which is inclined at 60° to the horizontal. Q lies on a plane BC which is inclined at 30° to the horizontal. The string is taut and the particles can move on lines of greatest slope of the two planes (see diagram).
(a) It is given that the plane BC is smooth and that the particles are released from rest. Find the tension in the string and the magnitude of the acceleration of the particles. [5]
(b) It is given instead that the plane BC is rough. A force of magnitude 3 N is applied to Q directly up the plane along a line of greatest slope of the plane. Find the least value of the coefficient of friction between Q and the plane BC for which the particles remain at rest. [5]

As shown in the diagram, particles A and B of masses 2 kg and 3 kg respectively are attached to the ends of a light inextensible string. The string passes over a small fixed smooth pulley which is attached to the top of two inclined planes. Particle A is on plane P, which is inclined at an angle of 10° to the horizontal. Particle B is on plane Q, which is inclined at an angle of 20° to the horizontal. The string is taut, and the two parts of the string are parallel to lines of greatest slope of their respective planes.
(a) It is given that plane P is smooth, plane Q is rough, and the particles are in limiting equilibrium. Find the coefficient of friction between particle B and plane Q.
(b) It is given instead that both planes are smooth and that the particles are released from rest at the same horizontal level. Find the time taken until the difference in the vertical height of the particles is 1 m. [You should assume that this occurs before A reaches the pulley or B reaches the bottom of plane Q.]

The diagram shows a triangular block with sloping faces inclined to the horizontal at 45° and 30°. Particle A of mass 0.8 kg lies on the face inclined at 45° and particle B of mass 1.2 kg lies on the face inclined at 30°. The particles are connected by a light inextensible string which passes over a small smooth pulley P fixed at the top of the faces. The parts AP and BP of the string are parallel to lines of greatest slope of the respective faces. The particles are released from rest with both parts of the string taut. In the subsequent motion neither particle reaches the pulley and neither particle reaches the bottom of a face.

Two particles A and B of masses 0.9 kg and 0.4 kg respectively are attached to the ends of a light inextensible string. The string passes over a fixed smooth pulley which is attached to the top of two inclined planes. The particles are initially at rest with A on a smooth plane inclined at angle θ° to the horizontal and B on a plane inclined at angle 25° to the horizontal. The string is taut and the particles can move on lines of greatest slope of the two planes. A force of magnitude 2.5 N is applied to B acting down the plane (see diagram).

As shown in the diagram, a particle A of mass 0.8 kg lies on a plane inclined at an angle of 30° to the horizontal and a particle B of mass 1.2 kg lies on a plane inclined at an angle of 60° to the horizontal. The particles are connected by a light inextensible string which passes over a small smooth pulley P fixed at the top of the planes. The parts AP and BP of the string are parallel to lines of greatest slope of the respective planes. The particles are released from rest with both parts of the string taut.

The tops of each of two smooth inclined planes A and B meet at a right angle. Plane A is inclined at angle \(\alpha\) to the horizontal and plane B is inclined at angle \(\beta\) to the horizontal, where \(\sin \alpha = \frac{63}{65}\) and \(\sin \beta = \frac{16}{65}\). A small smooth pulley is fixed at the top of the planes and a light inextensible string passes over the pulley. Two particles P and Q, each of mass 0.65 kg, are attached to the string, one at each end. Particle Q is held at rest at a point of the same line of greatest slope of the plane B as the pulley. Particle P rests freely below the pulley in contact with plane A (see diagram). Particle Q is released and the particles start to move with the string taut. Find the tension in the string.

Particles P and Q, of masses 0.6 kg and 0.4 kg respectively, are attached to the ends of a light inextensible string. The string passes over a small smooth pulley which is fixed at the top of a vertical cross-section of a triangular prism. The base of the prism is fixed on horizontal ground and each of the sloping sides is smooth. Each sloping side makes an angle θ with the ground, where \\sin θ = 0.8\\. Initially the particles are held at rest on the sloping sides, with the string taut (see diagram). The particles are released and move along lines of greatest slope.
The speed of P when it reaches the ground is 2 m s-1. On reaching the ground P comes to rest and remains at rest. Q continues to move up the slope but does not reach the pulley.

A small smooth pulley is fixed at the highest point A of a cross-section ABC of a triangular prism. Angle \(\angle ABC = 90^\circ\) and angle \(\angle BCA = 30^\circ\). The prism is fixed with the face containing BC in contact with a horizontal surface. Particles P and Q are attached to opposite ends of a light inextensible string, which passes over the pulley. The particles are in equilibrium with P hanging vertically below the pulley and Q in contact with AC. The resultant force exerted on the pulley by the string is \(3\sqrt{3} \text{ N}\) (see diagram).
(i) Show that the tension in the string is 3 N.
The coefficient of friction between Q and the prism is 0.75.
(ii) Given that Q is in limiting equilibrium and on the point of moving upwards, find its mass.

Particles P and Q are attached to opposite ends of a light inextensible string. P is at rest on a rough horizontal table. The string passes over a small smooth pulley which is fixed at the edge of the table. Q hangs vertically below the pulley (see diagram). The force exerted on the string by the pulley has magnitude \(4\sqrt{2}\) N. The coefficient of friction between P and the table is 0.8.

The diagram shows a particle of mass 5 kg on a rough horizontal table, and two light inextensible strings attached to it passing over smooth pulleys fixed at the edges of the table. Particles of masses 4 kg and 6 kg hang freely at the ends of the strings. The particle of mass 6 kg is 0.5 m above the ground. The system is in limiting equilibrium.
(a) Show that the coefficient of friction between the 5 kg particle and the table is 0.4.
The 6 kg particle is now replaced by a particle of mass 8 kg and the system is released from rest.
(b) Find the acceleration of the 4 kg particle and the tensions in the strings.
(c) In the subsequent motion the 8 kg particle hits the ground and does not rebound. Find the time that elapses after the 8 kg particle hits the ground before the other two particles come to instantaneous rest. (You may assume this occurs before either particle reaches a pulley.)

Particles P and Q, of masses 7 kg and 3 kg respectively, are attached to the two ends of a light inextensible string. The string passes over two small smooth pulleys attached to the two ends of a horizontal table. The two particles hang vertically below the two pulleys. The two particles are both initially at rest, 0.5 m below the level of the table, and 0.4 m above the horizontal floor (see diagram).
(i) Find the acceleration of the particles and the speed of P immediately before it reaches the floor.
(ii) Determine whether Q comes to instantaneous rest before it reaches the pulley directly above it.

A small block B of mass 0.25 kg is attached to the mid-point of a light inextensible string. Particles P and Q, of masses 0.2 kg and 0.3 kg respectively, are attached to the ends of the string. The string passes over two smooth pulleys fixed at opposite sides of a rough table, with B resting in limiting equilibrium on the table between the pulleys and particles P and Q and block B are in the same vertical plane (see diagram).
(i) Find the coefficient of friction between B and the table. [3]
Q is now removed so that P and B begin to move.
(ii) Find the acceleration of P and the tension in the part PB of the string. [6]

A light inextensible string of length 5.28 m has particles A and B, of masses 0.25 kg and 0.75 kg respectively, attached to its ends. Another particle P, of mass 0.5 kg, is attached to the mid-point of the string. Two small smooth pulleys P1 and P2 are fixed at opposite ends of a rough horizontal table of length 4 m and height 1 m. The string passes over P1 and P2 with particle A held at rest vertically below P1, the string taut and B hanging freely below P2. Particle P is in contact with the table halfway between P1 and P2 (see diagram). The coefficient of friction between P and the table is 0.4. Particle A is released and the system starts to move with constant acceleration of magnitude a m s-2. The tension in the part AP of the string is TA N and the tension in the part PB of the string is TB N.

As shown in the diagram, a particle A of mass 1.6 kg lies on a horizontal plane and a particle B of mass 2.4 kg lies on a plane inclined at an angle of 30° to the horizontal. The particles are connected by a light inextensible string which passes over a small smooth pulley P fixed at the top of the inclined plane. The distance AP is 2.5 m and the distance of B from the bottom of the inclined plane is 1 m. There is a barrier at the bottom of the inclined plane preventing any further motion of B. The part BP of the string is parallel to a line of greatest slope of the inclined plane. The particles are released from rest with both parts of the string taut.
(i) Given that both planes are smooth, find the acceleration of A and the tension in the string. [5]
(ii) It is given instead that the horizontal plane is rough and that the coefficient of friction between A and the horizontal plane is 0.2. The inclined plane is smooth. Find the total distance travelled by A. [9]

The diagram shows a fixed block with a horizontal top surface and a surface which is inclined at an angle of \(\theta^\circ\) to the horizontal, where \(\sin \theta = \frac{3}{5}\). A particle \(A\) of mass 0.3 kg rests on the horizontal surface and is attached to one end of a light inextensible string. The string passes over a small smooth pulley \(P\) fixed at the edge of the block. The other end of the string is attached to a particle \(B\) of mass 1.5 kg which rests on the sloping surface of the block. The system is released from rest with the string taut.

Two particles P and Q, of masses 0.6 kg and 0.4 kg respectively, are connected by a light inextensible string. The string passes over a small smooth light pulley fixed at the edge of a smooth horizontal table. Initially P is held at rest on the table and Q hangs vertically (see diagram). P is then released. Find the tension in the string and the acceleration of Q.

Particles A and B, of masses 0.2 kg and 0.45 kg respectively, are connected by a light inextensible string of length 2.8 m. The string passes over a small smooth pulley at the edge of a rough horizontal surface, which is 2 m above the floor. Particle A is held in contact with the surface at a distance of 2.1 m from the pulley and particle B hangs freely (see diagram). The coefficient of friction between A and the surface is 0.3. Particle A is released and the system begins to move.

A block B of mass 0.6 kg and a particle A of mass 0.4 kg are attached to opposite ends of a light inextensible string. The block is held at rest on a rough horizontal table, and the coefficient of friction between the block and the table is 0.5. The string passes over a small smooth pulley C at the edge of the table and A hangs in equilibrium vertically below C. The part of the string between B and C is horizontal and the distance BC is 3 m (see diagram). B is released and the system starts to move.

Particles A and B, of masses 0.2 kg and 0.3 kg respectively, are connected by a light inextensible string. The string passes over a smooth pulley at the edge of a rough horizontal table. Particle A hangs freely and particle B is in contact with the table (see diagram).
(i) The system is in limiting equilibrium with the string taut and A about to move downwards. Find the coefficient of friction between B and the table.
A force now acts on particle B. This force has a vertical component of 1.8 N upwards and a horizontal component of X N directed away from the pulley.
(ii) The system is now in limiting equilibrium with the string taut and A about to move upwards. Find X.

Two particles P and Q, of masses 1.7 kg and 0.3 kg respectively, are connected by a light inextensible string. P is held on a smooth horizontal table with the string taut and passing over a small smooth pulley fixed at the edge of the table. Q is at rest vertically below the pulley. P is released. Find the acceleration of the particles and the tension in the string.

Particles A and B, of masses 0.4 kg and 0.1 kg respectively, are attached to the ends of a light inextensible string. Particle A is held at rest on a horizontal table with the string passing over a smooth pulley at the edge of the table. Particle B hangs vertically below the pulley (see diagram). The system is released from rest. In the subsequent motion a constant frictional force of magnitude 0.6 N acts on A. Find

A particle A of mass 1.6 kg rests on a horizontal table and is attached to one end of a light inextensible string. The string passes over a small smooth pulley P fixed at the edge of the table. The other end of the string is attached to a particle B of mass 2.4 kg which hangs freely below the pulley. The system is released from rest with the string taut and with B at a height of 0.5 m above the ground, as shown in the diagram. In the subsequent motion A does not reach P before B reaches the ground.
(i) Given that the table is smooth, find the time taken by B to reach the ground.
(ii) Given instead that the table is rough and that the coefficient of friction between A and the table is \(\frac{3}{8}\), find the total distance travelled by A. You may assume that A does not reach the pulley.

Two particles A and B, of masses 0.8 kg and 0.2 kg respectively, are connected by a light inextensible string. Particle A is placed on a horizontal surface. The string passes over a small smooth pulley P fixed at the edge of the surface, and B hangs freely. The horizontal section of the string, AP, is of length 2.5 m. The particles are released from rest with both sections of the string taut.
Particles A and B, of masses 0.35 kg and 0.15 kg respectively, are attached to the ends of a light inextensible string. A is held at rest on a smooth horizontal surface with the string passing over a small smooth pulley fixed at the edge of the surface. B hangs vertically below the pulley at a distance h m above the floor (see diagram). A is released and the particles move. B reaches the floor and A subsequently reaches the pulley with a speed of 3 m s-1.

Particles A and B, of masses 0.3 kg and 0.7 kg respectively, are attached to the ends of a light inextensible string. Particle A is held at rest on a rough horizontal table with the string passing over a smooth pulley fixed at the edge of the table. The coefficient of friction between A and the table is 0.2. Particle B hangs vertically below the pulley at a height of 0.5 m above the floor (see diagram). The system is released from rest and 0.25 s later the string breaks. A does not reach the pulley in the subsequent motion. Find

Particle A of mass 1.26 kg and particle B of mass 0.9 kg are attached to the ends of a light inextensible string. The string passes over a small smooth pulley P which is fixed at the edge of a rough horizontal table. A is held at rest at a point 0.48 m from P, and B hangs vertically below P, at a height of 0.45 m above the floor (see diagram). The coefficient of friction between A and the table is \(\frac{2}{7}\). A is released and the particles start to move.

Particles A and B have masses 0.32 kg and 0.48 kg respectively. The particles are attached to the ends of a light inextensible string which passes over a small smooth pulley fixed at the edge of a smooth horizontal table. Particle B is held at rest on the table at a distance of 1.4 m from the pulley. A hangs vertically below the pulley at a height of 0.98 m above the floor (see diagram). A, B, the string and the pulley are all in the same vertical plane. B is released and A moves downwards.
(i) Find the acceleration of A and the tension in the string. [5]
A hits the floor and B continues to move towards the pulley. Find the time taken, from the instant that B is released, for
(ii) A to reach the floor, [2]
(iii) B to reach the pulley. [3]

Particles A and B, of masses 0.3 kg and 0.2 kg respectively, are attached to the ends of a light inextensible string. A is held at rest on a rough horizontal table with the string passing over a small smooth pulley at the edge of the table. B hangs vertically below the pulley (see diagram). The system is released and B starts to move downwards with acceleration 1.6 m/s2. Find

Particles P and Q, of masses 0.2 kg and 0.5 kg respectively, are connected by a light inextensible string. The string passes over a smooth pulley at the edge of a rough horizontal table. P hangs freely and Q is in contact with the table. A force of magnitude 3.2 N acts on Q, upwards and away from the pulley, at an angle of 30° to the horizontal (see diagram).
(i) The system is in limiting equilibrium with P about to move upwards. Find the coefficient of friction between Q and the table. [6]
The force of magnitude 3.2 N is now removed and P starts to move downwards.
(ii) Find the acceleration of the particles and the tension in the string. [4]

Particles A and B, of masses 2.4 kg and 3.3 kg respectively, are connected by a light inextensible string that passes over a smooth pulley which is fixed to the top of a rough plane. The plane makes an angle of θ with horizontal ground. Particle A is on the plane and the section of the string between A and the pulley is parallel to a line of greatest slope of the plane. Particle B hangs vertically below the pulley and is 1 m above the ground (see diagram). The coefficient of friction between the plane and A is μ.
\((a) It is given that θ = 30 and the system is in equilibrium with A on the point of moving directly up the plane.\)
\(Show that μ = 1.01 correct to 3 significant figures.\)
\((b) It is given instead that θ = 20 and μ = 1.01. The system is released from rest with the string taut.\)
Find the total distance travelled by A before coming to instantaneous rest. You may assume that A does not reach the pulley and that B remains at rest after it hits the ground.

A smooth inclined plane of length 2.5 m is fixed with one end on the horizontal floor and the other end at a height of 0.7 m above the floor. Particles P and Q, of masses 0.5 kg and 0.1 kg respectively, are attached to the ends of a light inextensible string which passes over a small smooth pulley fixed at the top of the plane. Particle Q is held at rest on the floor vertically below the pulley. The string is taut and P is at rest on the plane (see diagram). Q is released and starts to move vertically upwards towards the pulley and P moves down the plane.
(i) Find the tension in the string and the magnitude of the acceleration of the particles before Q reaches the pulley.
At the instant just before Q reaches the pulley the string breaks; P continues to move down the plane and reaches the floor with a speed of 2 m s-1.
(ii) Find the length of the string.

Blocks P and Q, of mass m kg and 5 kg respectively, are attached to the ends of a light inextensible string. The string passes over a small smooth pulley which is fixed at the top of a rough plane inclined at 35° to the horizontal. Block P is at rest on the plane and block Q hangs vertically below the pulley (see diagram). The coefficient of friction between block P and the plane is 0.2. Find the set of values of m for which the two blocks remain at rest.

A smooth inclined plane of length 160 cm is fixed with one end at a height of 40 cm above the other end, which is on horizontal ground. Particles P and Q, of masses 0.76 kg and 0.49 kg respectively, are attached to the ends of a light inextensible string which passes over a small smooth pulley fixed at the top of the plane. Particle P is held at rest on the same line of greatest slope as the pulley and Q hangs vertically below the pulley at a height of 30 cm above the ground (see diagram). P is released from rest. It starts to move up the plane and does not reach the pulley. Find

Particles A of mass 0.26 kg and B of mass 0.52 kg are attached to the ends of a light inextensible string. The string passes over a small smooth pulley P which is fixed at the top of a smooth plane. The plane is inclined at an angle \(\alpha\) to the horizontal, where \(\sin \alpha = \frac{16}{65}\) and \(\cos \alpha = \frac{63}{65}\). A is held at rest at a point 2.5 metres from P, with the part AP of the string parallel to a line of greatest slope of the plane. B hangs freely below P at a point 0.6 m above the floor (see diagram). A is released and the particles start to move. Find

A light inextensible string has a particle A of mass 0.26 kg attached to one end and a particle B of mass 0.54 kg attached to the other end. The particle A is held at rest on a rough plane inclined at angle \(\alpha\) to the horizontal, where \(\sin \alpha = \frac{5}{13}\). The string is taut and parallel to a line of greatest slope of the plane. The string passes over a small smooth pulley at the top of the plane. Particle B hangs at rest vertically below the pulley (see diagram). The coefficient of friction between A and the plane is 0.2. Particle A is released and the particles start to move.

A rough inclined plane of length 65 cm is fixed with one end at a height of 16 cm above the other end. Particles P and Q, of masses 0.13 kg and 0.11 kg respectively, are attached to the ends of a light inextensible string which passes over a small smooth pulley at the top of the plane. Particle P is held at rest on the plane and particle Q hangs vertically below the pulley (see diagram). The system is released from rest and P starts to move up the plane.
(i) Draw a diagram showing the forces acting on P during its motion up the plane. [1]
(ii) Show that \(T - F > 0.32\), where \(T\) is the tension in the string and \(F\) is the magnitude of the frictional force on P. [4]
The coefficient of friction between P and the plane is 0.6.
(iii) Find the acceleration of P. [6]

Two particles P and Q, of masses 2 kg and 0.25 kg respectively, are connected by a light inextensible string that passes over a fixed smooth pulley. Particle P is on an inclined plane at an angle of 30° to the horizontal. Particle Q hangs below the pulley. Three points A, B and C lie on a line of greatest slope of the plane with AB = 0.8 \, \text{m} and BC = 1.2 \, \text{m} (see diagram).
Particle P is released from rest at A with the string taut and slides down the plane. During the motion of P from A to C, Q does not reach the pulley. The part of the plane from A to B is rough, with coefficient of friction 0.3 between the plane and P. The part of the plane from B to C is smooth.
(a) (i) Find the acceleration of P between A and B. [4]
(ii) Hence, find the speed of P at C. [5]
(b) Find the time taken for P to travel from A to C. [4]

Two particles A and B of masses 2 kg and 3 kg respectively are connected by a light inextensible string. Particle B is on a smooth fixed plane which is at an angle of 18° to horizontal ground. The string passes over a fixed smooth pulley at the top of the plane. Particle A hangs vertically below the pulley and is 0.45 m above the ground (see diagram). The system is released from rest with the string taut. When A reaches the ground, the string breaks.
Find the total distance travelled by B before coming to instantaneous rest. You may assume that B does not reach the pulley.

Two particles A and B, of masses 3m kg and 2m kg respectively, are attached to the ends of a light inextensible string. The string passes over a fixed smooth pulley which is attached to the edge of a plane. The plane is inclined at an angle θ to the horizontal. A lies on the plane and B hangs vertically, 0.8 m above the floor, which is horizontal. The string between A and the pulley is parallel to a line of greatest slope of the plane (see diagram). Initially A and B are at rest.

Two particles P and Q, of masses 0.3 kg and 0.2 kg respectively, are attached to the ends of a light inextensible string. The string passes over a fixed smooth pulley which is attached to the edge of a smooth plane. The plane is inclined at an angle \(\theta\) to the horizontal, where \(\sin \theta = \frac{3}{5}\). P lies on the plane and Q hangs vertically below the pulley at a height of 0.8 m above the floor (see diagram). The string between P and the pulley is parallel to a line of greatest slope of the plane. P is released from rest and Q moves vertically downwards.

Two particles P and Q, of masses 0.4 kg and 0.7 kg respectively, are attached to the ends of a light inextensible string. The string passes over a fixed smooth pulley which is attached to the edge of a rough plane. The coefficient of friction between P and the plane is 0.5. The plane is inclined at an angle \(\alpha\) to the horizontal, where \(\tan \alpha = \frac{3}{4}\). Particle P lies on the plane and particle Q hangs vertically. The string between P and the pulley is parallel to a line of greatest slope of the plane (see diagram). A force of magnitude \(X\) N, acting directly down the plane, is applied to P.
(i) Show that the greatest value of \(X\) for which P remains stationary is 6.2.
(ii) Given instead that \(X = 0.8\), find the acceleration of P.

Two particles P and Q, each of mass m kg, are attached to the ends of a light inextensible string. The string passes over a fixed smooth pulley which is attached to the edge of a rough plane. The plane is inclined at an angle α to the horizontal, where \(\tan \alpha = \frac{7}{24}\). Particle P rests on the plane and particle Q hangs vertically, as shown in the diagram. The string between P and the pulley is parallel to a line of greatest slope of the plane. The system is in limiting equilibrium.

Two particles A and B of masses m kg and 4 kg respectively are connected by a light inextensible string that passes over a fixed smooth pulley. Particle A is on a rough fixed slope which is at an angle of 30° to the horizontal ground. Particle B hangs vertically below the pulley and is 0.5 m above the ground (see diagram). The coefficient of friction between the slope and particle A is 0.2.
(i) In the case where the system is in equilibrium with particle A on the point of moving directly up the slope, show that m = 5.94, correct to 3 significant figures.
(ii) In the case where m = 3, the system is released from rest with the string taut. Find the total distance travelled by A before coming to instantaneous rest. You may assume that A does not reach the pulley.

Two particles of masses 5 kg and 10 kg are connected by a light inextensible string that passes over a fixed smooth pulley. The 5 kg particle is on a rough fixed slope which is at an angle of \(\alpha\) to the horizontal, where \(\tan \alpha = \frac{3}{4}\). The 10 kg particle hangs below the pulley (see diagram). The coefficient of friction between the slope and the 5 kg particle is \(\frac{1}{2}\). The particles are released from rest. Find the acceleration of the particles and the tension in the string.

Two particles P and Q, of masses 0.5 kg and 0.3 kg respectively, are connected by a light inextensible string. The string is taut and P is vertically above Q. A force of magnitude 10 N is applied to P vertically upwards.
Find the acceleration of the particles and the tension in the string connecting them.
A block A of mass 3 kg is attached to one end of a light inextensible string S1. Another block B of mass 2 kg is attached to the other end of S1, and is also attached to one end of another light inextensible string S2. The other end of S2 is attached to a fixed point O and the blocks hang in equilibrium below O (see diagram).
The string S2 breaks and the particles fall. The air resistance on A is 1.6 N and the air resistance on B is 4 N.

O
S1
A
S2
B
S1 and S2 are light inextensible strings, and A and B are particles each of mass 0.2 kg. Particle A is suspended from a fixed point O by the string S1, and particle B is suspended from A by the string S2. The particles hang in equilibrium as shown in the diagram.
(i) Find the tensions in S1 and S2.
The string S1 is cut and the particles fall. The air resistance acting on A is 0.4 N and the air resistance acting on B is 0.2 N.
(ii) Find the acceleration of the particles and the tension in S2.

Two particles A and B, of masses 2.4 kg and 1.2 kg respectively, are connected by a light inextensible string which passes over a fixed smooth pulley. A is held at a distance of 2.1 m above a horizontal plane and B is 1.5 m above the plane. The particles hang vertically and are released from rest. In the subsequent motion A reaches the plane and does not rebound and B does not reach the pulley.
(a) Show that the tension in the string before A reaches the plane is 16 N and find the magnitude of the acceleration of the particles before A reaches the plane.
(b) Find the greatest height of B above the plane.
Two particles A and B have masses 0.35 kg and 0.45 kg respectively. The particles are attached to the ends of a light inextensible string which passes over a small fixed smooth pulley which is 1 m above horizontal ground. Initially particle A is held at rest on the ground vertically below the pulley, with the string taut. Particle B hangs vertically below the pulley at a height of 0.64 m above the ground. Particle A is released.
(i) Find the speed of A at the instant that B reaches the ground.
(ii) Assuming that B does not bounce after it reaches the ground, find the total distance travelled by A between the instant that B reaches the ground and the instant when the string becomes taut again.
Two particles of masses 1.2 kg and 0.8 kg are connected by a light inextensible string that passes over a fixed smooth pulley. The particles hang vertically. The system is released from rest with both particles 0.64 m above the floor (see diagram). In the subsequent motion the 0.8 kg particle does not reach the pulley.
(i) Show that the acceleration of the particles is 2 m/s2 and find the tension in the string.
(ii) Find the total distance travelled by the 0.8 kg particle during the first second after the particles are released.

Two particles of masses 1.3 kg and 0.7 kg are connected by a light inextensible string that passes over a fixed smooth pulley. The particles are held at the same vertical height with the string taut. The distance of each particle above a horizontal plane is 2 m, and the distance of each particle below the pulley is 4 m. The particles are released from rest.
Particles A and B, of masses 0.35 kg and 0.15 kg respectively, are attached to the ends of a light inextensible string which passes over a fixed smooth pulley. The system is at rest with B held on the horizontal floor, the string taut and its straight parts vertical. A is at a height of 1.6 m above the floor (see diagram). B is released and the system begins to move; B does not reach the pulley. Find

A small ball B of mass 4 kg is attached to one end of a light inextensible string. A particle P of mass 3 kg is attached to the other end of the string. The string passes over a fixed smooth pulley. The system is in equilibrium with the string taut and its straight parts vertical. B is at rest on a rough plane inclined to the horizontal at an angle of \(\alpha\), where \(\cos \alpha = 0.8\) (see diagram). State the tension in the string and find the normal component of the contact force exerted on B by the plane.

Two particles P and Q have masses m kg and (1 − m) kg respectively. The particles are attached to the ends of a light inextensible string which passes over a smooth fixed pulley. P is held at rest with the string taut and both straight parts of the string vertical. P and Q are each at a height of h m above horizontal ground (see Fig. 1). P is released and Q moves downwards. Subsequently Q hits the ground and comes to rest. Fig. 2 shows the velocity-time graph for P while Q is moving downwards or is at rest on the ground.

Particles P and Q have a total mass of 1 kg. The particles are attached to opposite ends of a light inextensible string which passes over a smooth fixed pulley. P is held at rest and Q hangs freely, with both straight parts of the string vertical. Both particles are at a height of h m above the floor (see Fig. 1). P is released from rest and the particles start to move with the string taut. Fig. 2 shows the velocity-time graphs for P's motion and for Q's motion, where the positive direction for velocity is vertically upwards. Find

Particles A of mass 0.25 kg and B of mass 0.75 kg are attached to opposite ends of a light inextensible string which passes over a fixed smooth pulley. The system is held at rest with the string taut and its straight parts vertical. Both particles are at a height of h m above the floor (see Fig. 1). The system is released from rest, and 0.6 s later, when both particles are in motion, the string breaks. The particle A does not reach the pulley in the subsequent motion.
(i) Find the acceleration of A and the distance travelled by A before the string breaks.
The velocity-time graph shown in Fig. 2 is for the motion of particle A until it hits the floor. The velocity of A when the string breaks is V m s-1 and T s is the time taken for A to reach its greatest height.
(ii) Find the value of V and the value of T.
(iii) Find the distance travelled by A upwards and the distance travelled by A downwards and hence find h.

Particle A of mass 0.2 kg and particle B of mass 0.6 kg are attached to the ends of a light inextensible string. The string passes over a fixed smooth pulley. B is held at rest at a height of 1.6 m above the floor. A hangs freely at a height of h m above the floor. Both straight parts of the string are vertical (see diagram). B is released and both particles start to move. When B reaches the floor it remains at rest, but A continues to move vertically upwards until it reaches a height of 3 m above the floor. Find the speed of B immediately before it hits the floor, and hence find the value of h.

Particles A and B, of masses 0.3 kg and 0.7 kg respectively, are attached to the ends of a light inextensible string. The string passes over a fixed smooth pulley. A is held at rest and B hangs freely, with both straight parts of the string vertical and both particles at a height of 0.52 m above the floor (see diagram). A is released and both particles start to move.
(i) Find the tension in the string.
When both particles are moving with speed 1.6 m s-1 the string breaks.
(ii) Find the time taken, from the instant that the string breaks, for A to reach the floor.

Two particles A and B have masses m kg and 0.1 kg respectively, where m > 0.1. The particles are attached to the ends of a light inextensible string. The string passes over a fixed smooth pulley and the particles hang vertically below it. Both particles are at a height of 0.9 m above horizontal ground (see diagram). The system is released from rest, and while both particles are in motion the tension in the string is 1.5 N. Particle B does not reach the pulley.
(a) Find m.
(b) Find the speed at which A reaches the ground.

Particles A and B of masses m kg and (1 - m) kg respectively are attached to the ends of a light inextensible string which passes over a fixed smooth pulley. The system is released from rest with the straight parts of the string vertical. A moves vertically downwards and 0.3 seconds later it has speed 0.6 m s-1. Find
Two particles A and B have masses 0.12 kg and 0.38 kg respectively. The particles are attached to the ends of a light inextensible string which passes over a fixed smooth pulley. A is held at rest with the string taut and both straight parts of the string vertical. A and B are each at a height of 0.65 m above horizontal ground (see diagram). A is released and B moves downwards. Find
B remains on the ground while A continues to move with the string slack, without reaching the pulley. The string remains slack until A is at a height of 1.3 m above the ground for a second time. At this instant A has been in motion for a total time of T s.

Particles P and Q are attached to opposite ends of a light inextensible string which passes over a fixed smooth pulley. The system is released from rest with the string taut, with its straight parts vertical, and with both particles at a height of 2 m above horizontal ground. P moves vertically downwards and does not rebound when it hits the ground. At the instant that P hits the ground, Q is at the point X, from where it continues to move vertically upwards without reaching the pulley. Given that P has mass 0.9 kg and that the tension in the string is 7.2 N while P is moving, find the total distance travelled by Q from the instant it first reaches X until it returns to X.
Particles A and B, of masses 0.9 kg and 0.6 kg respectively, are attached to the ends of a light inextensible string. The string passes over a fixed smooth pulley. The system is released from rest with the string taut, with its straight parts vertical and with the particles at the same height above the horizontal floor. In the subsequent motion, B does not reach the pulley.
(i) Find the acceleration of A and the tension in the string during the motion before A hits the floor.
After A hits the floor, B continues to move vertically upwards for a further 0.3 s.
(ii) Find the height of the particles above the floor at the instant that they started to move.
Particles A of mass 0.65 kg and B of mass 0.35 kg are attached to the ends of a light inextensible string which passes over a fixed smooth pulley. B is held at rest with the string taut and both of its straight parts vertical. The system is released from rest and the particles move vertically. Find the tension in the string and the magnitude of the resultant force exerted on the pulley by the string.
Particles A and B, of masses 0.3 kg and 0.7 kg respectively, are attached to the ends of a light inextensible string which passes over a smooth fixed pulley. Particle A is held on the horizontal floor and particle B hangs in equilibrium. Particle A is released and both particles start to move vertically.
The speed of the particles immediately before B hits the floor is 1.6 m s-1. Given that B does not rebound upwards, find

Particles P and Q, of masses 0.55 kg and 0.45 kg respectively, are attached to the ends of a light inextensible string which passes over a smooth fixed pulley. The particles are held at rest with the string taut and its straight parts vertical. Both particles are at a height of 5 m above the ground (see diagram). The system is released.
(i) Find the acceleration with which P starts to move. [3]
The string breaks after 2 s and in the subsequent motion P and Q move vertically under gravity.
(ii) At the instant that the string breaks, find
(iii) Show that Q reaches the ground 0.8 s later than P. [4]

Particles A and B are attached to the ends of a light inextensible string which passes over a smooth pulley. The system is held at rest with the string taut and its straight parts vertical. Both particles are at a height of 0.36 m above the floor (see diagram). The system is released and A begins to fall, reaching the floor after 0.6 s.
The mass of A is 0.45 kg. Find

A block B of mass 5 kg is attached to one end of a light inextensible string. A particle P of mass 4 kg is attached to the other end of the string. The string passes over a smooth pulley. The system is in equilibrium with the string taut and its straight parts vertical. B is at rest on the ground (see diagram). State the tension in the string and find the force exerted on B by the ground.

Particles A and B, of masses 0.5 kg and m kg respectively, are attached to the ends of a light inextensible string which passes over a smooth fixed pulley. Particle B is held at rest on the horizontal floor and particle A hangs in equilibrium (see diagram). B is released and each particle starts to move vertically. A hits the floor 2 s after B is released. The speed of each particle when A hits the floor is 5 m s-1.

Two particles of masses 0.8 kg and 0.2 kg are connected by a light inextensible string that passes over a fixed smooth pulley. The system is released from rest with both particles 0.5 m above a horizontal floor (see diagram). In the subsequent motion the 0.2 kg particle does not reach the pulley.
(a) Show that the magnitude of the acceleration of the particles is 6 m s-2 and find the tension in the string.
(b) When the 0.8 kg particle reaches the floor it comes to rest. Find the greatest height of the 0.2 kg particle above the floor.

Particles P and Q, of masses 0.6 kg and 0.2 kg respectively, are attached to the ends of a light inextensible string which passes over a smooth fixed peg. The particles are held at rest with the string taut. Both particles are at a height of 0.9 m above the ground (see diagram). The system is released and each of the particles moves vertically. Find

Two particles A and B have masses \(m \text{ kg}\) and \(km \text{ kg}\) respectively, where \(k > 1\). The particles are attached to the ends of a light inextensible string. The string passes over a fixed smooth pulley and the particles hang vertically below it. Both particles are at a height of 0.81 m above horizontal ground (see diagram). The system is released from rest and particle B reaches the ground 0.9 s later. The particle A does not reach the pulley in its subsequent motion.
(i) Find the value of \(k\) and show that the tension in the string before B reaches the ground is equal to \(12m \text{ N}\).
At the instant when B reaches the ground, the string breaks.
(ii) Show that the speed of A when it reaches the ground is \(5.97 \text{ m s}^{-1}\), correct to 3 significant figures, and find the time taken, after the string breaks, for A to reach the ground.
(iii) Sketch a velocity-time graph for the motion of particle A from the instant when the system is released until A reaches the ground.

Two particles A and B, of masses 1.3 kg and 0.7 kg respectively, are connected by a light inextensible string which passes over a smooth fixed pulley. Particle A is 1.75 m above the floor and particle B is 1 m above the floor (see diagram). The system is released from rest with the string taut, and the particles move vertically. When the particles are at the same height the string breaks.
(i) Show that, before the string breaks, the magnitude of the acceleration of each particle is 3 m s-2 and find the tension in the string.
(ii) Find the difference in the times that it takes the particles to hit the ground.

Two particles A and B, of masses 0.4 kg and 0.2 kg respectively, are connected by a light inextensible string which passes over a fixed smooth pulley. Both A and B are 0.5 m above the ground. The particles hang vertically (see diagram). The particles are released from rest. In the subsequent motion B does not reach the pulley and A remains at rest after reaching the ground.
(i) For the motion before A reaches the ground, show that the magnitude of the acceleration of each particle is \(\frac{10}{3} \text{ m s}^{-2}\) and find the tension in the string. [4]
(ii) Find the maximum height of B above the ground. [4]

Two particles P and Q, of masses 0.3 kg and 0.5 kg respectively, are attached to the ends of a light inextensible string. The string passes over a fixed smooth pulley with the particles hanging freely below it. Q is held at rest with the string taut at a height of h m above a horizontal floor (see diagram). Q is now released and both particles start to move. The pulley is sufficiently high so that P does not reach it at any stage. The time taken for Q to reach the floor is 0.6 s.
(i) Find the acceleration of Q before it reaches the floor and hence find the value of h.
Q remains at rest when it reaches the floor, and P continues to move upwards.
(ii) Find the velocity of P at the instant when Q reaches the floor and the total time taken from the instant at which Q is released until the string becomes taut again.

Two particles A and B, of masses m kg and 0.3 kg respectively, are attached to the ends of a light inextensible string. The string passes over a fixed smooth pulley and the particles hang freely below it. The system is released from rest, with both particles 0.8 m above horizontal ground. Particle A reaches the ground with a speed of 0.6 m s-1.
(i) Find the tension in the string during the motion before A reaches the ground.
(ii) Find the value of m.
Two particles A and B, of masses 0.8 kg and 0.2 kg respectively, are connected by a light inextensible string that passes over a fixed smooth pulley. The particles hang vertically. The system is released from rest. Show that the acceleration of A has magnitude 6 m s-2 and find the tension in the string.
The diagram shows a triangle ABC in which BC = 20 cm and angle ABC is \(90^\circ\). The perpendicular from B to AC meets AC at D and AD = 9 cm. Angle BCA is \(\theta^\circ\).

In the diagram, triangle ABC is right-angled at C and M is the mid-point of BC. It is given that angle ABC = \(\frac{1}{3} \pi\) radians and angle BAM = \(\theta\) radians. Denoting the lengths of BM and MC by x,

In the triangle ABC, AB = 12 cm, angle BAC = 60° and angle ACB = 45°. Find the exact length of BC.
In the diagram, \(\triangle ABC\) is a triangle in which \(AB = 4 \text{ cm}\), \(BC = 6 \text{ cm}\) and angle \(\angle ABC = 150^\circ\). The line \(CX\) is perpendicular to the line \(ABX\).
(i) Find the exact length of \(BX\) and show that angle \(CAB = \tan^{-1} \left( \frac{3}{4 + 3\sqrt{3}} \right)\).
(ii) Show that the exact length of \(AC\) is \(\sqrt{52 + 24\sqrt{3}} \text{ cm}\).

In the diagram, ABED is a trapezium with right angles at E and D, and CED is a straight line. The lengths of AB and BC are \(2d\) and \(2\sqrt{3}\,d\) respectively, and angles BAD and CBE are \(30^\circ\) and \(60^\circ\) respectively.

In the diagram, triangle ABC is right-angled and D is the mid-point of BC. Angle DAC is \(30^\circ\) and angle BAD is \(x^\circ\). Denoting the length of AD by l,

The diagram shows part of the graph of \(y = \sin(a(x + b))\), where \(a\) and \(b\) are positive constants. The graph is plotted with the x-axis ranging from \(-\frac{2}{3}\pi\) to \(2\pi\) and the y-axis ranging from -1 to 1. State the value of \(a\) and one possible value of \(b\).

The diagram shows part of the curve with equation \(y = p \sin(q\theta) + r\), where \(p, q\) and \(r\) are constants.
(a) State the value of \(p\).
(b) State the value of \(q\).
(c) State the value of \(r\).

The diagram shows part of the graph of \(y = a \cos(bx) + c\).
(a) Find the values of the positive integers \(a\), \(b\) and \(c\).
(b) For these values of \(a\), \(b\) and \(c\), use the given diagram to determine the number of solutions in the interval \(0 \leq x \leq 2\pi\) for each of the following equations.
(i) \(a \cos(bx) + c = \frac{6}{\pi} x\)
(ii) \(a \cos(bx) + c = 6 - \frac{6}{\pi} x\)

The diagram shows part of the graph of \(y = a \tan(x - b) + c\).
Given that \(0 < b < \pi\), state the values of the constants \(a\), \(b\), and \(c\).

The diagram shows part of the graph of \(y = a + b \sin x\). Find the values of the constants \(a\) and \(b\).

The diagram shows part of the graph of \(y = a + b \sin x\). State the values of the constants \(a\) and \(b\).

The diagram shows the graph of \(y = a \sin(bx) + c\) for \(0 \leq x \leq 2\pi\).
(i) Find the values of \(a, b\) and \(c\).
(ii) Find the smallest value of \(x\) in the interval \(0 \leq x \leq 2\pi\) for which \(y = 0\).

A curve has equation \(y = 3 \cos 2x + 2\) for \(0 \leq x \leq \pi\).
(a) State the greatest and least values of \(y\).
(b) Sketch the graph of \(y = 3 \cos 2x + 2\) for \(0 \leq x \leq \pi\).
(c) By considering the straight line \(y = kx\), where \(k\) is a constant, state the number of solutions of the equation \(3 \cos 2x + 2 = kx\) for \(0 \leq x \leq \pi\) in each of the following cases.
(i) \(k = -3\)
(ii) \(k = 1\)
(iii) \(k = 3\)
The function f is defined by f(x) = a + b cos 2x, for 0 ≤ x ≤ π. It is given that f(0) = -1 and f(\(\frac{1}{2}\pi\)) = 7.
(i) Sketch and label, on the same diagram, the graphs of \(y = 2 \sin x\) and \(y = \cos 2x\), for the interval \(0 \leq x \leq \pi\).
(ii) Hence state the number of solutions of the equation \(2 \sin x = \cos 2x\) in the interval \(0 \leq x \leq \pi\).
(i) Sketch the graph of the curve \(y = 3 \sin x\), for \(-\pi \leq x \leq \pi\).
The straight line \(y = kx\), where \(k\) is a constant, passes through the maximum point of this curve for \(-\pi \leq x \leq \pi\).
(ii) Find the value of \(k\) in terms of \(\pi\).
(iii) State the coordinates of the other point, apart from the origin, where the line and the curve intersect.
The function \(f\), where \(f(x) = a \sin x + b\), is defined for the domain \(0 \leq x \leq 2\pi\). Given that \(f\left(\frac{1}{2}\pi\right) = 2\) and that \(f\left(\frac{3}{2}\pi\right) = -8\),
(i) find the values of \(a\) and \(b\),
(ii) find the values of \(x\) for which \(f(x) = 0\), giving your answers in radians correct to 2 decimal places,
(iii) sketch the graph of \(y = f(x)\).
Functions \(f\) and \(g\) are defined by
\(f : x \mapsto 2 - 3 \cos x\) for \(0 \leq x \leq 2\pi\),
\(g : x \mapsto \frac{1}{2} x\) for \(0 \leq x \leq 2\pi\).
(i) Solve the equation \(fg(x) = 1\).
(ii) Sketch the graph of \(y = f(x)\).
(i) Solve the equation \(2 \cos x + 3 \sin x = 0\), for \(0^\circ \leq x \leq 360^\circ\).
(ii) Sketch, on the same diagram, the graphs of \(y = 2 \cos x\) and \(y = -3 \sin x\) for \(0^\circ \leq x \leq 360^\circ\).
(iii) Use your answers to parts (i) and (ii) to find the set of values of \(x\) for \(0^\circ \leq x \leq 360^\circ\) for which \(2 \cos x + 3 \sin x > 0\).
(i) Sketch, on the same diagram, the curves \(y = \sin 2x\) and \(y = \cos x - 1\) for \(0 \leq x \leq 2\pi\).
(ii) Hence state the number of solutions, in the interval \(0 \leq x \leq 2\pi\), of the equations
(a) \(2 \sin 2x + 1 = 0\),
(b) \(\sin 2x - \cos x + 1 = 0\).
(i) Sketch, on the same diagram, the graphs of \(y = \sin x\) and \(y = \cos 2x\) for \(0^\circ \leq x \leq 180^\circ\).
(ii) Verify that \(x = 30^\circ\) is a root of the equation \(\sin x = \cos 2x\), and state the other root of this equation for which \(0^\circ \leq x \leq 180^\circ\).
(iii) Hence state the set of values of \(x\), for \(0^\circ \leq x \leq 180^\circ\), for which \(\sin x < \cos 2x\).
(i) Sketch, on a single diagram, the graphs of \(y = \cos 2\theta\) and \(y = \frac{1}{2}\) for \(0 \leq \theta \leq 2\pi\).
(ii) Write down the number of roots of the equation \(2\cos 2\theta - 1 = 0\) in the interval \(0 \leq \theta \leq 2\pi\).
(iii) Deduce the number of roots of the equation \(2\cos 2\theta - 1 = 0\) in the interval \(10\pi \leq \theta \leq 20\pi\).
(i) Sketch the curve \(y = 2 \sin x\) for \(0 \leq x \leq 2\pi\).
(ii) By adding a suitable straight line to your sketch, determine the number of real roots of the equation \(2\pi \sin x = \pi - x\). State the equation of the straight line.
The equation of a curve is \(y = 3 \cos 2x\). The equation of a line is \(x + 2y = \pi\). On the same diagram, sketch the curve and the line for \(0 \leq x \leq \pi\).
The function \(f\) is such that \(f(x) = a - b \cos x\) for \(0^\circ \leq x \leq 360^\circ\), where \(a\) and \(b\) are positive constants. The maximum value of \(f(x)\) is 10 and the minimum value is \(-2\).
Another curve, with equation \(y = f(x)\), has a single stationary point at the point \((p, q)\), where \(p\) and \(q\) are constants. This curve is transformed to a curve with equation
\(y = -3f\left(\frac{1}{4}(x + 8)\right).\)
For the transformed curve, find the coordinates of the stationary point, giving your answer in terms of \(p\) and \(q\).
Describe fully a sequence of three transformations which can be combined to transform the graph of \(y = \sin x\) for \(0 \leq x \leq \frac{1}{2}\pi\) to the graph of \(y = f(x)\), where \(f(x) = 3 + 2 \sin \frac{1}{4}x\), making clear the order in which the transformations are applied.
The curve \(y = \sin x\) is transformed to the curve \(y = 4 \sin\left(\frac{1}{2}x - 30^\circ\right)\).
Describe fully a sequence of transformations that have been combined, making clear the order in which the transformations are applied.
The curve \(y = \\sin 2x - 5x\) is reflected in the \(y\)-axis and then stretched by scale factor \(\frac{1}{3}\) in the \(x\)-direction.
Write down the equation of the transformed curve.
Functions f, g and h are defined for \(x \in \mathbb{R}\) by
\(f(x) = 3 \cos 2x + 2\),
\(g(x) = f(2x) + 4\),
\(h(x) = 2f\left(x + \frac{1}{2}\pi\right)\).
(d) Describe fully a sequence of transformations that maps the graph of \(y = f(x)\) on to \(y = g(x)\). [2]
(e) Describe fully a sequence of transformations that maps the graph of \(y = f(x)\) on to \(y = h(x)\). [2]
In the diagram, the lower curve has equation \(y = \cos \theta\). The upper curve shows the result of applying a combination of transformations to \(y = \cos \theta\).
Find, in terms of a cosine function, the equation of the upper curve.

Functions f and g are such that
\(f(x) = 2 - 3 \sin 2x \quad \text{for} \; 0 \leq x \leq \pi,\)
\(g(x) = -2f(x) \quad \text{for} \; 0 \leq x \leq \pi.\)
(a) State the ranges of f and g.
The diagram below shows the graph of \(y = f(x)\).
(b) Sketch, on this diagram, the graph of \(y = g(x)\).
The function h is such that
\(h(x) = g(x + \pi) \quad \text{for} \; -\pi \leq x \leq 0.\)
(c) Describe fully a sequence of transformations that maps the curve \(y = f(x)\) on to \(y = h(x)\).

The diagram shows the graph of \(y = f(x)\), where \(f(x) = \frac{3}{2} \cos 2x + \frac{1}{2}\) for \(0 \leq x \leq \pi\).
(a) State the range of \(f\).
A function \(g\) is such that \(g(x) = f(x) + k\), where \(k\) is a positive constant. The x-axis is a tangent to the curve \(y = g(x)\).
(b) State the value of \(k\) and hence describe fully the transformation that maps the curve \(y = f(x)\) on to \(y = g(x)\).
(c) State the equation of the curve which is the reflection of \(y = f(x)\) in the x-axis. Give your answer in the form \(y = a \cos 2x + b\), where \(a\) and \(b\) are constants.

The diagram shows the graph of \(y = f(x)\) where the function \(f\) is defined by
\(f(x) = 3 + 2 \sin \frac{1}{4}x\) for \(0 \leq x \leq 2\pi\).
(a) On the diagram above, sketch the graph of \(y = f^{-1}(x)\). [2]
(b) Find an expression for \(f^{-1}(x)\). [2]
(c) The diagram above shows part of the graph of the function \(g(x) = 3 + 2 \sin \frac{1}{4}x\) for \(-2\pi \leq x \leq 2\pi\).
Complete the sketch of the graph of \(g(x)\) on the diagram above and hence explain whether the function \(g\) has an inverse. [2]

The function \(f\) is such that \(f(x) = 3 - 4 \cos^k x\), for \(0 \leq x \leq \pi\), where \(k\) is a constant.
(i) In the case where \(k = 2\),
(a) find the range of \(f\), [2]
(b) find the exact solutions of the equation \(f(x) = 1\). [3]
(ii) In the case where \(k = 1\),
(a) sketch the graph of \(y = f(x)\), [2]
(b) state, with a reason, whether \(f\) has an inverse. [1]

A function f is defined by \(f : x \mapsto 3 - 2 \tan\left(\frac{1}{2}x\right)\) for \(0 \leq x < \pi\).
The function \(f : x \mapsto 4 - 3 \sin x\) is defined for the domain \(0 \leq x \leq 2\pi\).
(i) Solve the equation \(f(x) = 2\). [3]
(ii) Sketch the graph of \(y = f(x)\). [2]
(iii) Find the set of values of \(k\) for which the equation \(f(x) = k\) has no solution. [2]
The function \(g : x \mapsto 4 - 3 \sin x\) is defined for the domain \(\frac{1}{2}\pi \leq x \leq A\).
(iv) State the largest value of \(A\) for which \(g\) has an inverse. [1]
(v) For this value of \(A\), find the value of \(g^{-1}(3)\). [2]
The function f is defined by \(f : x \mapsto 5 - 3 \sin 2x\) for \(0 \leq x \leq \pi\).
(i) Find the range of \(f\). [2]
(ii) Sketch the graph of \(y = f(x)\). [3]
(iii) State, with a reason, whether \(f\) has an inverse. [1]
A function f is defined by \(f : x \mapsto 3 - 2 \sin x\), for \(0^\circ \leq x \leq 360^\circ\).
(i) Find the range of \(f\). [2]
(ii) Sketch the graph of \(y = f(x)\). [2]
A function \(g\) is defined by \(g : x \mapsto 3 - 2 \sin x\), for \(0^\circ \leq x \leq A^\circ\), where \(A\) is a constant.
(iii) State the largest value of \(A\) for which \(g\) has an inverse. [1]
(iv) When \(A\) has this value, obtain an expression, in terms of \(x\), for \(g^{-1}(x)\). [2]
A curve has equation \(y = 2 + 3 \, \sin \frac{1}{2}x\) for \(0 \leq x \leq 4\pi\).
(a) State greatest and least values of \(y\). [2]
(b) Sketch the curve. [2]
(c) State the number of solutions of the equation \(2 + 3 \, \sin \frac{1}{2}x = 5 - 2x\) for \(0 \leq x \leq 4\pi\). [1]
The function f is defined by \(f(x) = 2 - 3 \cos x\) for \(0 \leq x \leq 2\pi\).
The function \(g\) is defined by \(g(x) = 2 - 3 \cos x\) for \(0 \leq x \leq p\), where \(p\) is a constant.
The function \(f\) is defined by \(f(x) = 3 \tan\left(\frac{1}{2}x\right) - 2\), for \(-\frac{1}{2}\pi \leq x \leq \frac{1}{2}\pi\).
(i) Solve the equation \(f(x) + 4 = 0\), giving your answer correct to 1 decimal place. [3]
(ii) Find an expression for \(f^{-1}(x)\) and find the domain of \(f^{-1}\). [5]
(iii) Sketch, on the same diagram, the graphs of \(y = f(x)\) and \(y = f^{-1}(x)\). [3]
A function \(f\) is defined by \(f : x \mapsto 5 - 2 \sin 2x\) for \(0 \leq x \leq \pi\).
(i) Find the range of \(f\). [2]
(ii) Sketch the graph of \(y = f(x)\). [2]
(iii) Solve the equation \(f(x) = 6\), giving answers in terms of \(\pi\). [3]
The function \(g\) is defined by \(g : x \mapsto 5 - 2 \sin 2x\) for \(0 \leq x \leq k\), where \(k\) is a constant.
(iv) State the largest value of \(k\) for which \(g\) has an inverse. [1]
(v) For this value of \(k\), find an expression for \(g^{-1}(x)\). [3]
The function f is defined by \(f : x \mapsto 4 \sin x - 1\) for \(-\frac{1}{2}\pi \leq x \leq \frac{1}{2}\pi\).
The function \(f : x \mapsto 5 + 3 \cos\left(\frac{1}{2}x\right)\) is defined for \(0 \leq x \leq 2\pi\).
The function \(f : x \mapsto 6 - 4\cos\left(\frac{1}{2}x\right)\) is defined for \(0 \leq x \leq 2\pi\).
A function f is defined by \(f : x \mapsto 3 \cos x - 2\) for \(0 \leq x \leq 2\pi\).
A function g is defined by \(g : x \mapsto 3 \cos x - 2\) for \(0 \leq x \leq k\).
Prove the identity \(\frac{\tan^2 \theta + 1}{\tan^2 \theta - 1} \equiv \frac{1}{1 - 2 \cos^2 \theta}\).
Prove the identity \(\frac{1 - 2 \sin^2 \theta}{1 - \sin^2 \theta} \equiv 1 - \tan^2 \theta\).
Prove the identity \(\left( \frac{1}{\cos x} - \tan x \right) \left( \frac{1}{\sin x} + 1 \right) \equiv \frac{1}{\tan x}\).
Show that \(\frac{\sin \theta}{1 - \sin \theta} - \frac{\sin \theta}{1 + \sin \theta} \equiv 2 \tan^2 \theta\).
Show that \(\frac{\tan \theta}{1 + \cos \theta} + \frac{\tan \theta}{1 - \cos \theta} \equiv \frac{2}{\sin \theta \cos \theta}\).
Prove the identity \(\frac{1 + \sin \theta}{\cos \theta} + \frac{\cos \theta}{1 + \sin \theta} \equiv \frac{2}{\cos \theta}\).
Prove the identity \(\left( \frac{1}{\cos x} - \tan x \right)^2 \equiv \frac{1 - \sin x}{1 + \sin x}\).
Show that \(\frac{\tan \theta + 1}{1 + \cos \theta} + \frac{\tan \theta - 1}{1 - \cos \theta} \equiv \frac{2(\tan \theta - \cos \theta)}{\sin^2 \theta}\).
Prove the identity \((\sin \theta + \cos \theta)(1 - \sin \theta \cos \theta) \equiv \sin^3 \theta + \cos^3 \theta\).
Prove the identity \(\left( \frac{1}{\cos \theta} - \tan \theta \right)^2 \equiv \frac{1 - \sin \theta}{1 + \sin \theta}\).
Prove the identity \(\frac{1 + \cos \theta}{\sin \theta} + \frac{\sin \theta}{1 + \cos \theta} \equiv \frac{2}{\sin \theta}\).
Prove the identity \(\frac{\sin \theta}{\cos \theta + \sin \theta} + \frac{1 - \cos \theta}{\cos \theta - \sin \theta} \equiv \frac{\cos \theta + \sin \theta - 1}{1 - 2 \sin^2 \theta}\).
Show that \(\cos^4 x \equiv 1 - 2 \sin^2 x + \sin^4 x\).
Prove the identity \(\frac{1 + \cos \theta}{1 - \cos \theta} - \frac{1 - \cos \theta}{1 + \cos \theta} \equiv \frac{4}{\sin \theta \tan \theta}\).
Prove the identity \(\left( \frac{1}{\sin x} - \frac{1}{\tan x} \right)^2 \equiv \frac{1 - \cos x}{1 + \cos x}\).
Prove the identity \(\frac{\sin \theta - \cos \theta}{\sin \theta + \cos \theta} \equiv \frac{\tan \theta - 1}{\tan \theta + 1}\).
Show that \(\sin^4 \theta - \cos^4 \theta \equiv 2 \sin^2 \theta - 1\).
Prove the identity \(\frac{\tan x + 1}{\sin x \tan x + \cos x} \equiv \sin x + \cos x\).
Prove the identity \(\frac{1}{\cos \theta} - \frac{\cos \theta}{1 + \sin \theta} \equiv \tan \theta\).
Prove the identity \(\frac{\sin \theta}{1 - \cos \theta} - \frac{1}{\sin \theta} \equiv \frac{1}{\tan \theta}\).
Show that \(\frac{\sin \theta}{\sin \theta + \cos \theta} + \frac{\cos \theta}{\sin \theta - \cos \theta} \equiv \frac{1}{\sin^2 \theta - \cos^2 \theta}\).
Prove the identity \(\tan^2 \theta - \sin^2 \theta \equiv \tan^2 \theta \sin^2 \theta\).
Show that \(\frac{\tan \theta}{\sin \theta} - \frac{\sin \theta}{\tan \theta} \equiv \tan \theta \sin \theta\).
Prove the identity \(\tan x + \frac{1}{\tan x} = \frac{1}{\sin x \cos x}\).
Prove the identity \(\left( \frac{1}{\sin \theta} - \frac{1}{\tan \theta} \right)^2 \equiv \frac{1 - \cos \theta}{1 + \cos \theta}\).
Prove the identity \(\frac{\cos \theta}{\tan \theta (1 - \sin \theta)} \equiv 1 + \frac{1}{\sin \theta}\).
Prove the identity
\(\tan^2 x - \sin^2 x \equiv \tan^2 x \sin^2 x\).
Prove the identity \(\frac{\sin x \tan x}{1 - \cos x} \equiv 1 + \frac{1}{\cos x}\).
Prove the identity \((\sin x + \cos x)(1 - \sin x \cos x) \equiv \sin^3 x + \cos^3 x\).
Prove the identity \(\frac{\sin x}{1 - \sin x} - \frac{\sin x}{1 + \sin x} \equiv 2 \tan^2 x\).
Prove the identity
\(\frac{1 + \sin x}{\cos x} + \frac{\cos x}{1 + \sin x} = \frac{2}{\cos x}.\)
Prove the identity \(\frac{1 - \tan^2 x}{1 + \tan^2 x} \equiv 1 - 2 \sin^2 x\).
Prove the identity \(\frac{\sin \theta}{\sin \theta + \cos \theta} + \frac{\cos \theta}{\sin \theta - \cos \theta} \equiv \frac{\tan^2 \theta + 1}{\tan^2 \theta - 1}\).
Prove the identity \(\frac{\sin^3 \theta}{\sin \theta - 1} - \frac{\sin^2 \theta}{1 + \sin \theta} \equiv -\tan^2 \theta (1 + \sin^2 \theta)\).
Show that \(\frac{\sin \theta + 2 \cos \theta}{\cos \theta - 2 \sin \theta} - \frac{\sin \theta - 2 \cos \theta}{\cos \theta + 2 \sin \theta} \equiv \frac{4}{5 \cos^2 \theta - 4}\).
Show that the equation \(\frac{\tan x + \cos x}{\tan x - \cos x} = k\), where \(k\) is a constant, can be expressed as
\((k+1) \sin^2 x + (k-1) \sin x - (k+1) = 0\).
Show that the equation
\(\frac{\tan x + \sin x}{\tan x - \sin x} = k,\)
where \(k\) is a constant, may be expressed as
\(\frac{1 + \cos x}{1 - \cos x} = k.\)
Prove the identity \(\frac{1 + \\sin x}{1 - \\sin x} - \frac{1 - \\sin x}{1 + \\sin x} \equiv \frac{4 \\tan x}{\\cos x}\).
Solve the equation \(4 \sin \theta + \tan \theta = 0\) for \(0^\circ < \theta < 180^\circ\).
(a) Prove the identity \(\frac{1 + \sin \theta}{\cos \theta} + \frac{\cos \theta}{1 + \sin \theta} \equiv \frac{2}{\cos \theta}\).
(b) Hence solve the equation \(\frac{1 + \sin \theta}{\cos \theta} + \frac{\cos \theta}{1 + \sin \theta} = \frac{3}{\sin \theta}\), for \(0 \leq \theta \leq 2\pi\).
Solve the equation
\(\frac{\tan \theta + 3 \sin \theta + 2}{\tan \theta - 3 \sin \theta + 1} = 2\)
for \(0^\circ \leq \theta \leq 90^\circ\).
Given that \(x > 0\), find the two smallest values of \(x\), in radians, for which \(3 \tan(2x + 1) = 1\). Show all necessary working.
(i) Prove the identity \(\left( \frac{1}{\cos x} - \tan x \right)^2 \equiv \frac{1 - \sin x}{1 + \sin x}\).
(ii) Hence solve the equation \(\left( \frac{1}{\cos 2x} - \tan 2x \right)^2 = \frac{1}{3}\) for \(0 \leq x \leq \pi\).
(i) Express \(\frac{\tan^2 \theta - 1}{\tan^2 \theta + 1}\) in the form \(a \sin^2 \theta + b\), where \(a\) and \(b\) are constants to be found.
(ii) Hence, or otherwise, and showing all necessary working, solve the equation \(\frac{\tan^2 \theta - 1}{\tan^2 \theta + 1} = \frac{1}{4}\) for \(-90^\circ \leq \theta \leq 0^\circ\).
(i) Prove the identity \((\sin \theta + \cos \theta)(1 - \sin \theta \cos \theta) \equiv \sin^3 \theta + \cos^3 \theta\).
(ii) Hence solve the equation \((\sin \theta + \cos \theta)(1 - \sin \theta \cos \theta) = 3 \cos^3 \theta\) for \(0^\circ \leq \theta \leq 360^\circ\).
(i) Show that the equation \(\frac{2 \sin \theta + \cos \theta}{\sin \theta + \cos \theta} = 2 \tan \theta\) may be expressed as \(\cos^2 \theta = 2 \sin^2 \theta\).
(ii) Hence solve the equation \(\frac{2 \sin \theta + \cos \theta}{\sin \theta + \cos \theta} = 2 \tan \theta\) for \(0^\circ < \theta < 180^\circ\).
(i) Prove the identity \(\left( \frac{1}{\cos \theta} - \tan \theta \right)^2 \equiv \frac{1 - \sin \theta}{1 + \sin \theta}\).
(ii) Hence solve the equation \(\left( \frac{1}{\cos \theta} - \tan \theta \right)^2 = \frac{1}{2}\), for \(0^\circ \leq \theta \leq 360^\circ\).
(i) Prove the identity \(\frac{1 + \cos \theta}{\sin \theta} + \frac{\sin \theta}{1 + \cos \theta} \equiv \frac{2}{\sin \theta}\).
(ii) Hence solve the equation \(\frac{1 + \cos \theta}{\sin \theta} + \frac{\sin \theta}{1 + \cos \theta} = \frac{3}{\cos \theta}\) for \(0^\circ \leq \theta \leq 360^\circ\).
Showing all necessary working, solve the equation \(6 \sin^2 x - 5 \cos^2 x = 2 \sin^2 x + \cos^2 x\) for \(0^\circ \leq x \leq 360^\circ\).
Find the exact solutions of the equation \(4 \sin\left(\frac{1}{2}x - 30^\circ\right) = 2\sqrt{2}\) for \(0^\circ \leq x \leq 360^\circ\).
(i) Express the equation \(\sin 2x + 3 \cos 2x = 3(\sin 2x - \cos 2x)\) in the form \(\tan 2x = k\), where \(k\) is a constant.
(ii) Hence solve the equation for \(-90^\circ \leq x \leq 90^\circ\).
(i) Prove the identity \(\frac{1 + \cos \theta}{1 - \cos \theta} - \frac{1 - \cos \theta}{1 + \cos \theta} \equiv \frac{4}{\sin \theta \tan \theta}\).
(ii) Hence solve, for \(0^\circ < \theta < 360^\circ\), the equation \(\sin \theta \left( \frac{1 + \cos \theta}{1 - \cos \theta} - \frac{1 - \cos \theta}{1 + \cos \theta} \right) = 3\).
(i) Prove the identity \(\left( \frac{1}{\sin x} - \frac{1}{\tan x} \right)^2 \equiv \frac{1 - \cos x}{1 + \cos x}\).
(ii) Hence solve the equation \(\left( \frac{1}{\sin x} - \frac{1}{\tan x} \right)^2 = \frac{2}{5}\) for \(0 \leq x \leq 2\pi\).
(i) Express the equation \(3 \sin \theta = \cos \theta\) in the form \(\tan \theta = k\) and solve the equation for \(0^\circ < \theta < 180^\circ\).
(ii) Solve the equation \(3 \sin^2 2x = \cos^2 2x\) for \(0^\circ < x < 180^\circ\).
(i) Show that \(\sin^4 \theta - \cos^4 \theta \equiv 2 \sin^2 \theta - 1\).
(ii) Hence solve the equation \(\sin^4 \theta - \cos^4 \theta = \frac{1}{2}\) for \(0^\circ \leq \theta \leq 360^\circ\).
Solve the equation \(\frac{13 \sin^2 \theta}{2 + \cos \theta} + \cos \theta = 2\) for \(0^\circ \leq \theta \leq 180^\circ\).
(i) Prove the identity \(\frac{\tan x + 1}{\sin x \tan x + \cos x} \equiv \sin x + \cos x\).
(ii) Hence solve the equation \(\frac{\tan x + 1}{\sin x \tan x + \cos x} = 3 \sin x - 2 \cos x\) for \(0 \leq x \leq 2\pi\).
(i) Prove the identity \(\frac{1}{\cos \theta} - \frac{\cos \theta}{1 + \sin \theta} \equiv \tan \theta\).
(ii) Solve the equation \(\frac{1}{\cos \theta} - \frac{\cos \theta}{1 + \sin \theta} + 2 = 0\) for \(0^\circ \leq \theta \leq 360^\circ\).
(i) Prove the identity \(\frac{\sin \theta}{1 - \cos \theta} - \frac{1}{\sin \theta} \equiv \frac{1}{\tan \theta}\).
(ii) Hence solve the equation \(\frac{\sin \theta}{1 - \cos \theta} - \frac{1}{\sin \theta} = 4 \tan \theta\) for \(0^\circ < \theta < 180^\circ\).
(i) Show that \(\frac{\sin \theta}{\sin \theta + \cos \theta} + \frac{\cos \theta}{\sin \theta - \cos \theta} \equiv \frac{1}{\sin^2 \theta - \cos^2 \theta}\).
(ii) Hence solve the equation \(\frac{\sin \theta}{\sin \theta + \cos \theta} + \frac{\cos \theta}{\sin \theta - \cos \theta} = 3\), for \(0^\circ \leq \theta \leq 360^\circ\).
Solve, by factorising, the equation
\(6 \cos \theta \tan \theta - 3 \cos \theta + 4 \tan \theta - 2 = 0,\)
for \(0^\circ \leq \theta \leq 180^\circ\).
(i) Solve the equation \(\sin 2x + 3 \cos 2x = 0\) for \(0^\circ \leq x \leq 360^\circ\).
(ii) How many solutions has the equation \(\sin 2x + 3 \cos 2x = 0\) for \(0^\circ \leq x \leq 1080^\circ\)?
Solve the equation \(\sin 2x = 2 \cos 2x\), for \(0^\circ \leq x \leq 180^\circ\).
(i) Prove the identity \(\left( \frac{1}{\sin \theta} - \frac{1}{\tan \theta} \right)^2 \equiv \frac{1 - \cos \theta}{1 + \cos \theta}\).
(ii) Hence solve the equation \(\left( \frac{1}{\sin \theta} - \frac{1}{\tan \theta} \right)^2 = \frac{2}{5}\), for \(0^\circ \leq \theta \leq 360^\circ\).
(i) Prove the identity \(\frac{\cos \theta}{\tan \theta (1 - \sin \theta)} \equiv 1 + \frac{1}{\sin \theta}\).
(ii) Hence solve the equation \(\frac{\cos \theta}{\tan \theta (1 - \sin \theta)} = 4\), for \(0^\circ \leq \theta \leq 360^\circ\).
(i) Prove the identity \(\frac{\sin x \tan x}{1 - \cos x} \equiv 1 + \frac{1}{\cos x}\).
(ii) Hence solve the equation \(\frac{\sin x \tan x}{1 - \cos x} + 2 = 0\), for \(0^\circ \leq x \leq 360^\circ\).
(i) Show that the equation
\(3(2 \sin x - \cos x) = 2(\sin x - 3 \cos x)\)
can be written in the form \(\tan x = -\frac{3}{4}\).
(ii) Solve the equation \(3(2 \sin x - \cos x) = 2(\sin x - 3 \cos x)\), for \(0^\circ \leq x \leq 360^\circ\).
(i) Prove the identity \((\sin x + \cos x)(1 - \sin x \cos x) \equiv \sin^3 x + \cos^3 x\).
(ii) Solve the equation \((\sin x + \cos x)(1 - \sin x \cos x) = 9 \sin^3 x\) for \(0^\circ \leq x < 360^\circ\).
Solve the equation \(3 \tan(2x + 15^\circ) = 4\) for \(0^\circ \leq x \leq 180^\circ\).
Solve the equation \(\sin 2x + 3 \cos 2x = 0\), for \(0^\circ \leq x < 180^\circ\).
(i) Show that the equation \(\sin \theta + \cos \theta = 2(\sin \theta - \cos \theta)\) can be expressed as \(\tan \theta = 3\).
(ii) Hence solve the equation \(\sin \theta + \cos \theta = 2(\sin \theta - \cos \theta)\), for \(0^\circ \leq \theta \leq 360^\circ\).
(a) Show that the equation \(\frac{\tan x + \sin x}{\tan x - \sin x} = k\), where \(k\) is a constant, may be expressed as \(\frac{1 + \cos x}{1 - \cos x} = k\).
(b) Hence express \(\cos x\) in terms of \(k\).
(c) Hence solve the equation \(\frac{\tan x + \sin x}{\tan x - \sin x} = 4\) for \(-\pi < x < \pi\).
Find all the values of \(x\) in the interval \(0^\circ \leq x \leq 180^\circ\) which satisfy the equation \(\sin 3x + 2 \cos 3x = 0\).
(a) Prove the identity \(\frac{1 + \sin x}{1 - \sin x} - \frac{1 - \sin x}{1 + \sin x} \equiv \frac{4 \tan x}{\cos x}\).
(b) Hence solve the equation \(\frac{1 + \sin x}{1 - \sin x} - \frac{1 - \sin x}{1 + \sin x} = 8 \tan x\) for \(0 \leq x \leq \frac{1}{2} \pi\).
Solve the equation \(\frac{\tan \theta + 2 \sin \theta}{\tan \theta - 2 \sin \theta} = 3\) for \(0^\circ < \theta < 180^\circ\).
(a) Prove the identity \(\left( \frac{1}{\cos x} - \tan x \right) \left( \frac{1}{\sin x} + 1 \right) \equiv \frac{1}{\tan x}\).
(b) Hence solve the equation \(\left( \frac{1}{\cos x} - \tan x \right) \left( \frac{1}{\sin x} + 1 \right) = 2 \tan^2 x\) for \(0^\circ \leq x \leq 180^\circ\).
(a) Show that \(\frac{\sin \theta}{1 - \sin \theta} - \frac{\sin \theta}{1 + \sin \theta} \equiv 2 \tan^2 \theta\).
(b) Hence solve the equation \(\frac{\sin \theta}{1 - \sin \theta} - \frac{\sin \theta}{1 + \sin \theta} = 8\), for \(0^\circ < \theta < 180^\circ\).
(a) Show that \(\frac{\tan \theta}{1 + \cos \theta} + \frac{\tan \theta}{1 - \cos \theta} \equiv \frac{2}{\sin \theta \cos \theta}\).
(b) Hence solve the equation \(\frac{\tan \theta}{1 + \cos \theta} + \frac{\tan \theta}{1 - \cos \theta} = \frac{6}{\tan \theta}\) for \(0^\circ < \theta < 180^\circ\).
(a) Show that the equation
\(5 \cos \theta - \sin \theta \tan \theta + 1 = 0\)
may be expressed in the form \(a \cos^2 \theta + b \cos \theta + c = 0\), where \(a, b\) and \(c\) are constants to be found.
(b) Hence solve the equation \(5 \cos \theta - \sin \theta \tan \theta + 1 = 0\) for \(0 < \theta < 2\pi\).
(a) Show that the equation \(\frac{1}{\sin \theta + \cos \theta} + \frac{1}{\sin \theta - \cos \theta} = 1\) may be expressed in the form \(a \sin^2 \theta + b \sin \theta + c = 0\), where \(a, b\) and \(c\) are constants to be found.
(b) Hence solve the equation \(\frac{1}{\sin \theta + \cos \theta} + \frac{1}{\sin \theta - \cos \theta} = 1\) for \(0^\circ \leq \theta \leq 360^\circ\).
(a) Solve the equation \(6\sqrt{y} + \frac{2}{\sqrt{y}} - 7 = 0\).
(b) Hence solve the equation \(6\sqrt{\tan x} + \frac{2}{\sqrt{\tan x}} - 7 = 0\) for \(0^\circ \leq x \leq 360^\circ\).
The function \(f\) is given by \(f(x) = 4 \cos^4 x + \cos^2 x - k\) for \(0 \leq x \leq 2\pi\), where \(k\) is a constant.
(a) Given that \(k = 3\), find the exact solutions of the equation \(f(x) = 0\).
(b) Use the quadratic formula to show that, when \(k > 5\), the equation \(f(x) = 0\) has no solutions.
(a) Prove the identity \(\frac{\sin^3 \theta}{\sin \theta - 1} - \frac{\sin^2 \theta}{1 + \sin \theta} \equiv -\tan^2 \theta (1 + \sin^2 \theta)\).
(b) Hence solve the equation \(\frac{\sin^3 \theta}{\sin \theta - 1} - \frac{\sin^2 \theta}{1 + \sin \theta} = \tan^2 \theta (1 - \sin^2 \theta)\) for \(0 < \theta < 2\pi\).
(a) Show that \(\frac{\sin \theta + 2 \cos \theta}{\cos \theta - 2 \sin \theta} - \frac{\sin \theta - 2 \cos \theta}{\cos \theta + 2 \sin \theta} \equiv \frac{4}{5 \cos^2 \theta - 4}\).
(b) Hence solve the equation \(\frac{\sin \theta + 2 \cos \theta}{\cos \theta - 2 \sin \theta} - \frac{\sin \theta - 2 \cos \theta}{\cos \theta + 2 \sin \theta} = 5\) for \(0^\circ < \theta < 180^\circ\).
(a) Show that the equation \(\frac{\tan x + \cos x}{\tan x - \cos x} = k\), where \(k\) is a constant, can be expressed as \((k + 1) \sin^2 x + (k - 1) \sin x - (k + 1) = 0\).
(b) Hence solve the equation \(\frac{\tan x + \cos x}{\tan x - \cos x} = 4\) for \(0^\circ \leq x \leq 360^\circ\).
Solve the equation \(2 \cos \theta = 7 - \frac{3}{\cos \theta}\) for \(-90^\circ < \theta < 90^\circ\).
(a) Prove the identity \(\frac{1 - 2 \sin^2 \theta}{1 - \sin^2 \theta} \equiv 1 - \tan^2 \theta\).
(b) Hence solve the equation \(\frac{1 - 2 \sin^2 \theta}{1 - \sin^2 \theta} = 2 \tan^4 \theta\) for \(0^\circ \leq \theta \leq 180^\circ\).
Solve the equation \(3 \tan^2 \theta + 1 = \frac{2}{\tan^2 \theta}\) for \(0^\circ < \theta < 180^\circ\).
(i) Show that the equation \(3 \cos^4 \theta + 4 \sin^2 \theta - 3 = 0\) can be expressed as \(3x^2 - 4x + 1 = 0\), where \(x = \cos^2 \theta\).
(ii) Hence solve the equation \(3 \cos^4 \theta + 4 \sin^2 \theta - 3 = 0\) for \(0^\circ \leq \theta \leq 180^\circ\).
(a) Verify the identity \((2x - 1)(4x^2 + 2x - 1) \equiv 8x^3 - 4x + 1\).
(b) Prove the identity \(\frac{\tan^2 \theta + 1}{\tan^2 \theta - 1} \equiv \frac{1}{1 - 2 \cos^2 \theta}\).
(c) Using the results of (a) and (b), solve the equation \(\frac{\tan^2 \theta + 1}{\tan^2 \theta - 1} = 4 \cos \theta\), for \(0^\circ \leq \theta \leq 180^\circ\).
(i) Given that \(4 \tan x + 3 \cos x + \frac{1}{\cos x} = 0\), show, without using a calculator, that \(\sin x = -\frac{2}{3}\).
(ii) Hence, showing all necessary working, solve the equation \(4 \tan(2x - 20^\circ) + 3 \cos(2x - 20^\circ) + \frac{1}{\cos(2x - 20^\circ)} = 0\) for \(0^\circ \leq x \leq 180^\circ\).
Solve the equation \(3 \sin^2 2\theta + 8 \cos 2\theta = 0\) for \(0^\circ \leq \theta \leq 180^\circ\).
(i) Show that \(\frac{\tan \theta + 1}{1 + \cos \theta} + \frac{\tan \theta - 1}{1 - \cos \theta} \equiv \frac{2(\tan \theta - \cos \theta)}{\sin^2 \theta}\).
(ii) Hence, showing all necessary working, solve the equation \(\frac{\tan \theta + 1}{1 + \cos \theta} + \frac{\tan \theta - 1}{1 - \cos \theta} = 0\) for \(0^\circ < \theta < 90^\circ\).
(i) Show that the equation \(\frac{\cos \theta - 4}{\sin \theta} - \frac{4 \sin \theta}{5 \cos \theta - 2} = 0\) may be expressed as \(9 \cos^2 \theta - 22 \cos \theta + 4 = 0\).
(ii) Hence solve the equation \(\frac{\cos \theta - 4}{\sin \theta} - \frac{4 \sin \theta}{5 \cos \theta - 2} = 0\) for \(0^\circ \leq \theta \leq 360^\circ\).
Express the equation \(\frac{5 + 2 \tan x}{3 + 2 \tan x} = 1 + \tan x\) as a quadratic equation in \(\tan x\) and hence solve the equation for \(0 \leq x \leq \pi\).
(i) Show that the equation \(\frac{\cos \theta + 4}{\sin \theta + 1} + 5 \sin \theta - 5 = 0\) may be expressed as \(5 \cos^2 \theta - \cos \theta - 4 = 0\).
(ii) Hence solve the equation \(\frac{\cos \theta + 4}{\sin \theta + 1} + 5 \sin \theta - 5 = 0\) for \(0^\circ \leq \theta \leq 360^\circ\).
(i) Show that the equation \(\cos 2x(\tan^2 2x + 3) + 3 = 0\) can be expressed as \(2 \cos^2 2x + 3 \cos 2x + 1 = 0\).
(ii) Hence solve the equation \(\cos 2x(\tan^2 2x + 3) + 3 = 0\) for \(0^\circ \leq x \leq 180^\circ\).
(i) Show that the equation \((\sin \theta + 2 \cos \theta)(1 + \sin \theta - \cos \theta) = \sin \theta(1 + \cos \theta)\) may be expressed as \(3 \cos^2 \theta - 2 \cos \theta - 1 = 0\).
(ii) Hence solve the equation \((\sin \theta + 2 \cos \theta)(1 + \sin \theta - \cos \theta) = \sin \theta(1 + \cos \theta)\) for \(-180^\circ \leq \theta \leq 180^\circ\).
(i) Show that \(\cos^4 x \equiv 1 - 2\sin^2 x + \sin^4 x\).
(ii) Hence, or otherwise, solve the equation \(8\sin^4 x + \cos^4 x = 2\cos^2 x\) for \(0^\circ \leq x \leq 360^\circ\).
(i) Show that \(3 \sin x \tan x - \cos x + 1 = 0\) can be written as a quadratic equation in \(\cos x\) and hence solve the equation \(3 \sin x \tan x - \cos x + 1 = 0\) for \(0 \leq x \leq \pi\).
(ii) Find the solutions to the equation \(3 \sin 2x \tan 2x - \cos 2x + 1 = 0\) for \(0 \leq x \leq \pi\).
(a) Show that the equation
\(4 \sin x + \frac{5}{\tan x} + \frac{2}{\sin x} = 0\)
may be expressed in the form \(a \cos^2 x + b \cos x + c = 0\), where \(a, b\) and \(c\) are integers to be found.
(b) Hence solve the equation \(4 \sin x + \frac{5}{\tan x} + \frac{2}{\sin x} = 0\) for \(0^\circ \leq x \leq 360^\circ\).
Solve the equation \(3 \sin^2 \theta = 4 \cos \theta - 1\) for \(0^\circ \leq \theta \leq 360^\circ\).
Show that the equation \(\frac{1}{\cos \theta} + 3 \sin \theta \tan \theta + 4 = 0\) can be expressed as \(3 \cos^2 \theta - 4 \cos \theta - 4 = 0\), and hence solve the equation \(\frac{1}{\cos \theta} + 3 \sin \theta \tan \theta + 4 = 0\) for \(0^\circ \leq \theta \leq 360^\circ\).
(i) Show that the equation \(\frac{4 \cos \theta}{\tan \theta} + 15 = 0\) can be expressed as \(4 \sin^2 \theta - 15 \sin \theta - 4 = 0\).
(ii) Hence solve the equation \(\frac{4 \cos \theta}{\tan \theta} + 15 = 0\) for \(0^\circ \leq \theta \leq 360^\circ\).
(i) Prove the identity \(\frac{\sin \theta - \cos \theta}{\sin \theta + \cos \theta} \equiv \frac{\tan \theta - 1}{\tan \theta + 1}\).
(ii) Hence solve the equation \(\frac{\sin \theta - \cos \theta}{\sin \theta + \cos \theta} = \frac{\tan \theta}{6}\), for \(0^\circ \leq \theta \leq 180^\circ\).
(i) Show that the equation \(1 + \sin x \tan x = 5 \cos x\) can be expressed as \(6 \cos^2 x - \cos x - 1 = 0\).
(ii) Hence solve the equation \(1 + \sin x \tan x = 5 \cos x\) for \(0^\circ \leq x \leq 180^\circ\).
(i) Solve the equation \(4 \sin^2 x + 8 \cos x - 7 = 0\) for \(0^\circ \leq x \leq 360^\circ\).
(ii) Hence find the solution of the equation \(4 \sin^2 \left(\frac{1}{2} \theta\right) + 8 \cos \left(\frac{1}{2} \theta\right) - 7 = 0\) for \(0^\circ \leq \theta \leq 360^\circ\).
(i) Express the equation \(2 \cos^2 \theta = \tan^2 \theta\) as a quadratic equation in \(\cos^2 \theta\).
(ii) Solve the equation \(2 \cos^2 \theta = \tan^2 \theta\) for \(0 \leq \theta \leq \pi\), giving solutions in terms of \(\pi\).
Solve the equation \(7 \cos x + 5 = 2 \sin^2 x\), for \(0^\circ \leq x \leq 360^\circ\).
(i) Show that the equation \(2 \cos x = 3 \tan x\) can be written as a quadratic equation in \(\sin x\).
(ii) Solve the equation \(2 \cos 2y = 3 \tan 2y\), for \(0^\circ \leq y \leq 180^\circ\).
(i) Solve the equation \(2 \cos^2 \theta = 3 \sin \theta\), for \(0^\circ \leq \theta \leq 360^\circ\).
(ii) The smallest positive solution of the equation \(2 \cos^2(n\theta) = 3 \sin(n\theta)\), where \(n\) is a positive integer, is \(10^\circ\). State the value of \(n\) and hence find the largest solution of this equation in the interval \(0^\circ \leq \theta \leq 360^\circ\).
(a) Show that the equation
\(3 \tan^2 x - 3 \sin^2 x - 4 = 0\)
may be expressed in the form \(a \cos^4 x + b \cos^2 x + c = 0\), where \(a, b\) and \(c\) are constants to be found.
(b) Hence solve the equation \(3 \tan^2 x - 3 \sin^2 x - 4 = 0\) for \(0^\circ \leq x \leq 180^\circ\).
(i) Prove the identity \(\tan x + \frac{1}{\tan x} \equiv \frac{1}{\sin x \cos x}\).
(ii) Solve the equation \(\frac{2}{\sin x \cos x} = 1 + 3 \tan x\), for \(0^\circ \leq x \leq 180^\circ\).
(i) Given that
\(3 \sin^2 x - 8 \cos x - 7 = 0\),
show that, for real values of \(x\),
\(\cos x = -\frac{2}{3}\).
(ii) Hence solve the equation
\(3 \sin^2(\theta + 70^\circ) - 8 \cos(\theta + 70^\circ) - 7 = 0\)
for \(0^\circ \leq \theta \leq 180^\circ\).
(i) Show that the equation \(2 \tan^2 \theta \sin^2 \theta = 1\) can be written in the form \(2 \sin^4 \theta + \sin^2 \theta - 1 = 0\).
(ii) Hence solve the equation \(2 \tan^2 \theta \sin^2 \theta = 1\) for \(0^\circ \leq \theta \leq 360^\circ\).
Solve the equation \(15 \sin^2 x = 13 + \cos x\) for \(0^\circ \leq x \leq 180^\circ\).
(i) Show that the equation \(2 \sin x \tan x + 3 = 0\) can be expressed as \(2 \cos^2 x - 3 \cos x - 2 = 0\).
(ii) Solve the equation \(2 \sin x \tan x + 3 = 0\) for \(0^\circ \leq x \leq 360^\circ\).
(i) Show that the equation \(2 \tan^2 \theta \cos \theta = 3\) can be written in the form \(2 \cos^2 \theta + 3 \cos \theta - 2 = 0\).
(ii) Hence solve the equation \(2 \tan^2 \theta \cos \theta = 3\), for \(0^\circ \leq \theta \leq 360^\circ\).
(i) Show that the equation \(3 \sin x \tan x = 8\) can be written as \(3 \cos^2 x + 8 \cos x - 3 = 0\).
(ii) Hence solve the equation \(3 \sin x \tan x = 8\) for \(0^\circ \leq x \leq 360^\circ\).
Solve the equation \(3 \sin^2 \theta - 2 \cos \theta - 3 = 0\), for \(0^\circ \leq \theta \leq 180^\circ\).
(i) Show that the equation \(\sin^2 \theta + 3 \sin \theta \cos \theta = 4 \cos^2 \theta\) can be written as a quadratic equation in \(\tan \theta\).
(ii) Hence, or otherwise, solve the equation in part (i) for \(0^\circ \leq \theta \leq 180^\circ\).
(i) Show that the equation \(4 \sin^4 \theta + 5 = 7 \cos^2 \theta\) may be written in the form \(4x^2 + 7x - 2 = 0\), where \(x = \sin^2 \theta\).
(ii) Hence solve the equation \(4 \sin^4 \theta + 5 = 7 \cos^2 \theta\), for \(0^\circ \leq \theta \leq 360^\circ\).
(a) (i) By first expanding \((\cos \theta + \sin \theta)^2\), find the three solutions of the equation \((\cos \theta + \sin \theta)^2 = 1\) for \(0 \leq \theta \leq \pi\).
(ii) Hence verify that the only solutions of the equation \(\cos \theta + \sin \theta = 1\) for \(0 \leq \theta \leq \pi\) are \(0\) and \(\frac{1}{2}\pi\).
(b) Prove the identity \(\frac{\sin \theta}{\cos \theta + \sin \theta} + \frac{1 - \cos \theta}{\cos \theta - \sin \theta} \equiv \frac{\cos \theta + \sin \theta - 1}{1 - 2 \sin^2 \theta}\).
(c) Using the results of (a)(ii) and (b), solve the equation \(\frac{\sin \theta}{\cos \theta + \sin \theta} + \frac{1 - \cos \theta}{\cos \theta - \sin \theta} = 2(\cos \theta + \sin \theta - 1)\) for \(0 \leq \theta \leq \pi\).
(i) Show that the equation \(3 \tan \theta = 2 \cos \theta\) can be expressed as \(2 \sin^2 \theta + 3 \sin \theta - 2 = 0\).
(ii) Hence solve the equation \(3 \tan \theta = 2 \cos \theta\), for \(0^\circ \leq \theta \leq 360^\circ\).
(i) Show that \(\sin x \tan x\) may be written as \(\frac{1 - \cos^2 x}{\cos x}\).
(ii) Hence solve the equation \(2 \sin x \tan x = 3\), for \(0^\circ \leq x \leq 360^\circ\).
By first obtaining a quadratic equation in \(\cos \theta\), solve the equation
\(\tan \theta \sin \theta = 1\)
for \(0^\circ < \theta < 360^\circ\).
Solve the equation \(8 \sin^2 \theta + 6 \cos \theta + 1 = 0\) for \(0^\circ < \theta < 180^\circ\).
(a) Prove the identity \(\frac{\sin \theta}{\sin \theta + \cos \theta} + \frac{\cos \theta}{\sin \theta - \cos \theta} \equiv \frac{\tan^2 \theta + 1}{\tan^2 \theta - 1}\).
(b) Hence find the exact solutions of the equation \(\frac{\sin \theta}{\sin \theta + \cos \theta} + \frac{\cos \theta}{\sin \theta - \cos \theta} = 2\) for \(0 \leq \theta \leq \pi\).
Solve the equation \(8 \cos^2 \theta - 10 \cos \theta + 2 = 0\) for \(0^\circ \leq \theta \leq 180^\circ\).
Find the exact solution of the equation
\(\frac{1}{6}\pi + \arctan(4x) = -\cos^{-1}\left(\frac{1}{2}\sqrt{3}\right)\).
The diagram shows the graphs of \(y = \sin x\) and \(y = 2 \cos x\) for \(-\pi \leq x \leq \pi\). The graphs intersect at the points \(A\) and \(B\).
(i) Find the \(x\)-coordinate of \(A\).
(ii) Find the \(y\)-coordinate of \(B\).

The function \(f\) is such that \(f(x) = a + b \cos x\) for \(0 \leq x \leq 2\pi\). It is given that \(f\left(\frac{1}{3}\pi\right) = 5\) and \(f(\pi) = 11\).
(i) Find the values of the constants \(a\) and \(b\).
(ii) Find the set of values of \(k\) for which the equation \(f(x) = k\) has no solution.
The diagram shows part of the graph of \(y = k \sin(\theta + \alpha)\), where \(k\) and \(\alpha\) are constants and \(0^\circ < \alpha < 180^\circ\). The graph has a maximum point at \(y = 2\) and \(\theta = 0^\circ\), and it crosses the \(\theta\)-axis at \(\theta = 150^\circ\). Find the value of \(\alpha\) and the value of \(k\).

A straight line cuts the positive x-axis at A and the positive y-axis at B (0, 2). Angle BAO = \(\frac{1}{6} \pi\) radians, where O is the origin.
(i) Find the exact value of the x-coordinate of A.
(ii) Find the equation of the perpendicular bisector of AB, giving your answer in the form \(y = mx + c\), where \(m\) is given exactly and \(c\) is an integer.
(a) The function f, defined by \(f : x \mapsto a + b \sin x\) for \(x \in \mathbb{R}\), is such that \(f\left(\frac{1}{6}\pi\right) = 4\) and \(f\left(\frac{1}{2}\pi\right) = 3\).
(b) The function g is defined by \(g : x \mapsto c + d \sin x\) for \(x \in \mathbb{R}\). The range of g is given by \(-4 \leq g(x) \leq 10\). Find the values of the constants \(c\) and \(d\).
The equation of a curve is \(y = 2 \cos x\).
(i) Sketch the graph of \(y = 2 \cos x\) for \(-\pi \leq x \leq \pi\), stating the coordinates of the point of intersection with the \(y\)-axis.
Points \(P\) and \(Q\) lie on the curve and have \(x\)-coordinates of \(\frac{\pi}{3}\) and \(\pi\) respectively.
(ii) Find the length of \(PQ\) correct to 1 decimal place.
The line through \(P\) and \(Q\) meets the \(x\)-axis at \(H (h, 0)\) and the \(y\)-axis at \(K (0, k)\).
(iii) Show that \(h = \frac{5}{9} \pi\) and find the value of \(k\).
The diagram shows the graphs of \(y = \tan x\) and \(y = \cos x\) for \(0 \leq x \leq \pi\). The graphs intersect at points \(A\) and \(B\).
(i) Find by calculation the \(x\)-coordinate of \(A\).
(ii) Find by calculation the coordinates of \(B\).

(a) Solve the equation \(\sin^{-1}(3x) = -\frac{1}{3}\pi\), giving the solution in an exact form.
(b) Solve, by factorising, the equation \(2 \cos \theta \sin \theta - 2 \cos \theta - \sin \theta + 1 = 0\) for \(0 \leq \theta \leq \pi\).
The diagram shows part of the graph of \(y = a \, \cos x - b\), where \(a\) and \(b\) are constants. The graph crosses the \(x\)-axis at the point \(C(\cos^{-1} c, 0)\) and the \(y\)-axis at the point \(D(0, d)\). Find \(c\) and \(d\) in terms of \(a\) and \(b\).

Solve the equation \(\sin^{-1}(4x^4 + x^2) = \frac{1}{6}\pi\).
It is given that \(\alpha = \cos^{-1}\left(\frac{8}{17}\right)\).
Find, without using the trigonometric functions on your calculator, the exact value of \(\frac{1}{\sin \alpha} + \frac{1}{\tan \alpha}\).
A tourist attraction in a city centre is a big vertical wheel on which passengers can ride. The wheel turns in such a way that the height, \(h\), in meters, of a passenger above the ground is given by the formula \(h = 60(1 - \cos kt)\). In this formula, \(k\) is a constant, \(t\) is the time in minutes that has elapsed since the passenger started the ride at ground level and \(kt\) is measured in radians.
(i) Find the greatest height of the passenger above the ground.
One complete revolution of the wheel takes 30 minutes.
(ii) Show that \(k = \frac{1}{15}\pi\).
(iii) Find the time for which the passenger is above a height of 90 m.
Given that \(\theta\) is an obtuse angle measured in radians and that \(\sin \theta = k\), find, in terms of \(k\), an expression for
Find the value of x satisfying the equation \(\sin^{-1}(x - 1) = \arctan(3)\).
The reflex angle \(\theta\) is such that \(\cos \theta = k\), where \(0 < k < 1\).
(i) Find an expression, in terms of \(k\), for
(a) \(\sin \theta\),
(b) \(\tan \theta\).
(ii) Explain why \(\sin 2\theta\) is negative for \(0 < k < 1\).
(a) Find the possible values of x for which \(\sin^{-1}(x^2 - 1) = \frac{1}{3}\pi\), giving your answers correct to 3 decimal places.
(b) Solve the equation \(\sin(2\theta + \frac{1}{3}\pi) = \frac{1}{2}\) for \(0 \leq \theta \leq \pi\), giving \(\theta\) in terms of \(\pi\) in your answers.
Given that \(\cos x = p\), where \(x\) is an acute angle in degrees, find, in terms of \(p\),
It is given that \(a = \\sin \theta - 3 \\cos \theta\) and \(b = 3 \\sin \theta + \\cos \theta\), where \(0^\circ \leq \theta \leq 360^\circ\).
(i) Show that \(a^2 + b^2\) has a constant value for all values of \(\theta\).
(ii) Find the values of \(\theta\) for which \(2a = b\).
The functions f and g are defined for \(-\frac{1}{2}\pi \leq x \leq \frac{1}{2}\pi\) by
\(f(x) = \frac{1}{2}x + \frac{1}{6}\pi\),
\(g(x) = \cos x\).
Solve the following equations for \(-\frac{1}{2}\pi \leq x \leq \frac{1}{2}\pi\).
(i) Prove the identity \(\tan^2 \theta - \sin^2 \theta \equiv \tan^2 \theta \sin^2 \theta\).
(ii) Use this result to explain why \(\tan \theta > \sin \theta\) for \(0^\circ < \theta < 90^\circ\).
The function \(f : x \mapsto a + b \cos x\) is defined for \(0 \leq x \leq 2\pi\). Given that \(f(0) = 10\) and that \(f\left( \frac{2}{3}\pi \right) = 1\), find
(a) Express the equation \(3 \cos \theta = 8 \tan \theta\) as a quadratic equation in \(\sin \theta\).
(b) Hence find the acute angle, in degrees, for which \(3 \cos \theta = 8 \tan \theta\).
The function \(f\) is such that \(f(x) = 2 \sin^2 x - 3 \cos^2 x\) for \(0 \leq x \leq \pi\).
(i) Express \(f(x)\) in the form \(a + b \cos^2 x\), stating the values of \(a\) and \(b\).
(ii) State the greatest and least values of \(f(x)\).
(iii) Solve the equation \(f(x) + 1 = 0\).
The acute angle x radians is such that \(\tan x = k\), where \(k\) is a positive constant. Express, in terms of \(k\),
Given that \(x = \sin^{-1}\left(\frac{2}{5}\right)\), find the exact value of
(i) \(\cos^2 x\),
(ii) \(\tan^2 x\).
The function \(f : x \mapsto 5 \sin^2 x + 3 \cos^2 x\) is defined for the domain \(0 \leq x \leq \pi\).
(a) Solve the equation \(3 \tan^2 x - 5 \tan x - 2 = 0\) for \(0^\circ \leq x \leq 180^\circ\).
(b) Find the set of values of \(k\) for which the equation \(3 \tan^2 x - 5 \tan x + k = 0\) has no solutions.
(c) For the equation \(3 \tan^2 x - 5 \tan x + k = 0\), state the value of \(k\) for which there are three solutions in the interval \(0^\circ \leq x \leq 180^\circ\), and find these solutions.
The function \(f : x \mapsto 3 \cos^2 x - 2 \sin^2 x\) is defined for \(0 \leq x \leq \pi\).
(i) Express \(f(x)\) in the form \(a \cos^2 x + b\), where \(a\) and \(b\) are constants.
(ii) Find the range of \(f\).
The function \(f : x \mapsto p \sin^2 2x + q\) is defined for \(0 \leq x \leq \pi\), where \(p\) and \(q\) are positive constants. The diagram shows the graph of \(y = f(x)\).
(i) In terms of \(p\) and \(q\), state the range of \(f\).
(ii) State the number of solutions of the following equations.
(a) \(f(x) = p + q\)
(b) \(f(x) = q\)
(c) \(f(x) = \frac{1}{2}p + q\)
(iii) For the case where \(p = 3\) and \(q = 2\), solve the equation \(f(x) = 4\), showing all necessary working.

The equation of a curve is \(y = 3 \cos 2x\) and the equation of a line is \(2y + \frac{3x}{\pi} = 5\).
(i) State the smallest and largest values of \(y\) for both the curve and the line for \(0 \leq x \leq 2\pi\).
(ii) Sketch, on the same diagram, the graphs of \(y = 3 \cos 2x\) and \(2y + \frac{3x}{\pi} = 5\) for \(0 \leq x \leq 2\pi\).
(iii) State the number of solutions of the equation \(6 \cos 2x = 5 - \frac{3x}{\pi}\) for \(0 \leq x \leq 2\pi\).
Angle x is such that \(\sin x = a + b\) and \(\cos x = a - b\), where a and b are constants.
(i) Show that \(a^2 + b^2\) has a constant value for all values of x.
(ii) In the case where \(\tan x = 2\), express a in terms of b.
The diagram shows part of the graph of \(y = a + \tan bx\), where \(x\) is measured in radians and \(a\) and \(b\) are constants. The curve intersects the \(x\)-axis at \(\left(-\frac{1}{6}\pi, 0\right)\) and the \(y\)-axis at \((0, \sqrt{3})\). Find the values of \(a\) and \(b\).

Find the exact value of \(\int_{0}^{6} \frac{x(x+1)}{x^2+4} \, dx\).
(i) Using the expansions of \(\cos(3x + x)\) and \(\cos(3x - x)\), show that \(\frac{1}{2}(\cos 4x + \cos 2x) = \cos 3x \cos x\).
(ii) Hence show that \(\int_{-\frac{1}{6}\pi}^{\frac{1}{6}\pi} \cos 3x \cos x \, dx = \frac{3}{8}\sqrt{3}\).
It is given that \(x = \ln(1-y) - \ln y\), where \(0 < y < 1\).
(i) Show that \(y = \frac{e^{-x}}{1 + e^{-x}}\).
(ii) Hence show that \(\int_0^1 y \, dx = \ln \left( \frac{2e}{e+1} \right)\).
(i) Prove the identity \(\tan 2\theta - \tan \theta \equiv \tan \theta \sec 2\theta\).
(ii) Hence show that \(\int_{0}^{\frac{1}{6}\pi} \tan \theta \sec 2\theta \, d\theta = \frac{1}{2} \ln \frac{3}{2}\).
(a) Find \(\int (4 + \tan^2 2x) \, dx\).
(b) Find the exact value of \(\int_{\frac{1}{4}\pi}^{\frac{1}{2}\pi} \frac{\sin(x + \frac{1}{6}\pi)}{\sin x} \, dx\).
(i) Prove that \(\cot \theta + \tan \theta \equiv 2 \csc 2\theta\).
(ii) Hence show that \(\int_{\frac{1}{6}\pi}^{\frac{1}{3}\pi} \csc 2\theta \, d\theta = \frac{1}{2} \ln 3\).
(i) Prove the identity \(\cos 4\theta + 4 \cos 2\theta \equiv 8 \cos^4 \theta - 3\).
(ii) Hence
(a) solve the equation \(\cos 4\theta + 4 \cos 2\theta = 1\) for \(-\frac{1}{2}\pi \leq \theta \leq \frac{1}{2}\pi\),
(b) find the exact value of \(\int_0^{\frac{1}{4}\pi} \cos^4 \theta \, d\theta\).
It is given that \(f(x) = 4 \cos^2 3x\).
(i) Find the exact value of \(f'(\frac{1}{9}\pi)\).
(ii) Find \(\int f(x) \, dx\).
(i) Prove the identity \(\cos 3\theta \equiv 4 \cos^3 \theta - 3 \cos \theta\).
(ii) Using this result, find the exact value of \(\int_{\frac{1}{3}\pi}^{\frac{1}{2}\pi} \cos^3 \theta \, d\theta\).
(i) Using the expansions of \(\cos(3x-x)\) and \(\cos(3x+x)\), prove that \(\frac{1}{2}(\cos 2x - \cos 4x) \equiv \sin 3x \sin x\).
(ii) Hence show that \(\int_{\frac{1}{6}\pi}^{\frac{1}{3}\pi} \sin 3x \sin x \, dx = \frac{1}{8}\sqrt{3}\).
(i) Prove the identity \(\cos 4\theta - 4 \cos 2\theta + 3 \equiv 8 \sin^4 \theta\).
(ii) Using this result find, in simplified form, the exact value of \(\int_{\frac{1}{6}\pi}^{\frac{1}{3}\pi} \sin^4 \theta \, d\theta\).
(a) Using the expansions of \(\sin(3x + 2x)\) and \(\sin(3x - 2x)\), show that \(\frac{1}{2}(\sin 5x + \sin x) \equiv \sin 3x \cos 2x\).
(b) Hence show that \(\int_0^{\frac{1}{4}\pi} \sin 3x \cos 2x \, dx = \frac{1}{5}(3 - \sqrt{2})\).
(i) Prove the identity \(\sin^2 \theta \cos^2 \theta \equiv \frac{1}{8}(1 - \cos 4\theta)\).
(ii) Hence find the exact value of \(\int_{0}^{\frac{1}{3}\pi} \sin^2 \theta \cos^2 \theta \, d\theta\).
(i) Prove the identity \(\cot x - \cot 2x \equiv \csc 2x\).
(ii) Show that \(\int_{\frac{1}{6}\pi}^{\frac{1}{4}\pi} \cot x \, dx = \frac{1}{2} \ln 2\).
(iii) Find the exact value of \(\int_{\frac{1}{6}\pi}^{\frac{1}{4}\pi} \csc 2x \, dx\), giving your answer in the form \(a \ln b\).
(a) Prove that \(\csc 2\theta - \cot 2\theta \equiv \tan \theta\).
(b) Hence show that \(\int_{\frac{1}{4}\pi}^{\frac{3}{4}\pi} (\csc 2\theta - \cot 2\theta) \, d\theta = \frac{1}{2} \ln 2\).
(a) Prove that \(\frac{1 - \cos 2\theta}{1 + \cos 2\theta} \equiv \tan^2 \theta\).
(b) Hence find the exact value of \(\int_{\frac{1}{6}\pi}^{\frac{1}{3}\pi} \frac{1 - \cos 2\theta}{1 + \cos 2\theta} \, d\theta\).
Let \(f(x) = \frac{\cos x}{1 + \sin x}\).
(a) Show that \(f'(x) < 0\) for all \(x\) in the interval \(-\frac{1}{2}\pi < x < \frac{3}{2}\pi\).
(b) Find \(\int_{\frac{1}{6}\pi}^{\frac{1}{2}\pi} f(x) \, dx\). Give your answer in a simplified exact form.
Let \(f(\theta) = \frac{1 - \cos 2\theta + \sin 2\theta}{1 + \cos 2\theta + \sin 2\theta}\).
(i) Show that \(f(\theta) = \tan \theta\).
(ii) Hence show that \(\int_{\frac{\pi}{6}}^{\frac{\pi}{4}} f(\theta) \, d\theta = \frac{1}{2} \ln \frac{3}{2}\).
(i) By first expanding \(\sin(2x + x)\), show that \(\sin 3x \equiv 3 \sin x - 4 \sin^3 x\).
(ii) Hence, showing all necessary working, find the exact value of \(\int_0^{\frac{1}{3}\pi} \sin^3 x \, dx\).
A curve has equation \(y = \frac{3 \cos x}{2 + \sin x}\), for \(-\frac{1}{2}\pi \leq x \leq \frac{1}{2}\pi\).
(i) Find the exact coordinates of the stationary point of the curve.
(ii) The constant \(a\) is such that \(\int_0^a \frac{3 \cos x}{2 + \sin x} \, dx = 1\). Find the value of \(a\), giving your answer correct to 3 significant figures.
(i) Show that \(\frac{2 \sin x - \sin 2x}{1 - \cos 2x} \equiv \frac{\sin x}{1 + \cos x}\).
(ii) Hence, showing all necessary working, find \(\int_{\frac{1}{3}\pi}^{\frac{1}{2}\pi} \frac{2 \sin x - \sin 2x}{1 - \cos 2x} \, dx\), giving your answer in the form \(\ln k\).
Let \(I = \int_0^3 \frac{27}{(9 + x^2)^2} \, dx\).
(a) Using the substitution \(x = 3 \tan \theta\), show that \(I = \int_0^{\frac{\pi}{4}} \cos^2 \theta \, d\theta\).
(b) Hence find the exact value of \(I\).
Use the substitution \(u = 1 + 3 \tan x\) to find the exact value of
\(\int_{0}^{\frac{\pi}{4}} \frac{\sqrt{1 + 3 \tan x}}{\cos^2 x} \, dx.\)
Use the substitution \(u = 3x + 1\) to find \(\int \frac{3x}{3x+1} \, dx\).
Using the substitution \(x = (\sqrt{3}) \tan \theta\), find the exact value of
\(\int_{1}^{3} \frac{1}{\sqrt{3 + x^2}} \, dx,\)
expressing your answer as a single logarithm.
Use the substitution \(u = \\sin 4x\) to find the exact value of \(\int_{0}^{\frac{1}{24}\pi} \cos^3 4x \, dx\).
Let \(I = \int_0^1 \frac{x^2}{\sqrt{(4-x^2)}} \, dx\).
(i) Using the substitution \(x = 2 \sin \theta\), show that \(I = \int_0^{\frac{\pi}{6}} 4 \sin^2 \theta \, d\theta\).
(ii) Hence find the exact value of \(I\).
(i) Use the substitution \(x = 2 \tan \theta\) to show that
\(\int_0^2 \frac{8}{(4+x^2)^2} \, dx = \int_0^{\frac{\pi}{4}} \cos^2 \theta \, d\theta.\)
(ii) Hence find the exact value of
\(\int_0^2 \frac{8}{(4+x^2)^2} \, dx.\)
Let \(I = \int_1^4 \frac{1}{x(4 - \sqrt{x})} \, dx\).
Use the substitution \(u = \sqrt{x}\) to show that \(I = \int_1^2 \frac{2}{u(4-u)} \, du\).
(i) Use the substitution \(x = \sin^2 \theta\) to show that \(\int \sqrt{\left( \frac{x}{1-x} \right)} \, dx = \int 2 \sin^2 \theta \, d\theta\).
(ii) Hence find the exact value of \(\int_0^{\frac{1}{4}} \sqrt{\left( \frac{x}{1-x} \right)} \, dx\).
(i) Use the substitution \(x = \tan \theta\) to show that
\(\int \frac{1-x^2}{(1+x^2)^2} \, dx = \int \cos 2\theta \, d\theta.\)
(ii) Hence find the value of
\(\int_0^1 \frac{1-x^2}{(1+x^2)^2} \, dx.\)
Let \(f(x) = \frac{1}{(9-x)\sqrt{x}}\).
(a) Find the \(x\)-coordinate of the stationary point of the curve with equation \(y = f(x)\).
(b) Using the substitution \(u = \sqrt{x}\), show that \(\int_0^4 f(x) \, dx = \frac{1}{3} \ln 5\).
Using the substitution \(u = \sqrt{x}\), find the exact value of \(\int_{3}^{\infty} \frac{1}{(x+1)\sqrt{x}} \, dx\).
Let \(I = \int_{\frac{1}{4}}^{\frac{3}{4}} \sqrt{\left( \frac{x}{1-x} \right)} \, dx\).
(i) Using the substitution \(x = \cos^2 \theta\), show that \(I = \int_{\frac{1}{6}\pi}^{\frac{1}{3}\pi} 2 \cos^2 \theta \, d\theta\).
(ii) Hence find the exact value of \(I\).
Let \(I = \int_{1}^{4} \frac{(\sqrt{x}) - 1}{2(x + \sqrt{x})} \, dx\).
Using the substitution \(u = \sqrt{x}\), show that \(I = \int_{1}^{2} \frac{u - 1}{u + 1} \, du\).
Let \(I = \int_0^1 \frac{x^5}{(1+x^2)^3} \, dx\).
(i) Using the substitution \(u = 1 + x^2\), show that \(I = \int_1^2 \frac{(u-1)^2}{2u^3} \, du\).
(ii) Hence find the exact value of \(I\).
Let \(I = \int_0^1 \frac{9}{(3 + x^2)^2} \, dx\).
(i) Using the substitution \(x = (\sqrt{3}) \tan \theta\), show that \(I = \sqrt{3} \int_0^{\frac{\pi}{6}} \cos^2 \theta \, d\theta\).
(ii) Hence find the exact value of \(I\).
Use the substitution \(u = 4 - 3 \cos x\) to find the exact value of \(\int_{0}^{\frac{1}{2}\pi} \frac{9 \sin 2x}{\sqrt{(4 - 3 \cos x)}} \, dx.\)
Let \(I = \int_0^1 \frac{\sqrt{x}}{2 - \sqrt{x}} \, dx\).
(i) Using the substitution \(u = 2 - \sqrt{x}\), show that \(I = \int_1^2 \frac{2(2-u)^2}{u} \, du\).
(ii) Hence show that \(I = 8 \ln 2 - 5\).
Find the exact value of \(\int_{0}^{\frac{1}{4}\pi} x \sec^2 x \, dx\).
Show that \(\int_0^{\frac{1}{4}\pi} x^2 \cos 2x \, dx = \frac{1}{32}(\pi^2 - 8)\).
Show that \(\int_{1}^{4} x^{-\frac{3}{2}} \ln x \, dx = 2 - \ln 4\).
(i) Find \(\int \frac{\ln x}{x^3} \, dx\).
(ii) Hence show that \(\int_1^2 \frac{\ln x}{x^3} \, dx = \frac{1}{16}(3 - \ln 4)\).
Showing all necessary working, find the value of \(\int_{0}^{\frac{1}{6}\pi} x \cos 3x \, dx\), giving your answer in terms of \(\pi\).
Find the exact value of \(\int_{0}^{\frac{1}{2}\pi} \theta \sin \frac{1}{2} \theta \, d\theta\).
Find the exact value of \(\int_{0}^{\frac{1}{2}\pi} x^2 \sin 2x \, dx\).
Find the exact value of \(\int_{0}^{\frac{1}{2}} xe^{-2x} \, dx\).
Find the exact value of \(\int_{1}^{4} \frac{\ln x}{\sqrt{x}} \, dx\).
Show that \(\int_{2}^{4} 4x \ln x \, dx = 56 \ln 2 - 12\).
The expression \(f(x)\) is defined by \(f(x) = 3x e^{-2x}\).
(i) Find the exact value of \(f'\left(-\frac{1}{2}\right)\).
(ii) Find the exact value of \(\int_{-\frac{1}{2}}^{0} f(x) \, dx\).
Find the exact value of \(\int_{\frac{1}{3}\pi}^{\pi} x \sin \frac{1}{2}x \, dx\).
Show that \(\int_{0}^{1} (1-x)e^{-\frac{1}{2}x} \, dx = 4e^{-\frac{1}{2}} - 2\).
Show that \(\int_{0}^{\pi} x^2 \sin x \, dx = \pi^2 - 4\).
Use integration by parts to show that
\(\int_{2}^{4} \ln x \, dx = 6 \ln 2 - 2.\)
Find the exact value of \(\int_{0}^{1} xe^{2x} \, dx\).
Find the exact value of \(\int_{1}^{2} x \ln x \, dx\).
By using integration by parts, show that for all \(a > 1\), \(\int_{1}^{a} \frac{\ln x}{x^4} \, dx < \frac{1}{9}\).
Using integration by parts, find the exact value of \(\int_0^2 \arctan\left(\frac{1}{2}x\right) \, dx\).
The equation of a curve is \(y = x^{-\frac{2}{3}} \ln x\) for \(x > 0\).
Show that \(\int_{1}^{8} y \, dx = 18 \ln 2 - 9\).
Find the exact value of \(\int_{0}^{1} (2-x)e^{-2x} \, dx\).
Find the exact value of
\(\int_{1}^{4} x^{\frac{3}{2}} \ln x \, dx.\)
Find \(\int_{\frac{\pi}{6}}^{\frac{\pi}{3}} x \sec^2 x \, dx\). Give your answer in a simplified exact form.
(i) By differentiating \(\frac{\cos x}{\sin x}\), show that if \(y = \cot x\) then \(\frac{dy}{dx} = -\csc^2 x\).
(ii) Show that \(\int_{\frac{1}{4}\pi}^{\frac{1}{2}\pi} x \csc^2 x \, dx = \frac{1}{4}(\pi + \ln 4)\).
The diagram shows the curve \(y = x \cos 2x\), for \(x \geq 0\).
(a) Find the equation of the tangent to the curve at the point where \(x = \frac{1}{2} \pi\).
(b) Find the exact area of the shaded region shown in the diagram, bounded by the curve and the \(x\)-axis.

The diagram shows the curve \(y = x^2 e^{2-x}\) and its maximum point \(M\).
(i) Show that the \(x\)-coordinate of \(M\) is 2.
(ii) Find the exact value of \(\int_0^2 x^2 e^{2-x} \, dx\).

The diagram shows the curve \(y = x \cos \frac{1}{2}x\) for \(0 \leq x \leq \pi\).
(i) Find \(\frac{dy}{dx}\) and show that \(4 \frac{d^2y}{dx^2} + y + 4 \sin \frac{1}{2}x = 0\).
(ii) Find the exact value of the area of the region enclosed by this part of the curve and the x-axis.

The diagram shows the curve \(y = x^2 \ln x\) and its minimum point \(M\).
(i) Find the exact values of the coordinates of \(M\).
(ii) Find the exact value of the area of the shaded region bounded by the curve, the \(x\)-axis and the line \(x = e\).

The diagram shows the curve \(y = x^2 e^{-x}\).
(i) Show that the area of the shaded region bounded by the curve, the \(x\)-axis and the line \(x = 3\) is equal to \(2 - \frac{17}{e^3}\).
(ii) Find the \(x\)-coordinate of the maximum point \(M\) on the curve.
(iii) Find the \(x\)-coordinate of the point \(P\) at which the tangent to the curve passes through the origin.

The diagram shows the curve \(y = x^3 \ln x\) and its minimum point \(M\).
(i) Find the exact coordinates of \(M\).
(ii) Find the exact area of the shaded region bounded by the curve, the \(x\)-axis and the line \(x = 2\).

The diagram shows the curve \(y = \frac{\ln x}{\sqrt{x}}\) and its maximum point \(M\). The curve cuts the \(x\)-axis at the point \(A\).
(i) State the coordinates of \(A\).
(ii) Find the exact value of the \(x\)-coordinate of \(M\).
(iii) Using integration by parts, show that the area of the shaded region bounded by the curve, the \(x\)-axis and the line \(x = 4\) is equal to \(8 \ln 2 - 4\).

The diagram shows a sketch of the curve \(y = x^{\frac{1}{2}} \ln x\) and its minimum point \(M\). The curve cuts the \(x\)-axis at the point \((1, 0)\).
(i) Find the exact value of the \(x\)-coordinate of \(M\).
(ii) Use integration by parts to find the area of the shaded region enclosed by the curve, the \(x\)-axis and the line \(x = 4\). Give your answer correct to 2 decimal places.

The diagram shows the curve \(y = x^2 e^{-\frac{1}{2}x}\).
(i) Find the \(x\)-coordinate of \(M\), the maximum point of the curve.
(ii) Find the area of the shaded region enclosed by the curve, the \(x\)-axis and the line \(x = 1\), giving your answer in terms of \(e\).

The diagram shows the curve \(y = \frac{\ln x}{x^2}\) and its maximum point \(M\). The curve cuts the \(x\)-axis at \(A\).
(i) Write down the \(x\)-coordinate of \(A\).
(ii) Find the exact coordinates of \(M\).
(iii) Use integration by parts to find the exact area of the shaded region enclosed by the curve, the \(x\)-axis and the line \(x = e\).

The diagram shows the curve \(y = (3 - x)e^{-2x}\) and its minimum point \(M\). The curve intersects the x-axis at \(A\) and the y-axis at \(B\).
(i) Calculate the x-coordinate of \(M\).
(ii) Find the area of the region bounded by \(OA, OB\) and the curve, giving your answer in terms of \(e\).

The diagram shows the curve \(y = \\sin x \\cos 2x\), for \(0 \leq x \leq \\pi\), and a maximum point \(M\), where \(x = a\). The shaded region between the curve and the \(x\)-axis is denoted by \(R\).
(a) Find the value of \(a\) correct to 2 decimal places.
(b) Find the exact area of the region \(R\), giving your answer in simplified form.

The diagram shows the curve \(y = x^3 \ln x\), for \(x > 0\), and its minimum point \(M\).
(a) Find the exact coordinates of \(M\).
(b) Find the exact area of the shaded region bounded by the curve, the \(x\)-axis and the line \(x = \frac{1}{2}\).

The diagram shows part of the curve \(y = (3-x)e^{-\frac{1}{3}x}\) for \(x \geq 0\), and its minimum point \(M\).
(a) Find the exact coordinates of \(M\).
(b) Find the area of the shaded region bounded by the curve and the axes, giving your answer in terms of \(e\).

The diagram shows the curve \(y = (2-x)e^{-\frac{1}{2}x}\), and its minimum point \(M\).
(a) Find the exact coordinates of \(M\).
(b) Find the area of the shaded region bounded by the curve and the axes. Give your answer in terms of \(e\).

The diagram shows the curve \(y = (x + 1) e^{-\frac{1}{3}x}\) and its maximum point \(M\).
(i) Find the \(x\)-coordinate of \(M\).
(ii) Find the area of the shaded region enclosed by the curve and the axes, giving your answer in terms of \(e\).

The diagram shows the curve \(y = (1 + x^2) e^{-\frac{1}{2}x}\) for \(x \geq 0\). The shaded region \(R\) is enclosed by the curve, the \(x\)-axis and the lines \(x = 0\) and \(x = 2\).
(i) Find the exact values of the \(x\)-coordinates of the stationary points of the curve.
(ii) Show that the exact value of the area of \(R\) is \(18 - \frac{42}{e}\).

The diagram shows the curve \(y = (\ln x)^2\). The x-coordinate of the point \(P\) is equal to \(e\), and the normal to the curve at \(P\) meets the x-axis at \(Q\).
(i) Find the x-coordinate of \(Q\).
(ii) Show that \(\int \ln x \, dx = x \ln x - x + c\), where \(c\) is a constant.
(iii) Using integration by parts, or otherwise, find the exact value of the area of the shaded region between the curve, the x-axis and the normal \(PQ\).

The diagram shows part of the curve \(y = (2x - x^2)e^{\frac{1}{2}x}\) and its maximum point \(M\).
(i) Find the exact \(x\)-coordinate of \(M\).
(ii) Find the exact value of the area of the shaded region bounded by the curve and the positive \(x\)-axis.

(a) Use the substitution \(u = \, \cos x\) to show that \(\int_{0}^{\pi} \sin 2x \, e^{2 \cos x} \, dx = \int_{-1}^{1} 2u e^{2u} \, du\).
(b) Hence find the exact value of \(\int_{0}^{\pi} \sin 2x \, e^{2 \cos x} \, dx\).
The diagram shows the curve \(y = \\sin 2x \\cos^2 x\) for \(0 \leq x \leq \frac{1}{2}\pi\), and its maximum point \(M\).
(a) Using the substitution \(u = \\sin x\), find the exact area of the region bounded by the curve and the \(x\)-axis.
(b) Find the exact \(x\)-coordinate of \(M\).

The diagram shows the graph of \(y = e^{\cos x} \sin^3 x\) for \(0 \leq x \leq \pi\), and its maximum point \(M\). The shaded region \(R\) is bounded by the curve and the \(x\)-axis.

The integral \(I\) is defined by \(I = \int_0^2 4t^3 \ln(t^2 + 1) \, dt\).
(i) Use the substitution \(x = t^2 + 1\) to show that \(I = \int_1^5 (2x - 2) \ln x \, dx\).
(ii) Hence find the exact value of \(I\).
The function \(f\) is defined by \(f(x) = (\ln x)^2\) for \(x > 0\). The diagram shows a sketch of the graph of \(y = f(x)\). The minimum point of the graph is \(A\). The point \(B\) has \(x\)-coordinate \(e\).
(i) State the \(x\)-coordinate of \(A\).
(ii) Show that \(f''(x) = 0\) at \(B\).
(iii) Use the substitution \(x = e^u\) to show that the area of the region bounded by the \(x\)-axis, the line \(x = e\), and the part of the curve between \(A\) and \(B\) is given by \(\int_0^1 u^2 e^u \, du\).
(iv) Hence, or otherwise, find the exact value of this area.

The diagram shows the curve \(y = \sin 3x \cos x\) for \(0 \leq x \leq \frac{1}{2}\pi\) and its minimum point \(M\). The shaded region \(R\) is bounded by the curve and the \(x\)-axis.
(i) By expanding \(\sin(3x + x)\) and \(\sin(3x - x)\) show that \(\sin 3x \cos x = \frac{1}{2}(\sin 4x + \sin 2x)\).
(ii) Using the result of part (i) and showing all necessary working, find the exact area of the region \(R\).
(iii) Using the result of part (i), express \(\frac{dy}{dx}\) in terms of \(\cos 2x\) and hence find the \(x\)-coordinate of \(M\), giving your answer correct to 2 decimal places.

The diagram shows the curve \(y = \frac{x^2}{1 + x^3}\) for \(x \geq 0\), and its maximum point \(M\). The shaded region \(R\) is enclosed by the curve, the \(x\)-axis and the lines \(x = 1\) and \(x = p\).
(i) Find the exact value of the \(x\)-coordinate of \(M\).
(ii) Calculate the value of \(p\) for which the area of \(R\) is equal to 1. Give your answer correct to 3 significant figures.

The diagram shows the curve
\(y = 8 \sin \frac{1}{2}x - \tan \frac{1}{2}x\)
for \(0 \leq x < \pi\). The \(x\)-coordinate of the maximum point is \(\alpha\) and the shaded region is enclosed by the curve and the lines \(x = \alpha\) and \(y = 0\).
(i) Show that \(\alpha = \frac{2}{3}\pi\).
(ii) Find the exact value of the area of the shaded region.

The diagram shows the curve \(y = e^{-x} - e^{-2x}\) and its maximum point \(M\). The \(x\)-coordinate of \(M\) is denoted by \(p\).
(i) Find the exact value of \(p\).
(ii) Show that the area of the shaded region bounded by the curve, the \(x\)-axis and the line \(x = p\) is equal to \(\frac{1}{8}\).

The diagram shows part of the curve \(y = \frac{x}{x^2 + 1}\) and its maximum point \(M\). The shaded region \(R\) is bounded by the curve and by the lines \(y = 0\) and \(x = p\).

The diagram shows the curve \(y = xe^{-\frac{1}{4}x^2}\), for \(x \geq 0\), and its maximum point \(M\).
(a) Find the exact coordinates of \(M\).
(b) Using the substitution \(x = \sqrt{u}\), or otherwise, find by integration the exact area of the shaded region bounded by the curve, the \(x\)-axis and the line \(x = 3\).

The diagram shows the curve \(y = \\sin^2 2x \\cos x\) for \(0 \leq x \leq \frac{1}{2} \pi\), and its maximum point \(M\).
(i) Find the \(x\)-coordinate of \(M\).
(ii) Using the substitution \(u = \\sin x\), find by integration the area of the shaded region bounded by the curve and the \(x\)-axis.

The diagram shows the curve \(y = 5 \sin^3 x \cos^2 x\) for \(0 \leq x \leq \frac{1}{2} \pi\), and its maximum point \(M\).
(i) Find the \(x\)-coordinate of \(M\).
(ii) Using the substitution \(u = \cos x\), find by integration the area of the shaded region bounded by the curve and the \(x\)-axis.

The diagram shows the curve \(y = x^2 \sqrt{1-x^2}\) for \(x \geq 0\) and its maximum point \(M\).
(i) Find the exact value of the \(x\)-coordinate of \(M\).
(ii) Show, by means of the substitution \(x = \sin \theta\), that the area \(A\) of the shaded region between the curve and the \(x\)-axis is given by
\(A = \frac{1}{4} \int_0^{\frac{\pi}{2}} \sin^2 2\theta \ d\theta.\)
(iii) Hence obtain the exact value of \(A\).

The diagram shows the curve \(y = (x + 5) \sqrt{3 - 2x}\) and its maximum point \(M\).
(a) Find the exact coordinates of \(M\).
(b) Using the substitution \(u = 3 - 2x\), find by integration the area of the shaded region bounded by the curve and the \(x\)-axis. Give your answer in the form \(a \sqrt{13}\), where \(a\) is a rational number.

The diagram shows part of the curve \(y = \\sin \\sqrt{x}\). This part of the curve intersects the x-axis at the point where \(x = a\).
(a) State the exact value of \(a\).
(b) Using the substitution \(u = \\sqrt{x}\), find the exact area of the shaded region in the first quadrant bounded by this part of the curve and the x-axis.

The diagram shows the curve \(y = \sin x \cos 2x\) for \(0 \leq x \leq \frac{1}{2}\pi\), and its maximum point \(M\).
(a) Find the \(x\)-coordinate of \(M\), giving your answer correct to 3 significant figures.
(b) Using the substitution \(u = \cos x\), find the area of the shaded region enclosed by the curve and the \(x\)-axis in the first quadrant, giving your answer in a simplified exact form.

The diagram shows the curve \(y = \frac{x}{1 + 3x^4}\), for \(x \geq 0\), and its maximum point \(M\).
(a) Find the \(x\)-coordinate of \(M\), giving your answer correct to 3 decimal places.
(b) Using the substitution \(u = \sqrt{3}x^2\), find by integration the exact area of the shaded region bounded by the curve, the \(x\)-axis and the line \(x = 1\).

The diagram shows the curve \(y = \\sin^3 x \\sqrt{\\cos x}\) for \(0 \leq x \leq \frac{1}{2} \pi\), and its maximum point \(M\).
(i) Using the substitution \(u = \\cos x\), find by integration the exact area of the shaded region bounded by the curve and the \(x\)-axis.
(ii) Showing all your working, find the \(x\)-coordinate of \(M\), giving your answer correct to 3 decimal places.

The diagram shows the curve \(y = 5 \sin^2 x \cos^3 x\) for \(0 \leq x \leq \frac{1}{2} \pi\), and its maximum point \(M\). The shaded region \(R\) is bounded by the curve and the \(x\)-axis.
(i) Find the \(x\)-coordinate of \(M\), giving your answer correct to 3 decimal places.
(ii) Using the substitution \(u = \sin x\) and showing all necessary working, find the exact area of \(R\).

The diagram shows the curve \(y = \\sin x \\cos^2 2x\) for \(0 \leq x \leq \frac{1}{4} \pi\) and its maximum point \(M\).
(i) Using the substitution \(u = \\cos x\), find by integration the exact area of the shaded region bounded by the curve and the \(x\)-axis.
(ii) Find the \(x\)-coordinate of \(M\). Give your answer correct to 2 decimal places.

The diagram shows the curve \(y = e^{2\sin x} \cos x\) for \(0 \leq x \leq \frac{1}{2}\pi\), and its maximum point \(M\).
(i) Using the substitution \(u = \sin x\), find the exact value of the area of the shaded region bounded by the curve and the axes.
(ii) Find the \(x\)-coordinate of \(M\), giving your answer correct to 3 decimal places.

The diagram shows the curve \(y = x^{\frac{1}{2}} \ln x\). The shaded region between the curve, the x-axis and the line \(x = e\) is denoted by \(R\).
(i) Find the equation of the tangent to the curve at the point where \(x = 1\), giving your answer in the form \(y = mx + c\).
(ii) Find by integration the volume of the solid obtained when the region \(R\) is rotated completely about the x-axis. Give your answer in terms of \(\pi\) and \(e\).

The diagram shows the curve \(y = e^{-\frac{1}{2}x} \sqrt{1 + 2x}\) and its maximum point \(M\). The shaded region between the curve and the axes is denoted by \(R\).
(i) Find the \(x\)-coordinate of \(M\).
(ii) Find by integration the volume of the solid obtained when \(R\) is rotated completely about the \(x\)-axis. Give your answer in terms of \(\pi\) and \(e\).

(a) Find the quotient and remainder when \(8x^3 + 4x^2 + 2x + 7\) is divided by \(4x^2 + 1\).
(b) Hence find the exact value of \(\int_0^{\frac{1}{2}} \frac{8x^3 + 4x^2 + 2x + 7}{4x^2 + 1} \, dx\).
Find the exact value of the constant k for which \(\int_{1}^{k} \frac{1}{2x-1} \, dx = 1\).
(i) Express \(\cos \theta + (\sqrt{3}) \sin \theta\) in the form \(R \cos(\theta - \alpha)\), where \(R > 0\) and \(0 < \alpha < \frac{1}{2} \pi\), giving the exact values of \(R\) and \(\alpha\).
(ii) Hence show that \(\int_{0}^{\frac{1}{2}\pi} \frac{1}{(\cos \theta + (\sqrt{3}) \sin \theta)^2} \, d\theta = \frac{1}{\sqrt{3}}\).
(i) By first expanding \(\cos(2x + x)\), show that \(\cos 3x \equiv 4 \cos^3 x - 3 \cos x\).
(ii) Hence solve the equation \(\cos 3x + 3 \cos x + 1 = 0\), for \(0 \leq x \leq \pi\).
(iii) Find the exact value of \(\int_{\frac{1}{6}\pi}^{\frac{1}{3}\pi} \cos^3 x \, dx\).
(i) Express \(\cos \theta + 2 \sin \theta\) in the form \(R \cos(\theta - \alpha)\), where \(R > 0\) and \(0 < \alpha < \frac{1}{2}\pi\). Give the exact values of \(R\) and \(\tan \alpha\).
(ii) Hence, showing all necessary working, show that \(\int_0^{\frac{1}{4}\pi} \frac{15}{(\cos \theta + 2 \sin \theta)^2} \, d\theta = 5.\)
(i) Prove that if \(y = \frac{1}{\cos \theta}\) then \(\frac{dy}{d\theta} = \sec \theta \tan \theta\).
(ii) Prove the identity \(\frac{1 + \sin \theta}{1 - \sin \theta} \equiv 2 \sec^2 \theta + 2 \sec \theta \tan \theta - 1\).
(iii) Hence find the exact value of \(\int_{0}^{\frac{\pi}{4}} \frac{1 + \sin \theta}{1 - \sin \theta} \, d\theta\).
(i) Express \((\sqrt{3}) \cos x + \sin x\) in the form \(R \cos(x - \alpha)\), where \(R > 0\) and \(0 < \alpha < \frac{1}{2}\pi\), giving the exact values of \(R\) and \(\alpha\).
(ii) Hence show that
\(\int_{\frac{1}{6}\pi}^{\frac{1}{2}\pi} \frac{1}{((\sqrt{3}) \cos x + \sin x)^2} \, dx = \frac{1}{4}\sqrt{3}.\)
(i) Express \(4 \cos \theta + 3 \sin \theta\) in the form \(R \cos(\theta - \alpha)\), where \(R > 0\) and \(0 < \alpha < \frac{1}{2}\pi\). Give the value of \(\alpha\) correct to 4 decimal places.
(ii) Hence
(a) solve the equation \(4 \cos \theta + 3 \sin \theta = 2\) for \(0 < \theta < 2\pi\),
(b) find \(\int \frac{50}{(4 \cos \theta + 3 \sin \theta)^2} \, d\theta\).
The diagram shows part of the curve \(y = \\sin^3 2x \\cos^3 2x\). The shaded region shown is bounded by the curve and the \(x\)-axis and its exact area is denoted by \(A\).
(i) Use the substitution \(u = \\sin 2x\) in a suitable integral to find the value of \(A\). [6]
(ii) Given that \(\\int_0^{k\\pi} |\\sin^3 2x \\cos^3 2x| \, dx = 40A\), find the value of the constant \(k\). [2]

(i) By differentiating \(\frac{1}{\cos x}\), show that if \(y = \sec x\) then \(\frac{dy}{dx} = \sec x \tan x\).
(ii) Show that \(\frac{1}{\sec x - \tan x} \equiv \sec x + \tan x\).
(iii) Deduce that \(\frac{1}{(\sec x - \tan x)^2} \equiv 2 \sec^2 x - 1 + 2 \sec x \tan x\).
(iv) Hence show that \(\int_0^{\frac{1}{4}\pi} \frac{1}{(\sec x - \tan x)^2} \, dx = \frac{1}{4}(8\sqrt{2} - \pi)\).
(i) Use the substitution \(u = \tan x\) to show that, for \(n \neq -1\),
\(\int_0^{\frac{\pi}{4}} (\tan^{n+2} x + \tan^n x) \, dx = \frac{1}{n+1}.\)
(ii) Hence find the exact value of
(a) \(\int_0^{\frac{\pi}{4}} (\sec^4 x - \sec^2 x) \, dx,\)
(b) \(\int_0^{\frac{\pi}{4}} (\tan^9 x + 5 \tan^7 x + 5 \tan^5 x + \tan^3 x) \, dx.\)
Particles X and Y move in a straight line through points A and B. Particle X starts from rest at A and moves towards B. At the same instant, Y starts from rest at B.
At time t seconds after the particles start moving:
(a) It is given that the velocities of X and Y are equal when they collide. Calculate the distance AB.
\((b) It is given instead that AB = 36 m. Verify that X and Y collide after 3 s.\)
Two particles A and B start to move at the same instant from a point O. The particles move in the same direction along the same straight line. The acceleration of A at time t s after starting to move is a m/s2, where a = 0.05 - 0.0002t.
Particles P and Q move on a straight line AOB. The particles leave O simultaneously, with P moving towards A and with Q moving towards B. The initial speed of P is 1.3 m s-1 and its acceleration in the direction OA is 0.1 m s-2. Q moves with acceleration in the direction OB of 0.016t m s-2, where t seconds is the time elapsed since the instant that P and Q started to move from O. When t = 20, particle P passes through A and particle Q passes through B.
A and B are two points which are 10 m apart on the same horizontal plane. A particle P starts to move from rest at A, directly towards B, with constant acceleration 0.5 m s-2. Another particle Q is moving directly towards A with constant speed 0.75 m s-1, and passes through B at the instant that P starts to move. At time T s after this instant, particles P and Q collide. Find
Two cyclists P and Q travel along a straight road ABC, starting simultaneously at A and arriving simultaneously at C. Both cyclists pass through B 400 s after leaving A. Cyclist P starts with speed 3 m s-1 and increases this speed with constant acceleration 0.005 m s-2 until he reaches B.
(i) Show that the distance AB is 1600 m and find P's speed at B.
Cyclist Q travels from A to B with speed v m s-1 at time t seconds after leaving A, where
\(v = 0.04t - 0.0001t^2 + k,\)
and k is a constant.
(ii) Find the value of k and the maximum speed of Q before he has reached B.
Cyclist P travels from B to C, a distance of 1400 m, at the speed he had reached at B. Cyclist Q travels from B to C with constant acceleration a m s-2.
(iii) Find the time taken for the cyclists to travel from B to C and find the value of a.
Particle P travels along a straight line from A to B with constant acceleration 0.05 m s-2. Its speed at A is 2 m s-1 and its speed at B is 5 m s-1.
(i) Find the time taken for P to travel from A to B, and find also the distance AB.
Particle Q also travels along the same straight line from A to B, starting from rest at A. At time t s after leaving A, the speed of Q is kt3 m s-1, where k is a constant. Q takes the same time to travel from A to B as P does.
(ii) Find the value of k and find Q's speed at B.
A walker travels along a straight road passing through the points A and B on the road with speeds 0.9 m s-1 and 1.3 m s-1 respectively. The walker’s acceleration between A and B is constant and equal to 0.004 m s-2.
A cyclist leaves A at the same instant as the walker. She starts from rest and travels along the straight road, passing through B at the same instant as the walker. At time t s after leaving A the cyclist’s speed is kt3 m s-1, where k is a constant.
A particle P starts from a fixed point O at time t = 0, where t is in seconds, and moves with constant acceleration in a straight line. The initial velocity of P is 1.5 m s-1 and its velocity when t = 10 is 3.5 m s-1.
Another particle Q also starts from O when t = 0 and moves along the same straight line as P. The acceleration of Q at time t is 0.03t m s-2.
(i) A man walks in a straight line from A to B with constant acceleration 0.004 m s-2. His speed at A is 1.8 m s-1 and his speed at B is 2.2 m s-1. Find the time taken for the man to walk from A to B, and find the distance AB.
(ii) A woman cyclist leaves A at the same instant as the man. She starts from rest and travels in a straight line to B, reaching B at the same instant as the man. At time t s after leaving A the cyclist’s speed is k(200t − t2) m s-1, where k is a constant. Find
(iii) Sketch, using the same axes, the velocity-time graphs for the man’s motion and the woman’s motion from A to B.
A particle P starts from rest at the point A and travels in a straight line, coming to rest again after 10 s. The velocity-time graph for P consists of two straight line segments (see diagram). A particle Q starts from rest at A at the same instant as P and travels along the same straight line as P. The velocity of Q is given by \(v = 3t - 0.3t^2\) for \(0 \leq t \leq 10\). The displacements from A of P and Q are the same when \(t = 10\).

Particles P and Q start from points A and B respectively, at the same instant, and move towards each other in a horizontal straight line. The initial speeds of P and Q are 5 m s-1 and 3 m s-1 respectively. The accelerations of P and Q are constant and equal to 4 m s-2 and 2 m s-2 respectively (see diagram).

Two cyclists, Isabella and Maria, are having a race. They both travel along a straight road with constant acceleration, starting from rest at point A.
Isabella accelerates for 5 s at a constant rate \(a \text{ m s}^{-2}\). She then travels at the constant speed she has reached for 10 s, before decelerating to rest at a constant rate over a period of 5 s.
Maria accelerates at a constant rate, reaching a speed of 5 \(\text{ m s}^{-1}\) in a distance of 27.5 m. She then maintains this speed for a period of 10 s, before decelerating to rest at a constant rate over a period of 5 s.
(a) Given that \(a = 1.1\), find which cyclist travels further.
(b) Find the value of \(a\) for which the two cyclists travel the same distance.
A tractor A starts from rest and travels along a straight road for 500 seconds. The velocity-time graph for the journey is shown above. This graph consists of three straight line segments. Find
Another tractor B starts from rest at the same instant as A, and travels along the same road for 500 seconds. Its velocity t seconds after starting is \((0.06t - 0.00012t^2)\) m s-1. Find

A particle moves in a straight line, starting from rest at a point O, and comes to instantaneous rest at a point P. The velocity of the particle at time t s after leaving O is v m s-1, where
\(v = 0.6t^2 - 0.12t^3\).
On another occasion, the particle also moves in the same straight line. On this occasion, the displacement of the particle at time t s after leaving O is s m, where
\(s = kt^3 + ct^5\).
\(It is given that the particle passes point P with velocity 1.25 m s-1 at time t = 5.\)
Particles P and Q leave a fixed point A at the same time and travel in the same straight line. The velocity of P after t seconds is \(6t(t-3)\) m s-1 and the velocity of Q after t seconds is \((10 - 2t)\) m s-1.
A particle A moves in a straight line with constant speed 10 m s-1. Two seconds after A passes a point O on the line, a particle B passes through O, moving along the line in the same direction as A. Particle B has speed 16 m s-1 at O and has a constant deceleration of 2 m s-2.
(i) Find expressions, in terms of t, for the displacement from O of each particle t s after B passes through O.
(ii) Find the distance between the particles when B comes to instantaneous rest.
(iii) Find the minimum distance between the particles.
A particle P starts from a fixed point O and moves in a straight line. At time t s after leaving O, the velocity v m s-1 of P is given by v = 6t - 0.3t2. The particle comes to instantaneous rest at point X.
A second particle Q starts from rest from O, at the same instant as P, and also travels in a straight line. The acceleration a m s-2 of Q is given by a = k - 12t, where k is a constant. The displacement of Q from O is 400 m when t = 10.
Alan starts walking from a point O, at a constant speed of 4 m s-1, along a horizontal path. Ben walks along the same path, also starting from O. Ben starts from rest 5 s after Alan and accelerates at 1.2 m s-2 for 5 s. Ben then continues to walk at a constant speed until he is at the same point, P, as Alan.
(i) Find how far Ben has travelled when he has been walking for 5 s and find his speed at this instant.
(ii) Find the distance OP.
A cyclist starts from rest at point A and moves in a straight line with acceleration 0.5 m s-2 for a distance of 36 m. The cyclist then travels at constant speed for 25 s before slowing down, with constant deceleration, to come to rest at point B. The distance AB is 210 m.
(i) Find the total time that the cyclist takes to travel from A to B.
24 s after the cyclist leaves point A, a car starts from rest from point A, with constant acceleration 4 m s-2, towards B. It is given that the car overtakes the cyclist while the cyclist is moving with constant speed.
(ii) Find the time that it takes from when the cyclist starts until the car overtakes her.
A particle P starts from rest at a point O on a horizontal straight line. P moves along the line with constant acceleration and reaches a point A on the line with a speed of 30 m s-1. At the instant that P leaves O, a particle Q is projected vertically upwards from the point A with a speed of 20 m s-1. Subsequently P and Q collide at A. Find
A particle X travels in a straight line. The velocity of X at time t s after leaving a fixed point O is denoted by v m/s-1, where
\(v = -0.1t^3 + 1.8t^2 - 6t + 5.6\).
\(The acceleration of X is zero at t = p and t = q, where p < q.\)

A particle P moves in a straight line starting from a point O and comes to rest 35 s later. At time t s after leaving O, the velocity v m s−1 of P is given by
\(v = \frac{4}{5}t^2 \quad 0 \leq t \leq 5,\)
\(v = 2t + 10 \quad 5 \leq t \leq 15,\)
\(v = a + bt^2 \quad 15 \leq t \leq 35,\)
where a and b are constants such that a > 0 and b < 0.

A particle P moves in a straight line. The velocity v m s-1 at time t s is given by
\(v = 5t(t - 2)\) for \(0 \leq t \leq 4\),
\(v = k\) for \(4 \leq t \leq 14\),
\(v = 68 - 2t\) for \(14 \leq t \leq 20\),
where \(k\) is a constant.
A particle P moves on a straight line. It starts at a point O on the line and returns to O 100 s later. The velocity of P is v m s-1 at time t s after leaving O, where
\(v = 0.0001t^3 - 0.015t^2 + 0.5t\).
A particle starts from rest at a point O and moves in a horizontal straight line. The velocity of the particle is v ms-1 at time t s after leaving O. For 0 ≤ t < 60, the velocity is given by
\(v = 0.05t - 0.0005t^2\).
The particle hits a wall at the instant when t = 60, and reverses the direction of its motion. The particle subsequently comes to rest at the point A when t = 100, and for 60 < t ≤ 100 the velocity is given by
\(v = 0.025t - 2.5\).
A car driver makes a journey in a straight line from A to B, starting from rest. The speed of the car increases to a maximum, then decreases until the car is at rest at B. The distance travelled by the car t seconds after leaving A is 0.0000117(400t3 - 3t4) metres.
A particle P moves on the x-axis from the origin O with an initial velocity of \(-20 \text{ ms}^{-1}\). The acceleration \(a \text{ ms}^{-2}\) at time \(t\) s after leaving O is given by \(a = 12 - 2t\).
(a) Sketch a velocity-time graph for \(0 \leq t \leq 12\), indicating the times when P is at rest.
(b) Find the total distance travelled by P in the interval \(0 \leq t \leq 12\).
A particle P moves in a straight line starting from a point O and comes to rest 14 s later. At time t s after leaving O, the velocity v m s-1 of P is given by
\(v = pt^2 - qt \quad 0 \leq t \leq 6,\)
\(v = 63 - 4.5t \quad 6 \leq t \leq 14,\)
where p and q are positive constants.
\(The acceleration of P is zero when t = 2.\)
(a) Given that there are no instantaneous changes in velocity, find p and q.
(b) Sketch the velocity-time graph.
(c) Find the total distance travelled by P during the 14 s.

A particle moves in a straight line and passes through the point A at time \(t = 0\). The velocity of the particle at time \(t\) s after leaving A is \(v\) m s\(^{-1}\), where
\(v = 2t^2 - 5t + 3\).
A particle P moving in a straight line starts from rest at a point O and comes to rest 16 s later. At time t s after leaving O, the acceleration a m s-2 of P is given by
\(a = 6 + 4t \quad 0 \leq t < 2,\) \(a = 14 \quad 2 \leq t < 4,\) \(a = 16 - 2t \quad 4 \leq t \leq 16.\)
There is no sudden change in velocity at any instant.

A particle P moves in a straight line. The velocity v m s-1 at time t s is given by
\(v = 2t + 1\) for \(0 \leq t \leq 5\),
\(v = 36 - t^2\) for \(5 \leq t \leq 7\),
\(v = 2t - 27\) for \(7 \leq t \leq 13.5\).
(a) Sketch the velocity-time graph for \(0 \leq t \leq 13.5\).
(b) Find the acceleration at the instant when \(t = 6\).
(c) Find the total distance travelled by P in the interval \(0 \leq t \leq 13.5\).

A particle moves in a straight line starting from rest from a point O. The acceleration of the particle at time t s after leaving O is a m/s2, where
\(a = 5.4 - 1.62t\).
A particle P moves in a straight line starting from a point O. The velocity v m s-1 of P at time t s is given by
\(v = 12t - 4t^2\) for \(0 \leq t \leq 2\),
\(v = 16 - 4t\) for \(2 \leq t \leq 4\).

A particle P moves in a straight line. The velocity v m s-1 at time t s is given by
\(v = 4 + 0.2t\) for \(0 \leq t \leq 10\),
\(v = -2 + \frac{800}{t^2}\) for \(10 \leq t \leq 20\).
A particle moves in a straight line. At time \(t\) s, the acceleration, \(a \text{ ms}^{-2}\), of the particle is given by \(a = 36 - 6t\). The velocity of the particle is \(27 \text{ ms}^{-1}\) when \(t = 2\).
(a) Find the values of \(t\) when the particle is at instantaneous rest.
(b) Find the total distance the particle travels during the first 12 seconds.
A particle starts from a point O and moves in a straight line. The velocity v m s-1 of the particle at time t s after leaving O is given by
\(v = k(3t^2 - 2t^3)\),
where k is a constant.
Find k and hence find the total distance travelled in the first two seconds of motion.
A cyclist starts from rest at a fixed point O and moves in a straight line, before coming to rest k seconds later. The acceleration of the cyclist at time t seconds after leaving O is a m/s2, where a = 2t - \frac{3}{5}t^2 for 0 < t \leq k.
A particle P moves in a straight line, starting from rest at a point O on the line. At time t s after leaving O the acceleration of P is k(16 - t^2) m s-2, where k is a positive constant, and the displacement from O is s m. The velocity of P is 8 m s-1 when t = 4.
A cyclist starts from rest at a point A and travels along a straight road AB, coming to rest at B. The displacement of the cyclist from A at time t s after the start is s m, where
\(s = 0.004(75t^2 - t^3)\).
(a) Show that the distance AB is 250 m.
(b) Find the maximum velocity of the cyclist.
A particle moving in a straight line starts from rest at a point A and comes instantaneously to rest at a point B. The acceleration of the particle at time t s after leaving A is a m s-2, where
\(a = 6t^{\frac{1}{2}} - 2t\).
A particle moves in a straight line. It starts from rest from a fixed point O on the line. Its velocity at time t s after leaving O is v m s−1, where v = t2 − 8t3/2 + 10t.
\((a) Find the displacement of the particle from O when t = 1.\)
(b) Show that the minimum velocity of the particle is −125 m s−1.
A particle P moves in a straight line. It starts at a point O on the line and at time t s after leaving O it has velocity v m s-1, where v = 4t^2 - 20t + 21.
(a) Find the values of t for which P is at instantaneous rest.
(b) Find the initial acceleration of P.
(c) Find the minimum velocity of P.
(d) Find the distance travelled by P during the time when its velocity is negative.
A particle P moves in a straight line, starting from a point O with velocity 1.72 m s-1. The acceleration a m s-2 of the particle, t s after leaving O, is given by a = 0.1t3/2.
(a) Find the value of t when the velocity of P is 3 m s-1.
\((b) Find the displacement of P from O when t = 2, giving your answer correct to 2 decimal places.\)
A particle P moves in a straight line. It starts from rest at a point O on the line and at time t s after leaving O it has acceleration a m s-2, where a = 6t - 18.
Find the distance P moves before it comes to instantaneous rest.
A particle travels in a straight line PQ. The velocity of the particle t s after leaving P is v m s-1, where
\(v = 4.5 + 4t - 0.5t^2\).
A particle moves in a straight line starting from a point O before coming to instantaneous rest at a point X. At time t s after leaving O, the velocity v ms-1 of the particle is given by
\(v = 7.2t^2 \quad 0 \leq t \leq 2,\)
\(v = 30.6 - 0.9t \quad 2 \leq t \leq 8,\)
\(v = \frac{1600}{t^2} + kt \quad 8 \leq t,\)
where k is a constant. It is given that there is no instantaneous change in velocity at \(t = 8\).
Find the distance OX.
A particle moves in a straight line AB. The velocity \(v \text{ m s}^{-1}\) of the particle \(t\) s after leaving A is given by \(v = k(t^2 - 10t + 21)\), where \(k\) is a constant. The displacement of the particle from A, in the direction towards B, is 2.85 m when \(t = 3\) and is 2.4 m when \(t = 6\).
A particle moves in a straight line through the point O. The displacement of the particle from O at time t s is s m, where
\(s = t^2 - 3t + 2\) for \(0 \leq t \leq 6\),
\(s = \frac{24}{t} - \frac{t^2}{4} + 25\) for \(t \geq 6\).
Particle P travels in a straight line from A to B. The velocity of P at time t s after leaving A is denoted by v m s-1, where
\(v = 0.04t^3 + ct^2 + kt\).
P takes 5 s to travel from A to B and it reaches B with speed 10 m s-1. The distance AB is 25 m.
A particle moves in a straight line. The displacement of the particle at time t s is s m, where
\(s = t^3 - 6t^2 + 4t\).
Find the velocity of the particle at the instant when its acceleration is zero.
A particle P moves in a straight line. The acceleration \(a \text{ m s}^{-2}\) of P at time \(t\) s is given by \(a = 6t - 12\). The displacement of P from a fixed point O on the line is \(s\) m. It is given that \(s = 5\) when \(t = 1\) and \(s = 1\) when \(t = 3\).
A particle P moves in a straight line from a fixed point O. The velocity v m s-1 of P at time t s is given by
\(v = t^2 - 8t + 12\) for \(0 \leq t \leq 8\).
A particle moves in a straight line. It starts from rest at a fixed point O on the line. Its acceleration at time t s after leaving O is a m s-2, where a = 0.4t^3 - 4.8t^{1/2}.
A particle moves in a straight line. The particle is initially at rest at a point O on the line. At time t s after leaving O, the acceleration a m s-2 of the particle is given by a = 25 - t2 for 0 ≤ t ≤ 9.
\(The acceleration of the particle for t > 9 is given by a = -3t-1/2.\)
A particle moves in a straight line starting from a point O with initial velocity 1 m s-1. The acceleration of the particle at time t s after leaving O is a m s-2, where
\(a = 1.2t^{1/2} - 0.6t\).
A particle P moves in a straight line passing through a point O. At time t s, the acceleration, a m s-2, of P is given by a = 6 - 0.24t. The particle comes to instantaneous rest at time t = 20.
A particle starts from rest from a point O and moves in a straight line. The acceleration of the particle at time t after leaving O is a m s-2, where a = kt^{1/2} for 0 \leq t \leq 9 and where k is a constant. The velocity of the particle at t = 9 is 1.8 m s-1.
A particle P moves in a straight line starting from a point O. At time t s after leaving O, the displacement s m from O is given by \(s = t^3 - 4t^2 + 4t\) and the velocity is \(v\) m s-1.
A particle starts from a fixed origin with velocity 0.4 m s-1 and moves in a straight line. The acceleration a m s-2 of the particle t s after it leaves the origin is given by a = k(3t2 - 12t + 2), where k is a constant. When t = 1, the velocity of P is 0.1 m s-1.
A particle starts from rest and moves in a straight line. The velocity of the particle at time t s after the start is v m s-1, where
\(v = -0.01t^3 + 0.22t^2 - 0.4t\).
A particle starts from a point O and moves in a straight line. The velocity of the particle at time t s after leaving O is v m s-1, where
\(v = 1.5 + 0.4t \quad \text{for} \quad 0 \leq t \leq 5,\)
\(v = \frac{100}{t^2} - 0.1t \quad \text{for} \quad t \geq 5.\)
A particle P moves in a straight line starting from a point O. At time t s after leaving O, the velocity, v m s-1, of P is given by v = (2t - 5)^3.
A particle P moves in a straight line passing through a point O. At time t s, the velocity of P, v m s-1, is given by v = qt + rt2, where q and r are constants. The particle has velocity 4 m s-1 when t = 1 and when t = 2.
A particle moves in a straight line. Its displacement t s after leaving a fixed point O on the line is s m, where \(s = 2t^2 - \frac{80}{3}t^{3/2}\).
A racing car is moving in a straight line. The acceleration \(a\) m s\(^{-2}\) at time \(t\) s after the car starts from rest is given by
\(a = 15t - 3t^2 \quad \text{for} \; 0 \leq t \leq 5,\)
\(a = -\frac{625}{t^2} \quad \text{for} \; 5 < t \leq k,\)
where \(k\) is a constant.
A particle P moves in a straight line. At time t s, the displacement of P from O is s m and the acceleration of P is a m s-2, where a = 6t - 2. When t = 1, s = 7 and when t = 3, s = 29.
A particle P moves in a straight line, starting from a point O. At time t s after leaving O, the velocity of P, v m s-1, is given by v = 4t2 - 8t + 3.
A particle P starts at rest and moves in a straight line from a point O. At time t s after leaving O, the velocity of P, v m/s, is given by \(v = bt + ct^{\frac{3}{2}}\), where b and c are constants. P has velocity 8 m/s when \(t = 4\) and has velocity 13.5 m/s when \(t = 9\).
A particle P moves in a straight line. It starts at a point O on the line and at time t s after leaving O it has a velocity v m s-1, where v = 6t^2 - 30t + 24.
A particle P starts from rest at a point O of a straight line and moves along the line. The displacement of the particle at time t s after leaving O is x m, where
\(x = 0.08t^2 - 0.0002t^3\).
A particle P moves along a straight line for 100 s. It starts at a point O and at time t seconds after leaving O the velocity of P is v m/s, where
\(v = 0.00004t^3 - 0.006t^2 + 0.288t\).
A particle P moves in a straight line, starting from a point O. The velocity of P, measured in m s-1, at time t s after leaving O is given by
\(v = 0.6t - 0.03t^2\).
A particle P moves in a straight line. At time t seconds after starting from rest at the point O on the line, the acceleration of P is a m/s2, where a = 0.075t2 - 1.5t + 5.
A particle P starts from rest and moves in a straight line for 18 seconds. For the first 8 seconds of the motion P has constant acceleration 0.25 m/s2. Subsequently P's velocity, v m/s-1 at time t seconds after the motion started, is given by
\(v = -0.1t^2 + 2.4t - k\),
where \(8 \leq t \leq 18\) and \(k\) is a constant.
The diagram shows the velocity-time graph for the motion of a particle P which moves on a straight line BAC. It starts at A and travels to B taking 5 s. It then reverses direction and travels from B to C taking 10 s. For the first 3 s of P's motion its acceleration is constant. For the remaining 12 s the velocity of P is v m s-1 at time t s after leaving A, where
\(v = -0.2t^2 + 4t - 15\) for \(3 \leq t \leq 15\).

A particle P moves on a straight line, starting from rest at a point O of the line. The time after P starts to move is t s, and the particle moves along the line with constant acceleration \(\frac{1}{4} \text{ m s}^{-2}\) until it passes through a point A at time \(t = 8\). After passing through A the velocity of P is \(\frac{1}{2} t^{2/3} \text{ m s}^{-1}\).
A vehicle starts from rest at a point O and moves in a straight line. Its speed \(v\) m s\(^{-1}\) at time \(t\) seconds after leaving O is defined as follows.
For \(0 \leq t \leq 60\), \(v = k_1 t - 0.005t^2\),
for \(t \geq 60\), \(v = \frac{k_2}{\sqrt{t}}\).
The distance travelled by the vehicle during the first 60 s is 540 m.
A particle P moves in a straight line. P starts from rest at O and travels to A where it comes to rest, taking 50 seconds. The speed of P at time t seconds after leaving O is v m/s-1, where v is defined as follows.
\(For 0 ≤ t ≤ 5, v = t - 0.1t2,\)
for 5 ≤ t ≤ 45, v is constant,
\(for 45 ≤ t ≤ 50, v = 9t - 0.1t2 - 200.\)
(i) Find the distance travelled by P in the first 5 seconds.
(ii) Find the total distance from O to A, and deduce the average speed of P for the whole journey from O to A.
A particle moves in a straight line starting from rest. The displacement s m of the particle from a fixed point O on the line at time t s is given by
\(s = t^{\frac{5}{2}} - \frac{15}{4} t^{\frac{3}{2}} + 6\).
Find the value of s when the particle is again at rest.
A particle P starts from rest at a point O and moves in a straight line. P has acceleration 0.6t m s−2 at time t seconds after leaving O, until t = 10.
\(After t = 10, P has acceleration −0.4t m s−2 until it comes to rest at a point A.\)
An aeroplane moves along a straight horizontal runway before taking off. It starts from rest at O and has speed 90 m s-1 at the instant it takes off. While the aeroplane is on the runway at time t seconds after leaving O, its acceleration is (1.5 + 0.012t) m s-2. Find
A particle moves in a straight line. Its velocity t seconds after leaving a fixed point O on the line is v m s-1, where v = 0.2t + 0.006t2. For the instant when the acceleration of the particle is 2.5 times its initial acceleration,
A particle P starts to move from a point O and travels in a straight line. The velocity of P is \(k(60t^2 - t^3)\) m s-1 at time t s after leaving O, where k is a constant. The maximum velocity of P is 6.4 m s-1.
P comes to instantaneous rest at a point A on the line. Find
A car travels along a straight road with constant acceleration \(a \text{ m s}^{-2}\). It passes through points \(A, B\) and \(C\); the time taken from \(A\) to \(B\) and from \(B\) to \(C\) is 5 s in each case. The speed of the car at \(A\) is \(u \text{ m s}^{-1}\) and the distances \(AB\) and \(BC\) are 55 m and 65 m respectively. Find the values of \(a\) and \(u\).
A particle P travels from a point O along a straight line and comes to instantaneous rest at a point A. The velocity of P at time t s after leaving O is v m s-1, where v = 0.027(10t2 - t3). Find
A particle P moves in a straight line, starting from the point O with velocity 2 m s-1. The acceleration of P at time t s after leaving O is 2t2/3 m s-2.
A particle P starts at the point O and travels in a straight line. At time t seconds after leaving O the velocity of P is v m s-1, where v = 0.75t2 - 0.0625t3. Find
A particle P moves in a straight line. It starts from rest at A and comes to rest instantaneously at B. The velocity of P at time t seconds after leaving A is v m/s, where v = 6t^2 - kt^3 and k is a constant.
Given that the distance AB is 108 m, find
A tractor travels in a straight line from a point A to a point B. The velocity of the tractor is \(v \text{ m s}^{-1}\) at time \(t\) s after leaving A.
(i) The diagram shows an approximate velocity-time graph for the motion of the tractor. The graph consists of two straight line segments. Use the graph to find an approximation for
(ii) The actual velocity of the tractor is given by \(v = 0.04t - 0.00005t^2\) for \(0 \leq t \leq 800\).
For the interval \(0 \leq t \leq 400\), the approximate velocity of the tractor in part (i) is denoted by \(v_1 \text{ m s}^{-1}\).

A particle moves in a straight line starting from rest from a point O. The acceleration of the particle at time t seconds after leaving O is a m/s2, where a = 4t^{\frac{1}{2}}.
\((a) Find the speed of the particle when t = 9.\)
(b) Find the time after leaving O at which the speed (in metres per second) and the distance travelled (in metres) are numerically equal.
A particle P moves in a straight line. It starts from a point O on the line with velocity 1.8 m s-1. The acceleration of P at time t s after leaving O is 0.8t-0.75 m s-2. Find the displacement of P from O when t = 16.
A particle P starts from a point O and moves along a straight line. P's velocity t s after leaving O is v m s-1, where
\(v = 0.16t^{\frac{3}{2}} - 0.016t^2\).
P comes to rest instantaneously at the point A.
A particle travels in a straight line from A to B in 20 s. Its acceleration t seconds after leaving A is a m s-2, where a = \frac{3}{160}t^2 - \frac{1}{800}t^3. It is given that the particle comes to rest at B.
A particle travels in a straight line from a point P to a point Q. Its velocity t seconds after leaving P is v m s-1, where v = 4t - \frac{1}{16}t^3. The distance PQ is 64 m.
A particle travels along a straight line. It starts from rest at a point A on the line and comes to rest again, 10 seconds later, at another point B on the line. The velocity t seconds after leaving A is
\(0.72t^2 - 0.096t^3\) for \(0 \leq t \leq 5\),
\(2.4t - 0.24t^2\) for \(5 \leq t \leq 10\).
A particle P travels in a straight line. It passes through the point O of the line with velocity 5 m s-1 at time t = 0, where t is in seconds. P's velocity after leaving O is given by
(0.002t3 - 0.12t2 + 1.8t + 5) m s-1.
The velocity of P is increasing when 0 < t < T1 and when t > T2, and the velocity of P is decreasing when T1 < t < T2.
A particle starts at a point O and moves along a straight line. Its velocity t s after leaving O is \((1.2t - 0.12t^2)\) m s-1. Find the displacement of the particle from O when its acceleration is 0.6 m s-2.
A vehicle is moving in a straight line. The velocity \(v\) m s-1 at time \(t\) s after the vehicle starts is given by
\(v = A(t - 0.05t^2) \quad \text{for} \; 0 \leq t \leq 15,\)
\(v = \frac{B}{t^2} \quad \text{for} \; t \geq 15,\)
where \(A\) and \(B\) are constants. The distance travelled by the vehicle between \(t = 0\) and \(t = 15\) is 225 m.
A motorcyclist starts from rest at A and travels in a straight line. For the first part of the motion, the motorcyclist’s displacement x metres from A after t seconds is given by x = 0.6t2 - 0.004t3.
A particle P starts from rest at the point A at time t = 0, where t is in seconds, and moves in a straight line with constant acceleration a m s-2 for 10 s. For 10 ≤ t ≤ 20, P continues to move along the line with velocity v m s-1, where v = \(\frac{800}{t^2} - 2\). Find
A particle P travels in a straight line, starting at rest from a point O. The acceleration of P at time t s after leaving O is denoted by a m/s2, where
\(a = 0.3t^{\frac{1}{2}}\) for \(0 \leq t \leq 4\),
\(a = -kt^{-\frac{3}{2}}\) for \(4 < t \leq T\),
where k and T are constants.
A particle P travels in a straight line from A to D, passing through the points B and C. For the section AB the velocity of the particle is \((0.5t - 0.01t^2)\) m s\(^{-1}\), where \(t\) is the time after leaving A.
An object P travels from A to B in a time of 80 s. The diagram shows the graph of v against t, where v m s-1 is the velocity of P at time t s after leaving A. The graph consists of straight line segments for the intervals 0 ≤ t ≤ 10 and 30 ≤ t ≤ 80, and a curved section whose equation is v = -0.01t2 + 0.5t - 1 for 10 ≤ t ≤ 30. Find

The velocity of a particle at time t seconds after it starts from rest is v m/s, where \(v = 1.25t - 0.05t^2\). Find
A motorcyclist starts from rest at A and travels in a straight line until he comes to rest again at B. The velocity of the motorcyclist t seconds after leaving A is v m s-1, where v = t - 0.01t^2. Find
A particle P starts from rest at O and travels in a straight line. Its velocity v m s-1 at time t s is given by v = 8t - 2t^2 for 0 ≤ t ≤ 3, and v = \frac{54}{t^2} for t > 3. Find
A particle P moves along the x-axis in the positive direction. The velocity of P at time t s is 0.03t2 m s−1. When t = 5 the displacement of P from the origin O is 2.5 m.
A particle starts from rest at the point A and travels in a straight line until it reaches the point B. The velocity of the particle t seconds after leaving A is v m s-1, where v = 0.009t^2 - 0.0001t^3. Given that the velocity of the particle when it reaches B is zero, find
A particle P moves in a straight line that passes through the origin O. The velocity of P at time t seconds is v m s-1, where v = 20t - t^3. At time t = 0 the particle is at rest at a point whose displacement from O is -36 m.
A particle moves in a straight line. Its displacement t seconds after leaving the fixed point O is x metres, where \(x = \frac{1}{2}t^2 + \frac{1}{30}t^3\). Find
A particle P starts to move from a point O and travels in a straight line. At time t s after P starts to move its velocity is v m s-1, where v = 0.12t - 0.0006t2.
A particle P moves in a straight line through a point O. The velocity v ms-1 of P, at time t s after passing O, is given by
\(v = \frac{9}{4} + \frac{b}{(t+1)^2} - ct^2,\)
where b and c are positive constants. At t = 5, the velocity of P is zero and its acceleration is \(-\frac{13}{12}\) ms-2.
\((a) Show that b = 9 and find the value of c.\)
\((b) Given that the velocity of P is zero only at t = 5, find the distance travelled in the first 10 seconds of motion.\)
A particle P moves in a straight line. The velocity v m/s-1 at time t seconds is given by
\(v = 0.5t\) for \(0 \leq t \leq 10\),
\(v = 0.25t^2 - 8t + 60\) for \(10 \leq t \leq 20\).
(a) Show that there is an instantaneous change in the acceleration of the particle at \(t = 10\).
(b) Find the total distance covered by P in the interval \(0 \leq t \leq 20\).
A progression has first term a and second term \(\frac{a^2}{a+2}\), where a is a positive constant.
For the case where the progression is arithmetic and \(a = 6\), determine the least value of n required for the sum of the first n terms to be less than -480.
The sum, \(S_n\), of the first \(n\) terms of an arithmetic progression is given by
\(S_n = n^2 + 4n\).
The \(k\)th term in the progression is greater than 200.
Find the smallest possible value of \(k\).
The nth term of an arithmetic progression is \(\frac{1}{2}(3n - 15)\).
Find the value of n for which the sum of the first n terms is 84.
The sum of the first nine terms of an arithmetic progression is 117. The sum of the next four terms is 91.
Find the first term and the common difference of the progression.
Over a 21-day period an athlete prepares for a marathon by increasing the distance she runs each day by 1.2 km. On the first day she runs 13 km.
(i) Find the distance she runs on the last day of the 21-day period.
(ii) Find the total distance she runs in the 21-day period.
In an arithmetic progression, the sum of the first ten terms is equal to the sum of the next five terms. The first term is \(a\).
(i) Show that the common difference of the progression is \(\frac{1}{3}a\).
(ii) Given that the tenth term is 36 more than the fourth term, find the value of \(a\).
In another case, p and 2p are the first and second terms respectively of an arithmetic progression. The nth term is 336 and the sum of the first n terms is 7224. Write down two equations in n and p and hence find the values of n and p.
In an arithmetic progression the first term is a and the common difference is 3. The nth term is 94 and the sum of the first n terms is 1420. Find n and a.
The first term of a series is 6 and the second term is 2.
For the case where the series is an arithmetic progression, find the sum of the first 80 terms.
The nth term of a progression is p + qn, where p and q are constants, and Sn is the sum of the first n terms.
An arithmetic progression has first term \(-12\) and common difference \(6\). The sum of the first \(n\) terms exceeds \(3000\). Calculate the least possible value of \(n\).
The circumference round the trunk of a large tree is measured and found to be 5.00 m. After one year the circumference is measured again and found to be 5.02 m.
Given that the circumferences at yearly intervals form an arithmetic progression, find the circumference 20 years after the first measurement.
The sum of the first n terms of an arithmetic progression is \(\frac{1}{2}n(3n + 7)\). Find the 1st term and the common difference of the progression.
The first two terms of an arithmetic progression are 15 and 19 respectively. The first two terms of a second arithmetic progression are 420 and 415 respectively. The two progressions have the same sum of the first n terms. Find the value of n.
The first two terms of an arithmetic progression are 16 and 24. Find the least number of terms of the progression which must be taken for their sum to exceed 20,000.
An arithmetic progression has a first term of 32, a 5th term of 22 and a last term of -28. Find the sum of all the terms in the progression.
A cyclist completes a long-distance charity event across Africa. The total distance is 3050 km. He starts the event on May 1st and cycles 200 km on that day. On each subsequent day he reduces the distance cycled by 5 km.
(i) How far will he travel on May 15th?
(ii) On what date will he finish the event?
A water tank holds 2000 litres when full. A small hole in the base is gradually getting bigger so that each day a greater amount of water is lost.
On the first day after filling, 10 litres of water are lost and this increases by 2 litres each day.
(a) How many litres will be lost on the 30th day after filling?
(b) The tank becomes empty during the nth day after filling. Find the value of n.
The 12th term of an arithmetic progression is 17 and the sum of the first 31 terms is 1023. Find the 31st term.
The first term of a progression is \(4x\) and the second term is \(x^2\).
For the case where the progression is arithmetic with a common difference of 12, find the possible values of \(x\) and the corresponding values of the third term.
The first term of an arithmetic progression is \(-2222\) and the common difference is 17. Find the value of the first positive term.
The first, second and last terms in an arithmetic progression are 56, 53 and -22 respectively. Find the sum of all the terms in the progression.
The first, second and third terms of an arithmetic progression are \(a, 2a\) and \(a^2\) respectively, where \(a\) is a positive constant.
Find the sum of the first 50 terms of the progression.
A circle is divided into 5 sectors in such a way that the angles of the sectors are in arithmetic progression. Given that the angle of the largest sector is 4 times the angle of the smallest sector, find the angle of the largest sector.
The sum, \(S_n\), of the first \(n\) terms of an arithmetic progression is given by \(S_n = 32n - n^2\). Find the first term and the common difference.
An arithmetic progression has first term 7. The nth term is 84 and the (3n)th term is 245. Find the value of n.
An arithmetic progression has first term \(a\) and common difference \(d\). It is given that the sum of the first 200 terms is 4 times the sum of the first 100 terms.
(i) Find \(d\) in terms of \(a\).
(ii) Find the 100th term in terms of \(a\).
In an arithmetic progression, the fifth term is 197 and the sum of the first ten terms is 2040. Find the common difference.
An athlete runs the first mile of a marathon in 5 minutes. His speed reduces in such a way that each mile takes 12 seconds longer than the preceding mile.
(i) Given that the nth mile takes 9 minutes, find the value of n.
(ii) Assuming that the length of the marathon is 26 miles, find the total time, in hours and minutes, to complete the marathon.
In an arithmetic progression the sum of the first ten terms is 400 and the sum of the next ten terms is 1000. Find the common difference and the first term.
In an arithmetic progression, the sum, \(S_n\), of the first \(n\) terms is given by \(S_n = 2n^2 + 8n\). Find the first term and the common difference of the progression.
The first and last terms of an arithmetic progression are 12 and 48 respectively. The sum of the first four terms is 57. Find the number of terms in the progression.
A circle is divided into n sectors in such a way that the angles of the sectors are in arithmetic progression. The smallest two angles are 3° and 5°. Find the value of n.
An arithmetic progression has first term 4 and common difference \(d\). The sum of the first \(n\) terms of the progression is 5863.
(a) Show that \((n-1)d = \frac{11726}{n} - 8\).
(b) Given that the \(n\)th term is 139, find the values of \(n\) and \(d\), giving the value of \(d\) as a fraction.
The first term of an arithmetic progression is 61 and the second term is 57. The sum of the first n terms is n. Find the value of the positive integer n.
In an arithmetic progression, the sum of the first n terms, denoted by Sn, is given by
\(S_n = n^2 + 8n\).
Find the first term and the common difference.
An arithmetic progression contains 25 terms and the first term is -15. The sum of all the terms in the progression is 525. Calculate
(i) the common difference of the progression,
(ii) the last term in the progression,
(iii) the sum of all the positive terms in the progression.
The sixth term of an arithmetic progression is 23 and the sum of the first ten terms is 200. Find the seventh term.
An arithmetic progression is such that the eighth term is three times the third term. Show that the sum of the first eight terms is four times the sum of the first four terms.
A circle is divided into 6 sectors in such a way that the angles of the sectors are in arithmetic progression. The angle of the largest sector is 4 times the angle of the smallest sector. Given that the radius of the circle is 5 cm, find the perimeter of the smallest sector.
An arithmetic progression has third term 90 and fifth term 80.
(i) Find the first term and the common difference.
(ii) Find the value of \(m\) given that the sum of the first \(m\) terms is equal to the sum of the first \((m + 1)\) terms.
(iii) Find the value of \(n\) given that the sum of the first \(n\) terms is zero.
The first and second terms of an arithmetic progression are 161 and 154 respectively. The sum of the first m terms is zero. Find the value of m.
The fifth term of an arithmetic progression is 18 and the sum of the first 5 terms is 75. Find the first term and the common difference.
Find the sum of all the multiples of 5 between 100 and 300 inclusive.
The first, second and third terms of an arithmetic progression are \(k\), \(6k\) and \(k + 6\) respectively.
(a) Find the value of the constant \(k\).
(b) Find the sum of the first 30 terms of the progression.
The ninth term of an arithmetic progression is 22 and the sum of the first 4 terms is 49.
(i) Find the first term of the progression and the common difference.
The nth term of the progression is 46.
(ii) Find the value of n.
The first two terms in an arithmetic progression are 5 and 9. The last term in the progression is the only term which is greater than 200. Find the sum of all the terms in the progression.
The first term of an arithmetic progression is 6 and the fifth term is 12. The progression has n terms and the sum of all the terms is 90. Find the value of n.
Find the sum of all the integers between 100 and 400 that are divisible by 7.
Find the sum of all the terms in the arithmetic progression 180, 175, 170, \ldots, 25.
A debt of $3726 is repaid by weekly payments which are in arithmetic progression. The first payment is $60 and the debt is fully repaid after 48 weeks. Find the third payment.
In an arithmetic progression, the 1st term is -10, the 15th term is 11 and the last term is 41. Find the sum of all the terms in the progression.
The thirteenth term of an arithmetic progression is 12 and the sum of the first 30 terms is -15.
Find the sum of the first 50 terms of the progression.
The first term of an arithmetic progression is 84 and the common difference is \(-3\).
(a) Find the smallest value of \(n\) for which the \(n\)th term is negative.
(b) It is given that the sum of the first \(2k\) terms of this progression is equal to the sum of the first \(k\) terms. Find the value of \(k\).
An arithmetic progression P has first term a and common difference d. An arithmetic progression Q has first term 2(a + 1) and common difference (d + 1). It is given that
\(\frac{\text{5th term of } P}{\text{12th term of } Q} = \frac{1}{3}\) and \(\frac{\text{Sum of first 5 terms of } P}{\text{Sum of first 5 terms of } Q} = \frac{2}{3}.\)
Find the value of a and the value of d.
The sum of the first 20 terms of an arithmetic progression is 405 and the sum of the first 40 terms is 1410.
Find the 60th term of the progression.
The first, second and third terms of a geometric progression are \(2p + 6\), \(5p\) and \(8p + 2\) respectively.
(a) Find the possible values of the constant \(p\).
(b) One of the values of \(p\) found in (a) is a negative fraction. Use this value of \(p\) to find the sum to infinity of this progression.
The second term of a geometric progression is 54 and the sum to infinity of the progression is 243. The common ratio is greater than \(\frac{1}{2}\).
Find the tenth term, giving your answer in exact form.
A geometric progression is such that the second term is equal to 24% of the sum to infinity.
Find the possible values of the common ratio.
The fifth, sixth and seventh terms of a geometric progression are \(8k\), \(-12\) and \(2k\) respectively.
Given that \(k\) is negative, find the sum to infinity of the progression.
In the expansion of \((a + bx)^7\), where \(a\) and \(b\) are non-zero constants, the coefficients of \(x\), \(x^2\) and \(x^4\) are the first, second and third terms respectively of a geometric progression.
Find the value of \(\frac{a}{b}\).
The first, second and third terms of a geometric progression are \(2p + 6\), \(-2p\) and \(p + 2\) respectively, where \(p\) is positive.
Find the sum to infinity of the progression.
A geometric progression has first term a, common ratio r and sum to infinity S. A second geometric progression has first term a, common ratio R and sum to infinity 2S.
\((a) Show that r = 2R - 1.\)
It is now given that the 3rd term of the first progression is equal to the 2nd term of the second progression.
(b) Express S in terms of a.
Each year the selling price of a diamond necklace increases by 5% of the price the year before. The selling price of the necklace in the year 2000 was $36,000.
(a) Write down an expression for the selling price of the necklace n years later and hence find the selling price in 2008.
(b) The company that makes the necklace only sells one each year. Find the total amount of money obtained in the ten-year period starting in the year 2000.
A woman’s basic salary for her first year with a particular company is $30,000 and at the end of the year she also gets a bonus of $600.
(a) For her first year, express her bonus as a percentage of her basic salary.
At the end of each complete year, the woman’s basic salary will increase by 3% and her bonus will increase by $100.
(b) Express the bonus she will be paid at the end of her 24th year as a percentage of the basic salary paid during that year.
The first, second and third terms of a geometric progression are \(3k\), \(5k - 6\) and \(6k - 4\), respectively.
The first, second and third terms of a geometric progression are \(x\), \(x - 3\) and \(x - 5\) respectively.
The sum of the first two terms of a geometric progression is 15 and the sum to infinity is \(\frac{125}{7}\). The common ratio of the progression is negative.
Find the third term of the progression.
A runner who is training for a long-distance race plans to run increasing distances each day for 21 days. She will run x km on day 1, and on each subsequent day she will increase the distance by 10% of the previous day's distance. On day 21 she will run 20 km.
(i) Find the distance she must run on day 1 in order to achieve this. Give your answer in km correct to 1 decimal place.
(ii) Find the total distance she runs over the 21 days.
The sum to infinity of a geometric progression is 9 times the sum of the first four terms. Given that the first term is 12, find the value of the fifth term.
The third and fourth terms of a geometric progression are 48 and 32 respectively. Find the sum to infinity of the progression.
The first and second terms of a geometric progression are p and 2p respectively, where p is a positive constant. The sum of the first n terms is greater than 1000p. Show that 2n > 1001.
The first term of a series is 6 and the second term is 2. For the case where the series is a geometric progression, find the sum to infinity.
The common ratio of a geometric progression is 0.99. Express the sum of the first 100 terms as a percentage of the sum to infinity, giving your answer correct to 2 significant figures.
A company producing salt from sea water changed to a new process. The amount of salt obtained each week increased by 2% of the amount obtained in the preceding week. It is given that in the first week after the change the company obtained 8000 kg of salt.
(i) Find the amount of salt obtained in the 12th week after the change.
(ii) Find the total amount of salt obtained in the first 12 weeks after the change.
A geometric progression has a second term of 12 and a sum to infinity of 54. Find the possible values of the first term of the progression.
Each year, the value of a certain rare stamp increases by 5% of its value at the beginning of the year. A collector bought the stamp for $10,000 at the beginning of 2005. Find its value at the beginning of 2015 correct to the nearest $100.
A geometric progression has first term \(3a\) and common ratio \(r\). A second geometric progression has first term \(a\) and common ratio \(-2r\). The two progressions have the same sum to infinity. Find the value of \(r\).
A progression has first term a and second term \(\frac{a^2}{a+2}\), where a is a positive constant.
For the case where the progression is geometric and the sum to infinity is 264, find the value of a.
The common ratio of a geometric progression is \(r\). The first term of the progression is \((r^2 - 3r + 2)\) and the sum to infinity is \(S\).
A geometric progression has a first term of 6 and a sum to infinity of 18. A new geometric progression is formed by squaring each of the terms of the original progression. Find the sum to infinity of the new progression.
Each year a school allocates a sum of money for the library. The amount allocated each year increases by 2.5% of the amount allocated the previous year. In 2005 the school allocated $2000. Find the total amount allocated in the years 2005 to 2014 inclusive.
Two convergent geometric progressions, P and Q, have the same sum to infinity. The first and second terms of P are 6 and 6r respectively. The first and second terms of Q are 12 and -12r respectively. Find the value of the common sum to infinity.
A geometric progression is such that the third term is 8 times the sixth term, and the sum of the first six terms is 31\(\frac{1}{2}\). Find
The sum of the 1st and 2nd terms of a geometric progression is 50 and the sum of the 2nd and 3rd terms is 30. Find the sum to infinity.
A water tank holds 2000 litres when full. A small hole in the base is gradually getting bigger so that each day a greater amount of water is lost.
Assume instead that 10 litres of water are lost on the first day and that the amount of water lost increases by 10% on each succeeding day. Find what percentage of the original 2000 litres is left in the tank at the end of the 30th day after filling.
The first term of a geometric progression in which all the terms are positive is 50. The third term is 32. Find the sum to infinity of the progression.
The first term of a progression is \(4x\) and the second term is \(x^2\).
For the case where the progression is geometric with a sum to infinity of 8, find the third term.
The first, second and third terms of a geometric progression are \(2k + 6\), \(2k\) and \(k + 2\) respectively, where \(k\) is a positive constant.
(i) Find the value of \(k\).
(ii) Find the sum to infinity of the progression.
The second term of a geometric progression is 16 and the sum to infinity is 100.
(a) Find the two possible values of the first term.
(b) Show that the nth term of one of the two possible geometric progressions is equal to \(4^{n-2}\) multiplied by the nth term of the other geometric progression.
The third and fourth terms of a geometric progression are \(\frac{1}{3}\) and \(\frac{2}{9}\) respectively. Find the sum to infinity of the progression.
A geometric progression in which all the terms are positive has sum to infinity 20. The sum of the first two terms is 12.8. Find the first term of the progression.
A geometric progression has first term \(a\) \((a \neq 0)\), common ratio \(r\) and sum to infinity \(S\). A second geometric progression has first term \(a\), common ratio \(2r\) and sum to infinity \(3S\). Find the value of \(r\).
In a geometric progression, the sum to infinity is equal to eight times the first term. Find the common ratio.
The second and third terms of a geometric progression are 48 and 32 respectively. Find the sum to infinity of the progression.
A geometric progression has first term a, common ratio r and sum to infinity 6. A second geometric progression has first term 2a, common ratio r2 and sum to infinity 7. Find the values of a and r.
The third term of a geometric progression is four times the first term. The sum of the first six terms is k times the first term. Find the possible values of k.
The third term of a geometric progression is -108 and the sixth term is 32. Find
The first term of a geometric progression is \(5\frac{1}{3}\) and the fourth term is \(2\frac{1}{4}\). Find
(i) the common ratio,
(ii) the sum to infinity.
In a geometric progression, all the terms are positive, the second term is 24 and the fourth term is 13\(\frac{1}{2}\). Find
(i) the first term,
(ii) the sum to infinity of the progression.
The circumference round the trunk of a large tree is measured and found to be 5.00 m. After one year the circumference is measured again and found to be 5.02 m.
Given instead that the circumferences at yearly intervals form a geometric progression, find the circumference 20 years after the first measurement.
In a geometric progression, the second term is 9 less than the first term. The sum of the second and third terms is 30. Given that all the terms of the progression are positive, find the first term.
A college agrees a sponsorship deal in which grants will be received each year for sports equipment. This grant will be $4000 in 2012 and will increase by 5% each year. Calculate
(i) the value of the grant in 2022,
(ii) the total amount the college will receive in the years 2012 to 2022 inclusive.
A geometric progression has first term 1 and common ratio \(r\). A second geometric progression has first term 4 and common ratio \(\frac{1}{4}r\). The two progressions have the same sum to infinity, \(S\). Find the values of \(r\) and \(S\).
A geometric progression has a third term of 20 and a sum to infinity which is three times the first term. Find the first term.
The first, second and third terms of a geometric progression are \(2k + 3\), \(k + 6\) and \(k\), respectively. Given that all the terms of the geometric progression are positive, calculate
(i) the value of the constant \(k\),
(ii) the sum to infinity of the progression.
A geometric progression has first term 100 and sum to infinity 2000. Find the second term. [3]
A geometric progression, in which all the terms are positive, has common ratio \(r\). The sum of the first \(n\) terms is less than 90\% of the sum to infinity. Show that \(r^n > 0.1\).
The first term of a geometric progression is 16 and the fourth term is \(\frac{27}{4}\). Find the sum to infinity of the progression.
The first term of a geometric progression is 12 and the second term is -6. Find
A geometric progression has a common ratio of \(-\frac{2}{3}\) and the sum of the first 3 terms is 35. Find
The first term of a geometric progression is 216 and the fourth term is 64.
Find the sum to infinity of the progression.
Find the sum to infinity of the geometric progression with first three terms 0.5, 0.5^3 and 0.5^5.
The first three terms in a geometric progression are 144, x and 64 respectively, where x is positive. Find
Each year a company gives a grant to a charity. The amount given each year increases by 5% of its value in the preceding year. The grant in 2001 was $5000. Find
(i) the grant given in 2011,
(ii) the total amount of money given to the charity during the years 2001 to 2011 inclusive.
Find the sum of the first ten terms of the geometric progression 81, 54, 36, ...
A geometric progression has first term 64 and sum to infinity 256. Find
Find the sum to infinity of the geometric progression whose first term is 6 and whose second term is 4.
A geometric progression, for which the common ratio is positive, has a second term of 18 and a fourth term of 8. Find
A geometric progression is such that the third term is 1764 and the sum of the second and third terms is 3444.
Find the 50th term.
A tool for putting fence posts into the ground is called a 'post-rammer'. The distances in millimetres that the post sinks into the ground on each impact of the post-rammer follow a geometric progression. The first three impacts cause the post to sink into the ground by 50 mm, 40 mm and 32 mm respectively.
(a) Verify that the 9th impact is the first in which the post sinks less than 10 mm into the ground.
(b) Find, to the nearest millimetre, the total depth of the post in the ground after 20 impacts.
(c) Find the greatest total depth in the ground which could theoretically be achieved.
The second and third terms of a geometric progression are 10 and 8 respectively.
Find the sum to infinity.
The first, third and fifth terms of an arithmetic progression are \(2 \cos x\), \(-6\sqrt{3} \sin x\) and \(10 \cos x\) respectively, where \(\frac{1}{2}\pi < x < \pi\).
(a) Find the exact value of \(x\). [3]
(b) Hence find the exact sum of the first 25 terms of the progression. [3]
The first and second terms of an arithmetic progression are \(\frac{1}{\cos^2 \theta}\) and \(-\frac{\tan^2 \theta}{\cos^2 \theta}\), respectively, where \(0 < \theta < \frac{1}{2} \pi\).
(a) Show that the common difference is \(-\frac{1}{\cos^4 \theta}\).
(b) Find the exact value of the 13th term when \(\theta = \frac{1}{6} \pi\).
The first term of a progression is \(\sin^2 \theta\), where \(0 < \theta < \frac{1}{2} \pi\). The second term of the progression is \(\sin^2 \theta \cos^2 \theta\).
It is now given instead that the progression is arithmetic.
(i) Find the common difference of the progression in terms of \(\sin \theta\).
(ii) Find the sum of the first 16 terms when \(\theta = \frac{1}{3} \pi\).
The first term of an arithmetic progression is \(\cos \theta\) and the second term is \(\cos \theta + \sin^2 \theta\), where \(0 \leq \theta \leq \pi\). The sum of the first 13 terms is 52. Find the possible values of \(\theta\).
The first three terms of an arithmetic progression are \(2 \sin x\), \(3 \cos x\) and \((\sin x + 2 \cos x)\) respectively, where \(x\) is an acute angle.
(i) Show that \(\tan x = \frac{4}{3}\).
(ii) Find the sum of the first twenty terms of the progression.
The first two terms of an arithmetic progression are 1 and \(\cos^2 x\) respectively. Show that the sum of the first ten terms can be expressed in the form \(a - b \sin^2 x\), where \(a\) and \(b\) are constants to be found.
The first, second and third terms of a geometric progression are \(\sin \theta\), \(\cos \theta\) and \(2 - \sin \theta\) respectively, where \(\theta\) radians is an acute angle.
(a) Find the value of \(\theta\).
(b) Using this value of \(\theta\), find the sum of the first 10 terms of the progression. Give the answer in the form \(\frac{b}{\sqrt{c} - 1}\), where \(b\) and \(c\) are integers to be found.
The first term of a progression is \(\cos \theta\), where \(0 < \theta < \frac{1}{2} \pi\).
(a) For the case where the progression is geometric, the sum to infinity is \(\frac{1}{\cos \theta}\).
(i) Show that the second term is \(\cos \theta \sin^2 \theta\).
(ii) Find the sum of the first 12 terms when \(\theta = \frac{1}{3} \pi\), giving your answer correct to 4 significant figures.
(b) For the case where the progression is arithmetic, the first two terms are again \(\cos \theta\) and \(\cos \theta \sin^2 \theta\) respectively.
Find the 85th term when \(\theta = \frac{1}{3} \pi\).
The first term of a progression is \(\sin^2 \theta\), where \(0 < \theta < \frac{1}{2}\pi\). The second term of the progression is \(\sin^2 \theta \cos^2 \theta\).
Given that the progression is geometric, find the sum to infinity.
The first term of a geometric progression is \(\sqrt{3}\) and the second term is \(2 \cos \theta\), where \(0 < \theta < \pi\). Find the set of values of \(\theta\) for which the progression is convergent.
The first two terms of a geometric progression are 1 and \(\frac{1}{3} \tan^2 \theta\) respectively, where \(0 < \theta < \frac{1}{2} \pi\).
(i) Find the set of values of \(\theta\) for which the progression is convergent.
(ii) Find the exact value of the sum to infinity when \(\theta = \frac{1}{6} \pi\).
The first three terms of an arithmetic progression are \(\frac{p^2}{6}\), \(2p - 6\) and \(p\).
(a) Given that the common difference of the progression is not zero, find the value of \(p\).
(b) Using this value, find the sum to infinity of the geometric progression with first two terms \(\frac{p^2}{6}\) and \(2p - 6\).
The 1st, 3rd and 13th terms of an arithmetic progression are also the 1st, 2nd and 3rd terms respectively of a geometric progression. The first term of each progression is 3. Find the common difference of the arithmetic progression and the common ratio of the geometric progression.
A ball is such that when it is dropped from a height of 1 metre it bounces vertically from the ground to a height of 0.96 metres. It continues to bounce on the ground and each time the height the ball reaches is reduced. Two different models, A and B, describe this.
Model A: The height reached is reduced by 0.04 metres each time the ball bounces.
Model B: The height reached is reduced by 4% each time the ball bounces.
(i) Find the total distance travelled vertically (up and down) by the ball from the 1st time it hits the ground until it hits the ground for the 21st time,
(a) using model A,
(b) using model B.
(ii) Show that, under model B, even if there is no limit to the number of times the ball bounces, the total vertical distance travelled after the first time it hits the ground cannot exceed 48 metres.
Three geometric progressions, \(P, Q\) and \(R\), are such that their sums to infinity are the first three terms respectively of an arithmetic progression.
Progression \(P\) is \(2, 1, \frac{1}{2}, \frac{1}{4}, \ldots\).
Progression \(Q\) is \(3, 1, \frac{1}{3}, \frac{1}{9}, \ldots\).
(i) Find the sum to infinity of progression \(R\).
(ii) Given that the first term of \(R\) is 4, find the sum of the first three terms of \(R\).
The first term in a progression is 36 and the second term is 32.
(i) Given that the progression is geometric, find the sum to infinity.
(ii) Given instead that the progression is arithmetic, find the number of terms in the progression if the sum of all the terms is 0.
The 1st, 2nd and 3rd terms of a geometric progression are the 1st, 9th and 21st terms respectively of an arithmetic progression. The 1st term of each progression is 8 and the common ratio of the geometric progression is \(r\), where \(r \neq 1\). Find
(i) the value of \(r\),
(ii) the 4th term of each progression.
The first 2 terms of a geometric progression are 64 and 48 respectively. The first 3 terms of the geometric progression are also the 1st term, the 9th term and the nth term respectively of an arithmetic progression. Find the value of n.
The first term of an arithmetic progression is 12 and the sum of the first 9 terms is 135.
(i) Find the common difference of the progression.
The first term, the ninth term and the nth term of this arithmetic progression are the first term, the second term and the third term respectively of a geometric progression.
(ii) Find the common ratio of the geometric progression and the value of n.
The first and second terms of a progression are 4 and 8 respectively. Find the sum of the first 10 terms given that the progression is
(i) an arithmetic progression,
(ii) a geometric progression.
A television quiz show takes place every day. On day 1 the prize money is $1000. If this is not won the prize money is increased for day 2. The prize money is increased in a similar way every day until it is won. The television company considered the following two different models for increasing the prize money.
Model 1: Increase the prize money by $1000 each day.
Model 2: Increase the prize money by 10% each day.
On each day that the prize money is not won the television company makes a donation to charity. The amount donated is 5% of the value of the prize on that day. After 40 days the prize money has still not been won. Calculate the total amount donated to charity
(i) if Model 1 is used,
(ii) if Model 2 is used.
A progression has a second term of 96 and a fourth term of 54. Find the first term of the progression in each of the following cases:
(i) the progression is arithmetic,
(ii) the progression is geometric with a positive common ratio.
The first term of a geometric progression is 216 and the fourth term is 64.
The second term of the geometric progression is equal to the second term of an arithmetic progression.
The third term of the geometric progression is equal to the fifth term of the same arithmetic progression.
Find the sum of the first 21 terms of the arithmetic progression.
The first term of an arithmetic progression is 8 and the common difference is \(d\), where \(d \neq 0\). The first term, the fifth term and the eighth term of this arithmetic progression are the first term, the second term and the third term, respectively, of a geometric progression whose common ratio is \(r\).
(i) Write down two equations connecting \(d\) and \(r\). Hence show that \(r = \frac{3}{4}\) and find the value of \(d\). [6]
(ii) Find the sum to infinity of the geometric progression. [2]
(iii) Find the sum of the first 8 terms of the arithmetic progression. [2]
The first term of a geometric progression is 81 and the fourth term is 24. Find
(i) the common ratio of the progression,
(ii) the sum to infinity of the progression.
The second and third terms of this geometric progression are the first and fourth terms respectively of an arithmetic progression.
(iii) Find the sum of the first ten terms of the arithmetic progression.
The 1st term of an arithmetic progression is \(a\) and the common difference is \(d\), where \(d \neq 0\).
(i) Write down expressions, in terms of \(a\) and \(d\), for the 5th term and the 15th term.
The 1st term, the 5th term and the 15th term of the arithmetic progression are the first three terms of a geometric progression.
(ii) Show that \(3a = 8d\).
(iii) Find the common ratio of the geometric progression.
The second term of a geometric progression is 3 and the sum to infinity is 12.
(i) Find the first term of the progression.
An arithmetic progression has the same first and second terms as the geometric progression.
(ii) Find the sum of the first 20 terms of the arithmetic progression.
A small trading company made a profit of $250,000 in the year 2000. The company considered two different plans, plan A and plan B, for increasing its profits.
Under plan A, the annual profit would increase each year by 5% of its value in the preceding year. Find, for plan A,
(i) the profit for the year 2008,
(ii) the total profit for the 10 years 2000 to 2009 inclusive.
Under plan B, the annual profit would increase each year by a constant amount $D$.
(iii) Find the value of $D$ for which the total profit for the 10 years 2000 to 2009 inclusive would be the same for both plans.
A geometric progression has 6 terms. The first term is 192 and the common ratio is 1.5. An arithmetic progression has 21 terms and common difference 1.5. Given that the sum of all the terms in the geometric progression is equal to the sum of all the terms in the arithmetic progression, find the first term and the last term of the arithmetic progression.
A progression has a first term of 12 and a fifth term of 18.
(i) Find the sum of the first 25 terms if the progression is arithmetic.
(ii) Find the 13th term if the progression is geometric.
The first term of a geometric progression and the first term of an arithmetic progression are both equal to \(a\).
The third term of the geometric progression is equal to the second term of the arithmetic progression.
The fifth term of the geometric progression is equal to the sixth term of the arithmetic progression.
Given that the terms are all positive and not all equal, find the sum of the first twenty terms of the arithmetic progression in terms of \(a\).
The first term of an arithmetic progression is \(a\) and the common difference is \(-4\). The first term of a geometric progression is \(5a\) and the common ratio is \(-\frac{1}{4}\). The sum to infinity of the geometric progression is equal to the sum of the first eight terms of the arithmetic progression.
(a) Find the value of \(a\).
The \(k\)th term of the arithmetic progression is zero.
(b) Find the value of \(k\).
The first, second and third terms of an arithmetic progression are \(a\), \(\frac{3}{2}a\) and \(b\) respectively, where \(a\) and \(b\) are positive constants. The first, second and third terms of a geometric progression are \(a\), 18 and \(b + 3\) respectively.
(a) Find the values of \(a\) and \(b\).
(b) Find the sum of the first 20 terms of the arithmetic progression.
Two heavyweight boxers decide that they would be more successful if they competed in a lower weight class. For each boxer this would require a total weight loss of 13 kg. At the end of week 1 they have each recorded a weight loss of 1 kg and they both find that in each of the following weeks their weight loss is slightly less than the week before.
Boxer A’s weight loss in week 2 is 0.98 kg. It is given that his weekly weight loss follows an arithmetic progression.
Boxer B’s weight loss in week 2 is 0.92 kg and it is given that his weekly weight loss follows a geometric progression.
Two schemes are proposed for increasing the amount of household waste that is recycled each week.
Scheme A is to increase the amount of waste recycled each month by 0.16 tonnes.
Scheme B is to increase the amount of waste recycled each month by 6% of the amount recycled in the previous month.
The proposal is to operate the scheme for a period of 24 months. The amount recycled in the first month is 2.5 tonnes.
For each scheme, find the total amount of waste that would be recycled over the 24-month period.
The first three terms of an arithmetic progression are 4, x and y respectively. The first three terms of a geometric progression are x, y and 18 respectively. It is given that both x and y are positive.
(i) Find the value of x and the value of y.
(ii) Find the fourth term of each progression.
On a certain day, the height of a young bamboo plant was found to be 40 cm. After exactly one day its height was found to be 41.2 cm. Two different models are used to predict its height exactly 60 days after it was first measured.
(i) Using model A, find the predicted height in cm of the bamboo plant exactly 60 days after it was first measured.
(ii) Using model B, find the predicted height in cm of the bamboo plant exactly 60 days after it was first measured.
The equation \(\cot \frac{1}{2}x = 3x\) has one root in the interval \(0 < x < \pi\), denoted by \(\alpha\).
(a) Show by calculation that \(\alpha\) lies between 0.5 and 1.
(b) Show that, if a sequence of positive values given by the iterative formula \(x_{n+1} = \frac{1}{3} \left( x_n + 4 \arctan \left( \frac{1}{3x_n} \right) \right)\) converges, then it converges to \(\alpha\).
(c) Use this iterative formula to calculate \(\alpha\) correct to 2 decimal places. Give the result of each iteration to 4 decimal places.
The equation \(x = \frac{10}{e^{2x} - 1}\) has one positive real root, denoted by \(\alpha\).
The sequence of values given by the iterative formula
\(x_{n+1} = \frac{x_n(x_n^3 + 100)}{2(x_n^3 + 25)}\),
with initial value \(x_1 = 3.5\), converges to \(\alpha\).
The diagram shows the curve \(y = x^4 + 2x^3 + 2x^2 - 4x - 16\), which crosses the x-axis at the points \((\alpha, 0)\) and \((\beta, 0)\) where \(\alpha < \beta\). It is given that \(\alpha\) is an integer.

(i) It is given that \(2 \tan 2x + 5 \tan^2 x = 0\). Denoting \(\tan x\) by \(t\), form an equation in \(t\) and hence show that either \(t = 0\) or \(t = \sqrt[3]{(t + 0.8)}\).
(ii) It is given that there is exactly one real value of \(t\) satisfying the equation \(t = \sqrt[3]{(t + 0.8)}\). Verify by calculation that this value lies between 1.2 and 1.3.
(iii) Use the iterative formula \(t_{n+1} = \sqrt[3]{(t_n + 0.8)}\) to find the value of \(t\) correct to 3 decimal places. Give the result of each iteration to 5 decimal places.
(iv) Using the values of \(t\) found in previous parts of the question, solve the equation \(2 \tan 2x + 5 \tan^2 x = 0\) for \(-\pi \leq x \leq \pi\).
The equation \(x^3 - 8x - 13 = 0\) has one real root.
(i) Find the two consecutive integers between which this root lies.
(ii) Use the iterative formula \(x_{n+1} = (8x_n + 13)^{\frac{1}{3}}\) to determine this root correct to 2 decimal places. Give the result of each iteration to 4 decimal places.
The sequence of values given by the iterative formula \(x_{n+1} = \frac{3x_n}{4} + \frac{15}{x_n^3}\), with initial value \(x_1 = 3\), converges to \(\alpha\).
(i) Use this iterative formula to find \(\alpha\) correct to 2 decimal places, giving the result of each iteration to 4 decimal places.
(ii) State an equation satisfied by \(\alpha\) and hence find the exact value of \(\alpha\).
The equation \(x^3 - 2x - 2 = 0\) has one real root.
(i) Show by calculation that this root lies between \(x = 1\) and \(x = 2\).
(ii) Prove that, if a sequence of values given by the iterative formula \(x_{n+1} = \frac{2x_n^3 + 2}{3x_n^2 - 2}\) converges, then it converges to this root.
(iii) Use this iterative formula to calculate the root correct to 2 decimal places. Give the result of each iteration to 4 decimal places.
The equation \(x^3 - x - 3 = 0\) has one real root, \(\alpha\).
(i) Show that \(\alpha\) lies between 1 and 2.
Two iterative formulae derived from this equation are as follows:
\(x_{n+1} = x_n^3 - 3, \quad (A)\)
\(x_{n+1} = (x_n + 3)^{\frac{1}{3}}, \quad (B)\)
Each formula is used with initial value \(x_1 = 1.5\).
(ii) Show that one of these formulae produces a sequence which fails to converge, and use the other formula to calculate \(\alpha\) correct to 2 decimal places. Give the result of each iteration to 4 decimal places.
(i) The equation \(x^3 + x + 1 = 0\) has one real root. Show by calculation that this root lies between \(-1\) and \(0\).
(ii) Show that, if a sequence of values given by the iterative formula \(x_{n+1} = \frac{2x_n^3 - 1}{3x_n^2 + 1}\) converges, then it converges to the root of the equation given in part (i).
(iii) Use this iterative formula, with initial value \(x_1 = -0.5\), to determine the root correct to 2 decimal places, showing the result of each iteration.
The sequence of values given by the iterative formula \(x_{n+1} = \frac{2}{3} \left( x_n + \frac{1}{x_n^2} \right)\), with initial value \(x_1 = 1\), converges to \(\alpha\).
(i) Use this formula to find \(\alpha\) correct to 2 decimal places, showing the result of each iteration.
(ii) State an equation satisfied by \(\alpha\), and hence find the exact value of \(\alpha\).
The diagram shows the curves \(y = \cos x\) and \(y = \frac{k}{1+x}\), where \(k\) is a constant, for \(0 \leq x \leq \frac{1}{2}\pi\). The curves touch at the point where \(x = p\).
(a) Show that \(p\) satisfies the equation \(\tan p = \frac{1}{1+p}\).
(b) Use the iterative formula \(p_{n+1} = \arctan\left(\frac{1}{1+p_n}\right)\) to determine the value of \(p\) correct to 3 decimal places. Give the result of each iteration to 5 decimal places.
(c) Hence find the value of \(k\) correct to 2 decimal places.

The diagram shows the curve \(y = x^4 - 2x^3 - 7x - 6\). The curve intersects the \(x\)-axis at the points \((a, 0)\) and \((b, 0)\), where \(a < b\). It is given that \(b\) is an integer.

The sequence of values given by the iterative formula
\(x_{n+1} = \frac{2x_n^6 + 12x_n}{3x_n^5 + 8}\),
with initial value \(x_1 = 2\), converges to \(\alpha\).
(i) Use the formula to calculate \(\alpha\) correct to 4 decimal places. Give the result of each iteration to 6 decimal places. [3]
(ii) State an equation satisfied by \(\alpha\) and hence find the exact value of \(\alpha\). [2]
The equation \(x^3 = 3x + 7\) has one real root, denoted by \(\alpha\).
(i) Show by calculation that \(\alpha\) lies between 2 and 3.
Two iterative formulae, \(A\) and \(B\), derived from this equation are as follows:
\(x_{n+1} = (3x_n + 7)^{\frac{1}{3}}\), \quad (A)
\(x_{n+1} = \frac{x_n^3 - 7}{3}\). \quad (B)
Each formula is used with initial value \(x_1 = 2.5\).
(ii) Show that one of these formulae produces a sequence which fails to converge, and use the other formula to calculate \(\alpha\) correct to 2 decimal places. Give the result of each iteration to 4 decimal places.
The equation \(\cot x = 1 - x\) has one root in the interval \(0 < x < \pi\), denoted by \(\alpha\).
(i) Show by calculation that \(\alpha\) is greater than 2.5.
(ii) Show that, if a sequence of values in the interval \(0 < x < \pi\) given by the iterative formula \(x_{n+1} = \pi + \arctan \left( \frac{1}{1-x_n} \right)\) converges, then it converges to \(\alpha\).
(iii) Use this iterative formula to determine \(\alpha\) correct to 3 decimal places. Give the result of each iteration to 5 decimal places.
The diagram shows the curves \(y = x \cos x\) and \(y = \frac{k}{x}\), where \(k\) is a constant, for \(0 < x \leq \frac{1}{2} \pi\). The curves touch at the point where \(x = a\).

The equation \(x^5 - 3x^3 + x^2 - 4 = 0\) has one positive root.
The equation \(x^3 - x^2 - 6 = 0\) has one real root, denoted by \(\alpha\).
(i) Find by calculation the pair of consecutive integers between which \(\alpha\) lies.
(ii) Show that, if a sequence of values given by the iterative formula \(x_{n+1} = \sqrt{x_n + \frac{6}{x_n}}\) converges, then it converges to \(\alpha\).
(iii) Use this iterative formula to determine \(\alpha\) correct to 3 decimal places. Give the result of each iteration to 5 decimal places.
The diagram shows the part of the curve \(y = x^2 \cos 3x\) for \(0 \leq x \leq \frac{1}{6}\pi\), and its maximum point \(M\), where \(x = a\).
(a) Show that \(a\) satisfies the equation \(a = \frac{1}{3} \arctan \left( \frac{2}{3a} \right)\).
(b) Use an iterative formula based on the equation in (a) to determine \(a\) correct to 2 decimal places. Give the result of each iteration to 4 decimal places.

The equation of a curve is \(y = x \ln(8 - x)\). The gradient of the curve is equal to 1 at only one point, when \(x = a\).
(i) Show that \(a\) satisfies the equation \(x = 8 - \frac{8}{\ln(8 - x)}\).
(ii) Verify by calculation that \(a\) lies between 2.9 and 3.1.
(iii) Use an iterative formula based on the equation in part (i) to determine \(a\) correct to 2 decimal places. Give the result of each iteration to 4 decimal places.
The curve with equation \(y = x^2 \cos \frac{1}{2}x\) has a stationary point at \(x = p\) in the interval \(0 < x < \pi\).
The diagram shows the curve \(y = \csc x\) for \(0 < x < \pi\) and part of the curve \(y = e^{-x}\). When \(x = a\), the tangents to the curves are parallel.
(i) By differentiating \(\frac{1}{\sin x}\), show that if \(y = \csc x\) then \(\frac{dy}{dx} = -\csc x \cot x\). [3]
(ii) By equating the gradients of the curves at \(x = a\), show that \(a = \arctan \left( \frac{e^a}{\sin a} \right)\). [2]
(iii) Verify by calculation that \(a\) lies between 1 and 1.5. [2]
(iv) Use an iterative formula based on the equation in part (ii) to determine \(a\) correct to 3 decimal places. Give the result of each iteration to 5 decimal places. [3]

A curve has parametric equations
\(x = t^2 + 3t + 1, \quad y = t^4 + 1.\)
The point \(P\) on the curve has parameter \(p\). It is given that the gradient of the curve at \(P\) is 4.
The diagram shows part of the curve with parametric equations
\(x = 2 \ln(t + 2)\), \(y = t^3 + 2t + 3\).

The diagram shows the curves \(y = e^{2x-3}\) and \(y = 2 \ln x\). When \(x = a\) the tangents to the curves are parallel.

The diagram shows the curve \(y = e^{-\frac{1}{2}x^2} \sqrt{(1 + 2x^2)}\) for \(x \geq 0\), and its maximum point \(M\).
(i) Find the exact value of the \(x\)-coordinate of \(M\). [4]
(ii) The sequence of values given by the iterative formula \(x_{n+1} = \sqrt{(\ln(4 + 8x_n^2))}\), with initial value \(x_1 = 2\), converges to a certain value \(\alpha\). State an equation satisfied by \(\alpha\) and hence show that \(\alpha\) is the \(x\)-coordinate of a point on the curve where \(y = 0.5\). [3]
(iii) Use the iterative formula to determine \(\alpha\) correct to 2 decimal places. Give the result of each iteration to 4 decimal places. [3]

The curve \(y = \frac{\ln x}{x + 1}\) has one stationary point.
(i) Show that the \(x\)-coordinate of this point satisfies the equation \(x = \frac{x + 1}{\ln x}\), and that this \(x\)-coordinate lies between 3 and 4.
(ii) Use the iterative formula \(x_{n+1} = \frac{x_n + 1}{\ln x_n}\) to determine the \(x\)-coordinate correct to 2 decimal places. Give the result of each iteration to 4 decimal places.
The diagram shows the curve \(y = \frac{\sin x}{x}\) for \(0 < x \leq 2\pi\), and its minimum point \(M\).
(i) Show that the \(x\)-coordinate of \(M\) satisfies the equation \(x = \tan x\).
(ii) The iterative formula \(x_{n+1} = \arctan(x_n) + \pi\) can be used to determine the \(x\)-coordinate of \(M\). Use this formula to determine the \(x\)-coordinate of \(M\) correct to 2 decimal places. Give the result of each iteration to 4 decimal places.

The equation of a curve is \(y = \ln x + \frac{2}{x}\), where \(x > 0\).
(i) Find the coordinates of the stationary point of the curve and determine whether it is a maximum or a minimum point.
(ii) The sequence of values given by the iterative formula \(x_{n+1} = \frac{2}{3 - \ln x_n}\), with initial value \(x_1 = 1\), converges to \(\alpha\). State an equation satisfied by \(\alpha\), and hence show that \(\alpha\) is the \(x\)-coordinate of a point on the curve where \(y = 3\).
(iii) Use this iterative formula to find \(\alpha\) correct to 2 decimal places, showing the result of each iteration.
The curve with equation \(y = \frac{x^3}{e^x - 1}\) has a stationary point at \(x = p\), where \(p > 0\).
(a) Show that \(p = 3(1 - e^{-p})\).
(b) Verify by calculation that \(p\) lies between 2.5 and 3.
(c) Use an iterative formula based on the equation in part (a) to determine \(p\) correct to 2 decimal places. Give the result of each iteration to 4 decimal places.
The equation of a curve is \(y = \frac{x}{\cos^2 x}\), for \(0 \leq x < \frac{1}{2}\pi\). At the point where \(x = a\), the tangent to the curve has gradient equal to 12.
(a) Show that \(a = \cos^{-1} \left( \sqrt[3]{\frac{\cos a + 2a \sin a}{12}} \right)\).
(b) Verify by calculation that \(a\) lies between 0.9 and 1.
(c) Use an iterative formula based on the equation in part (a) to determine \(a\) correct to 2 decimal places. Give the result of each iteration to 4 decimal places.
The curve \(y = x \sqrt{\sin x}\) has one stationary point in the interval \(0 < x < \pi\), where \(x = a\) (see diagram).
(a) Show that \(\tan a = -\frac{1}{2}a\).
(b) Verify by calculation that \(a\) lies between 2 and 2.5.
(c) Show that if a sequence of values in the interval \(0 < x < \pi\) given by the iterative formula \(x_{n+1} = \pi - \arctan\left(\frac{1}{2}x_n\right)\) converges, then it converges to \(a\), the root of the equation in part (a).
(d) Use the iterative formula given in part (c) to determine \(a\) correct to 2 decimal places. Give the result of each iteration to 4 decimal places.

The equation of a curve is \(y = \sqrt{\tan x}\), for \(0 \leq x < \frac{1}{2}\pi\).
(a) Express \(\frac{dy}{dx}\) in terms of \(\tan x\), and verify that \(\frac{dy}{dx} = 1\) when \(x = \frac{1}{4}\pi\).
The value of \(\frac{dy}{dx}\) is also 1 at another point on the curve where \(x = a\), as shown in the diagram.
(b) Show that \(t^3 + t^2 + 3t - 1 = 0\), where \(t = \tan a\).
(c) Use the iterative formula \(a_{n+1} = \arctan \left( \frac{1}{3} (1 - \tan^2 a_n - \tan^3 a_n) \right)\) to determine \(a\) correct to 2 decimal places, giving the result of each iteration to 4 decimal places.

The diagram shows the curve \(y = \frac{\arctan x}{\sqrt{x}}\) and its maximum point \(M\) where \(x = a\).
(a) Show that \(a\) satisfies the equation \(a = \tan \left( \frac{2a}{1 + a^2} \right)\).
(b) Verify by calculation that \(a\) lies between 1.3 and 1.5.
(c) Use an iterative formula based on the equation in part (a) to determine \(a\) correct to 2 decimal places. Give the result of each iteration to 4 decimal places.

Let \(f(x) = \frac{e^{2x} + 1}{e^{2x} - 1}\), for \(x > 0\).
(a) The equation \(x = f(x)\) has one root, denoted by \(a\). Verify by calculation that \(a\) lies between 1 and 1.5. [2]
(b) Use an iterative formula based on the equation in part (a) to determine \(a\) correct to 2 decimal places. Give the result of each iteration to 4 decimal places. [3]
(c) Find \(f'(x)\). Hence find the exact value of \(x\) for which \(f'(x) = -8\). [6]
The curve with equation \(y = e^{-2x} \ln(x-1)\) has a stationary point when \(x = p\).
The diagram shows the curves \(y = 4 \, \cos \frac{1}{2} x\) and \(y = \frac{1}{4-x}\), for \(0 \leq x < 4\). When \(x = a\), the tangents to the curves are perpendicular.

The constant a is such that \(\int_0^a xe^{-2x} \, dx = \frac{1}{8}\).
(a) Show that \(a = \frac{1}{2} \ln(4a + 2)\).
(b) Verify by calculation that a lies between 0.5 and 1.
(c) Use an iterative formula based on the equation in (a) to determine a correct to 2 decimal places. Give the result of each iteration to 4 decimal places.
It is given that \(\int_{1}^{a} \ln(2x) \, dx = 1\), where \(a > 1\).
(i) Show that \(a = \frac{1}{2} \exp \left( 1 + \frac{\ln 2}{a} \right)\), where \(\exp(x)\) denotes \(e^x\).
(ii) Use the iterative formula \(a_{n+1} = \frac{1}{2} \exp \left( 1 + \frac{\ln 2}{a_n} \right)\) to determine the value of \(a\) correct to 2 decimal places. Give the result of each iteration to 4 decimal places.
It is given that \(\int_0^p 4xe^{-\frac{1}{2}x} \, dx = 9\), where \(p\) is a positive constant.
(i) Show that \(p = 2 \ln \left( \frac{8p + 16}{7} \right)\).
(ii) Use an iterative process based on the equation in part (i) to find the value of \(p\) correct to 3 significant figures. Use a starting value of 3.5 and give the result of each iteration to 5 significant figures.
The diagram shows part of the curve \(y = \\cos(\sqrt{x})\) for \(x \geq 0\), where \(x\) is in radians. The shaded region between the curve, the axes and the line \(x = p^2\), where \(p > 0\), is denoted by \(R\). The area of \(R\) is equal to 1.
(i) Use the substitution \(x = u^2\) to find \(\int_0^{p^2} \cos(\sqrt{x}) \, dx\). Hence show that \(\sin p = \frac{3 - 2 \cos p}{2p}\).
(ii) Use the iterative formula \(p_{n+1} = \sin^{-1} \left( \frac{3 - 2 \cos p_n}{2p_n} \right)\), with initial value \(p_1 = 1\), to find the value of \(p\) correct to 2 decimal places. Give the result of each iteration to 4 decimal places.

It is given that \(\int_1^a x \ln x \, dx = 22\), where \(a\) is a constant greater than 1.
(i) Show that \(a = \sqrt{\frac{87}{2 \ln a - 1}}\).
(ii) Use an iterative formula based on the equation in part (i) to find the value of \(a\) correct to 2 decimal places. Use an initial value of 6 and give the result of each iteration to 4 decimal places.
(i) Given that \(\int_1^a \frac{\ln x}{x^2} \, dx = \frac{2}{5}\), show that \(a = \frac{5}{3}(1 + \ln a)\).
(ii) Use an iteration formula based on the equation \(a = \frac{5}{3}(1 + \ln a)\) to find the value of \(a\) correct to 2 decimal places. Use an initial value of 4 and give the result of each iteration to 4 decimal places.
The diagram shows the curve \(y = x \cos 2x\) for \(0 \leq x \leq \frac{1}{4} \pi\). The point \(M\) is a maximum point.

The constant \(a\) is such that \(\int_{1}^{a} x^2 \ln x \, dx = 4\).
(a) Show that \(a = \left( \frac{35}{3 \ln a - 1} \right)^{\frac{1}{3}}\).
(b) Verify by calculation that \(a\) lies between 2.4 and 2.8.
(c) Use an iterative formula based on the equation in part (a) to determine \(a\) correct to 2 decimal places. Give the result of each iteration to 4 decimal places.
The constant \(a\) is such that \(\int_1^a \frac{\ln x}{\sqrt{x}} \, dx = 6\).
(a) Show that \(a = \exp \left( \frac{1}{\sqrt{a}} + 2 \right)\).
[\(\exp(x)\) is an alternative notation for \(e^x\).]
(b) Verify by calculation that \(a\) lies between 9 and 11.
(c) Use an iterative formula based on the equation in part (a) to determine \(a\) correct to 2 decimal places. Give the result of each iteration to 4 decimal places.
The diagram shows the curve \(y = \sqrt{x} \cos x\), for \(0 \leq x \leq \frac{3}{2}\pi\), and its minimum point \(M\), where \(x = a\). The shaded region between the curve and the x-axis is denoted by \(R\).
(a) Show that \(a\) satisfies the equation \(\tan a = \frac{1}{2a}\).
(b) The sequence of values given by the iterative formula \(a_{n+1} = \pi + \arctan\left(\frac{1}{2a_n}\right)\), with initial value \(x_1 = 3\), converges to \(a\). Use this formula to determine \(a\) correct to 2 decimal places. Give the result of each iteration to 4 decimal places.
(c) Find the volume of the solid obtained when the region \(R\) is rotated completely about the x-axis. Give your answer in terms of \(\pi\).

It is given that \(\int_0^a x \cos \frac{1}{3}x \, dx = 3\), where the constant \(a\) is such that \(0 < a < \frac{3}{2}\pi\).
(i) Show that \(a\) satisfies the equation \(a = \frac{4 - 3 \cos \frac{1}{3}a}{\sin \frac{1}{3}a}.\)
(ii) Verify by calculation that \(a\) lies between 2.5 and 3.
(iii) Use an iterative formula based on the equation in part (i) to calculate \(a\) correct to 3 decimal places. Give the result of each iteration to 5 decimal places.
The positive constant \(a\) is such that \(\int_0^a x e^{-\frac{1}{2}x} \, dx = 2\).
(i) Show that \(a\) satisfies the equation \(a = 2 \ln(a + 2)\).
(ii) Verify by calculation that \(a\) lies between 3 and 3.5.
(iii) Use an iteration based on the equation in part (i) to determine \(a\) correct to 2 decimal places. Give the result of each iteration to 4 decimal places.
It is given that \(\int_{1}^{a} x^{-2} \ln x \, dx = 2\), where \(a > 1\).
(i) Show that \(a^{\frac{3}{2}} = \frac{7 + 2a^{\frac{3}{2}}}{3 \ln a}\).
(ii) Show by calculation that \(a\) lies between 2 and 4.
(iii) Use the iterative formula \(a_{n+1} = \left( \frac{7 + 2a_n^{\frac{3}{2}}}{3 \ln a_n} \right)^{\frac{2}{3}}\) to determine \(a\) correct to 3 decimal places. Give the result of each iteration to 5 decimal places.
The diagram shows the curve \(y = x^2 \cos 2x\) for \(0 \leq x \leq \frac{1}{4}\pi\). The curve has a maximum point at \(M\) where \(x = p\).
(i) Show that \(p\) satisfies the equation \(p = \frac{1}{2} \arctan \left( \frac{1}{p} \right)\).
(ii) Use the iterative formula \(p_{n+1} = \frac{1}{2} \arctan \left( \frac{1}{p_n} \right)\) to determine the value of \(p\) correct to 2 decimal places. Give the result of each iteration to 4 decimal places.
(iii) Find, showing all necessary working, the exact area of the region bounded by the curve and the \(x\)-axis.

It is given that \(\int_0^a x \cos x \, dx = 0.5\), where \(0 < a < \frac{1}{2} \pi\).
(i) Show that \(a\) satisfies the equation \(\sin a = \frac{1.5 - \cos a}{a}\).
(ii) Verify by calculation that \(a\) is greater than 1.
(iii) Use the iterative formula \(a_{n+1} = \sin^{-1} \left( \frac{1.5 - \cos a_n}{a_n} \right)\) to determine the value of \(a\) correct to 4 decimal places, giving the result of each iteration to 6 decimal places.
The diagram shows a circle with centre O and radius r. The angle of the minor sector AOB of the circle is x radians. The area of the major sector of the circle is 3 times the area of the shaded region.
\((a) Show that x = \frac{3}{4} \sin x + \frac{1}{2} \pi.\)
(b) Show by calculation that the root of the equation in (a) lies between 2 and 2.5.
(c) Use an iterative formula based on the equation in (a) to calculate this root correct to 2 decimal places. Give the result of each iteration to 4 decimal places.

In the diagram, A is a point on the circumference of a circle with centre O and radius r. A circular arc with centre A meets the circumference at B and C. The angle OAB is θ radians. The shaded region is bounded by the circumference of the circle and the arc with centre A joining B and C. The area of the shaded region is equal to half the area of the circle.
(i) Show that \(\cos 2θ = \frac{2 \sin 2θ - π}{4θ}\).
(ii) Use the iterative formula \(θ_{n+1} = \frac{1}{2} \cos^{-1} \left( \frac{2 \sin 2θ_n - π}{4θ_n} \right)\), with initial value \(θ_1 = 1\), to determine \(θ\) correct to 2 decimal places, showing the result of each iteration to 4 decimal places.

In the diagram, ABC is a triangle in which angle ABC is a right angle and BC = a. A circular arc, with centre C and radius a, joins B and the point M on AC. The angle ACB is b8 radians. The area of the sector CMB is equal to one third of the area of the triangle ABC.
(i) Show that b8 satisfies the equation
\(\tan \theta = 3\theta\).
(ii) This equation has one root in the interval \(0 < \theta < \frac{1}{2}\pi\). Use the iterative formula
\(\theta_{n+1} = \arctan(3\theta_n)\)
to determine the root correct to 2 decimal places. Give the result of each iteration to 4 decimal places.

The diagram shows a semicircle ACB with centre O and radius r. The tangent at C meets AB produced at T. The angle BOC is x radians. The area of the shaded region is equal to the area of the semicircle.
(i) Show that x satisfies the equation \(\tan x = x + \pi\).
(ii) Use the iterative formula \(x_{n+1} = \arctan(x_n + \pi)\) to determine x correct to 2 decimal places. Give the result of each iteration to 4 decimal places.

The diagram shows a circle with centre O and radius 10 cm. The chord AB divides the circle into two regions whose areas are in the ratio 1 : 4 and it is required to find the length of AB. The angle AOB is \(\theta\) radians.
(i) Show that \(\theta = \frac{2}{5}\pi + \sin \theta\).
(ii) Showing all your working, use an iterative formula, based on the equation in part (i), with an initial value of 2.1, to find \(\theta\) correct to 2 decimal places. Hence find the length of AB in centimetres correct to 1 decimal place.

The diagram shows a semicircle ACB with centre O and radius r. The angle BOC is x radians. The area of the shaded segment is a quarter of the area of the semicircle.
(i) Show that x satisfies the equation
\(x = \frac{3}{4}\pi - \sin x\).
(ii) This equation has one root. Verify by calculation that the root lies between 1.3 and 1.5.
(iii) Use the iterative formula
\(x_{n+1} = \frac{3}{4}\pi - \sin x_n\)
to determine the root correct to 2 decimal places. Give the result of each iteration to 4 decimal places.

In the diagram, ABCD is a rectangle with AB = 3a and AD = a. A circular arc, with centre A and radius r, joins points M and N on AB and CD respectively. The angle MAN is x radians. The perimeter of the sector AMN is equal to half the perimeter of the rectangle.

The diagram shows a sector AOB of a circle with centre O and radius r. The angle AOB is \(\alpha\) radians, where \(0 < \alpha < \pi\). The area of triangle AOB is half the area of the sector.

The diagram shows a curved rod AB of length 100 cm which forms an arc of a circle. The end points A and B of the rod are 99 cm apart. The circle has radius r cm and the arc AB subtends an angle of 2α radians at O, the centre of the circle.
(i) Show that α satisfies the equation \(\frac{99}{100}x = \sin x\).
(ii) Given that this equation has exactly one root in the interval \(0 < x < \frac{1}{2} \pi\), verify by calculation that this root lies between 0.1 and 0.5.
(iii) Show that if the sequence of values given by the iterative formula \(x_{n+1} = 50 \sin x_n - 48.5 x_n\) converges, then it converges to a root of the equation in part (i).
(iv) Use this iterative formula, with initial value \(x_1 = 0.25\), to find α correct to 3 decimal places, showing the result of each iteration.

The diagram shows a semicircle with diameter \(AB\), centre \(O\) and radius \(r\). The shaded region is the minor segment on the chord \(AC\) and its area is one third of the area of the semicircle. The angle \(CAB\) is \(\theta\) radians.
(a) Show that \(\theta = \frac{1}{3}(\pi - 1.5 \sin 2\theta)\).
(b) Verify by calculation that \(0.5 < \theta < 0.7\).
(c) Use an iterative formula based on the equation in part (a) to determine \(\theta\) correct to 3 decimal places. Give the result of each iteration to 5 decimal places.

The diagram shows a trapezium ABCD in which AD = BC = r and AB = 2r. The acute angles BAD and ABC are both equal to x radians. Circular arcs of radius r with centres A and B meet at M, the midpoint of AB.
(a) Given that the sum of the areas of the shaded sectors is 90% of the area of the trapezium, show that x satisfies the equation x = 0.9(2 - \cos x) \sin x.
(b) Verify by calculation that x lies between 0.5 and 0.7.
(c) Show that if a sequence of values in the interval 0 < x < \frac{1}{2}\pi given by the iterative formula \(x_{n+1} = \cos^{-1} \left( \frac{2 - x_n}{0.9 \sin x_n} \right)\) converges, then it converges to the root of the equation in part (a).
(d) Use this iterative formula to determine x correct to 2 decimal places. Give the result of each iteration to 4 decimal places.

The diagram shows a circle with centre O and radius r. The tangents to the circle at the points A and B meet at T, and angle AOB is 2x radians. The shaded region is bounded by the tangents AT and BT, and by the minor arc AB. The area of the shaded region is equal to the area of the circle.
(a) Show that x satisfies the equation \(\tan x = \pi + x\).
(b) This equation has one root in the interval \(0 < x < \frac{1}{2}\pi\). Verify by calculation that this root lies between 1 and 1.4.
(c) Use the iterative formula \(x_{n+1} = \arctan(\pi + x_n)\) to determine the root correct to 2 decimal places. Give the result of each iteration to 4 decimal places.

In the diagram, A is the mid-point of the semicircle with centre O and radius r. A circular arc with centre A meets the semicircle at B and C. The angle OAB is equal to x radians. The area of the shaded region bounded by AB, AC and the arc with centre A is equal to half the area of the semicircle.

The diagram shows a triangle ABC in which AB = AC = a and angle BAC = \theta radians. Semicircles are drawn outside the triangle with AB and AC as diameters. A circular arc with centre A joins B and C. The area of the shaded segment is equal to the sum of the areas of the semicircles.

The diagram shows a semicircle with centre O, radius r and diameter AB. The point P on its circumference is such that the area of the minor segment on AP is equal to half the area of the minor segment on BP. The angle AOP is x radians.

The diagram shows a circle with centre O and radius r. The tangents to the circle at the points A and B meet at T, and the angle AOB is 2x radians. The shaded region is bounded by the tangents AT and BT, and by the minor arc AB. The perimeter of the shaded region is equal to the circumference of the circle.
(i) Show that x satisfies the equation \(\tan x = \pi - x\).
(ii) This equation has one root in the interval \(0 < x < \frac{1}{2}\pi\). Verify by calculation that this root lies between 1 and 1.3.
(iii) Use the iterative formula \(x_{n+1} = \arctan(\pi - x_n)\) to determine the root correct to 2 decimal places. Give the result of each iteration to 4 decimal places.

In the diagram, A is a point on the circumference of a circle with centre O and radius r. A circular arc with centre A meets the circumference at B and C. The angle OAB is equal to x radians. The shaded region is bounded by AB, AC and the circular arc with centre A joining B and C. The perimeter of the shaded region is equal to half the circumference of the circle.

(a) By sketching a suitable pair of graphs, show that the equation \(\cot x = 2 - \cos x\) has one root in the interval \(0 < x \leq \frac{1}{2}\pi\).
(b) Show by calculation that this root lies between 0.6 and 0.8.
(c) Use the iterative formula \(x_{n+1} = \arctan\left( \frac{1}{2 - \cos x_n} \right)\) to determine the root correct to 2 decimal places. Give the result of each iteration to 4 decimal places.
(i) By sketching a suitable pair of graphs, show that the equation \(x^3 = 3 - x\) has exactly one real root.
(ii) Show that if a sequence of real values given by the iterative formula \(x_{n+1} = \frac{2x_n^3 + 3}{3x_n^2 + 1}\) converges, then it converges to the root of the equation in part (i).
(iii) Use this iterative formula to determine the root correct to 3 decimal places. Give the result of each iteration to 5 decimal places.
The curve with equation \(y = \frac{\ln x}{3 + x}\) has a stationary point at \(x = p\).
(i) By sketching suitable graphs, show that the equation \(e^{2x} = 6 + e^{-x}\) has exactly one real root.
(ii) Verify by calculation that this root lies between 0.5 and 1.
(iii) Show that if a sequence of values given by the iterative formula \(x_{n+1} = \frac{1}{3} \ln(1 + 6e^{x_n})\) converges, then it converges to the root of the equation in part (i).
(iv) Use this iterative formula to calculate the root correct to 3 decimal places. Give the result of each iteration to 5 decimal places.
(i) By sketching suitable graphs, show that the equation \(e^{-\frac{1}{2}x} = 4 - x^2\) has one positive root and one negative root.
(ii) Verify by calculation that the negative root lies between \(-1\) and \(-1.5\).
(iii) Use the iterative formula \(x_{n+1} = -\sqrt{4 - e^{-\frac{1}{2}x_n}}\) to determine this root correct to 2 decimal places. Give the result of each iteration to 4 decimal places.
(i) By sketching a suitable pair of graphs, show that the equation \(\csc \frac{1}{2}x = \frac{1}{3}x + 1\) has one root in the interval \(0 < x \leq \pi\).
(ii) Show by calculation that this root lies between 1.4 and 1.6.
(iii) Show that, if a sequence of values in the interval \(0 < x \leq \pi\) given by the iterative formula \(x_{n+1} = 2 \sin^{-1} \left( \frac{3}{x_n + 3} \right)\) converges, then it converges to the root of the equation in part (i).
(iv) Use this iterative formula to calculate the root correct to 3 decimal places. Give the result of each iteration to 5 decimal places.
(i) By sketching a suitable pair of graphs, show that the equation \(5e^{-x} = \sqrt{x}\) has one root.
(ii) Show that, if a sequence of values given by the iterative formula \(x_{n+1} = \frac{1}{2} \ln\left(\frac{25}{x_n}\right)\) converges, then it converges to the root of the equation in part (i).
(iii) Use this iterative formula, with initial value \(x_1 = 1\), to calculate the root correct to 2 decimal places. Give the result of each iteration to 4 decimal places.
(i) Sketch the curve \(y = \ln(x + 1)\) and hence, by sketching a second curve, show that the equation \(x^3 + \ln(x + 1) = 40\) has exactly one real root. State the equation of the second curve.
(ii) Verify by calculation that the root lies between 3 and 4.
(iii) Use the iterative formula \(x_{n+1} = \sqrt[3]{40 - \ln(x_n + 1)}\), with a suitable starting value, to find the root correct to 3 decimal places. Give the result of each iteration to 5 decimal places.
(iv) Deduce the root of the equation \((e^y - 1)^3 + y = 40\), giving the answer correct to 2 decimal places.
(i) By sketching each of the graphs \(y = \csc x\) and \(y = x(\pi - x)\) for \(0 < x < \pi\), show that the equation \(\csc x = x(\pi - x)\) has exactly two real roots in the interval \(0 < x < \pi\).
(ii) Show that the equation \(\csc x = x(\pi - x)\) can be written in the form \(x = \frac{1 + x^2 \sin x}{\pi \sin x}\).
(iii) The two real roots of the equation \(\csc x = x(\pi - x)\) in the interval \(0 < x < \pi\) are denoted by \(\alpha\) and \(\beta\), where \(\alpha < \beta\).
(a) Use the iterative formula \(x_{n+1} = \frac{1 + x_n^2 \sin x_n}{\pi \sin x_n}\) to find \(\alpha\) correct to 2 decimal places. Give the result of each iteration to 4 decimal places.
(b) Deduce the value of \(\beta\) correct to 2 decimal places.
(i) By sketching a suitable pair of graphs, show that the equation \(\sec x = 3 - \frac{1}{2}x^2\), where \(x\) is in radians, has a root in the interval \(0 < x < \frac{1}{2}\pi\).
(ii) Verify by calculation that this root lies between 1 and 1.4.
(iii) Show that this root also satisfies the equation \(x = \cos^{-1}\left( \frac{2}{6 - x^2} \right)\).
(iv) Use an iterative formula based on the equation in part (iii) to determine the root correct to 2 decimal places. Give the result of each iteration to 4 decimal places.
(i) By sketching a suitable pair of graphs, show that the equation \(\cot x = 1 + x^2\), where \(x\) is in radians, has only one root in the interval \(0 < x < \frac{1}{2}\pi\).
(ii) Verify by calculation that this root lies between 0.5 and 0.8.
(iii) Use the iterative formula \(x_{n+1} = \arctan\left( \frac{1}{1 + x_n^2} \right)\) to determine this root correct to 2 decimal places. Give the result of each iteration to 4 decimal places.
(a) By sketching a suitable pair of graphs, show that the equation \(\sqrt{x} = e^x - 3\) has only one root.
(b) Show by calculation that this root lies between 1 and 2.
(c) Show that, if a sequence of values given by the iterative formula \(x_{n+1} = \ln(3 + \sqrt{x_n})\) converges, then it converges to the root of the equation in (a).
(d) Use the iterative formula to calculate the root correct to 2 decimal places. Give the result of each iteration to 4 decimal places.
(i) By sketching suitable graphs, show that the equation \(4x^2 - 1 = \cot x\) has only one root in the interval \(0 < x < \frac{1}{2}\pi\).
(ii) Verify by calculation that this root lies between 0.6 and 1.
(iii) Use the iterative formula \(x_{n+1} = \frac{1}{2}\sqrt{1 + \cot x_n}\) to determine the root correct to 2 decimal places. Give the result of each iteration to 4 decimal places.
The constant a is such that \(\int_{0}^{a} xe^{\frac{1}{2}x} \, dx = 6\).
(i) Show that a satisfies the equation \(x = 2 + e^{-\frac{1}{2}x}\).
(ii) By sketching a suitable pair of graphs, show that this equation has only one root.
(iii) Verify by calculation that this root lies between 2 and 2.5.
(iv) Use an iterative formula based on the equation in part (i) to calculate the value of a correct to 2 decimal places. Give the result of each iteration to 4 decimal places.
(i) By sketching a suitable pair of graphs, show that the equation \(2 - x = \ln x\) has only one root.
(ii) Verify by calculation that this root lies between 1.4 and 1.7.
(iii) Show that this root also satisfies the equation \(x = \frac{1}{3}(4 + x - 2 \ln x)\).
(iv) Use the iterative formula \(x_{n+1} = \frac{1}{3}(4 + x_n - 2 \ln x_n)\), with initial value \(x_1 = 1.5\), to determine this root correct to 2 decimal places. Give the result of each iteration to 4 decimal places.
(i) By sketching a suitable pair of graphs, show that the equation \(2 \cot x = 1 + e^x\), where \(x\) is in radians, has only one root in the interval \(0 < x < \frac{1}{2} \pi\).
(ii) Verify by calculation that this root lies between 0.5 and 1.0.
(iii) Show that this root also satisfies the equation \(x = \arctan\left(\frac{2}{1 + e^x}\right)\).
(iv) Use the iterative formula \(x_{n+1} = \arctan\left(\frac{2}{1 + e^{x_n}}\right)\), with initial value \(x_1 = 0.7\), to determine this root correct to 2 decimal places. Give the result of each iteration to 4 decimal places.
(i) By sketching a suitable pair of graphs, show that the equation \(\csc x = \frac{1}{2}x + 1\), where \(x\) is in radians, has a root in the interval \(0 < x < \frac{1}{2}\pi\).
(ii) Verify, by calculation, that this root lies between 0.5 and 1.
(iii) Show that this root also satisfies the equation \(x = \sin^{-1} \left( \frac{2}{x+2} \right)\).
(iv) Use the iterative formula \(x_{n+1} = \sin^{-1} \left( \frac{2}{x_n+2} \right)\), with initial value \(x_1 = 0.75\), to determine this root correct to 2 decimal places. Give the result of each iteration to 4 decimal places.
The diagram shows a sector OAB of a circle with centre O and radius r. The angle AOB is \(\alpha\) radians, where \(0 < \alpha < \frac{1}{2}\pi\). The point N on OA is such that BN is perpendicular to OA. The area of the triangle ONB is half the area of the sector OAB.

(i) By sketching suitable graphs, show that the equation \(\sec x = 3 - x^2\) has exactly one root in the interval \(0 < x < \frac{1}{2}\pi\).
(ii) Show that, if a sequence of values given by the iterative formula \(x_{n+1} = \cos^{-1} \left( \frac{1}{3-x_n^2} \right)\) converges, then it converges to a root of the equation given in part (i).
(iii) Use this iterative formula, with initial value \(x_1 = 1\), to determine the root in the interval \(0 < x < \frac{1}{2}\pi\) correct to 2 decimal places, showing the result of each iteration.
(a) By sketching a suitable pair of graphs, show that the equation \(\ln x = 3x - x^2\) has one real root.
(b) Verify by calculation that the root lies between 2 and 2.8.
(c) Use the iterative formula \(x_{n+1} = \sqrt{3x_n - \ln x_n}\) to determine the root correct to 2 decimal places. Give the result of each iteration to 4 decimal places.
(a) By sketching a suitable pair of graphs, show that the equation \(4 - x^2 = \sec \frac{1}{2}x\) has exactly one root in the interval \(0 \leq x < \pi\).
(b) Verify by calculation that this root lies between 1 and 2.
(c) Use the iterative formula \(x_{n+1} = \sqrt{4 - \sec \frac{1}{2}x_n}\) to determine the root correct to 2 decimal places. Give the result of each iteration to 4 decimal places.
(a) By sketching a suitable pair of graphs, show that the equation \(\cot \frac{1}{2}x = 1 + e^{-x}\) has exactly one root in the interval \(0 < x \leq \pi\).
(b) Verify by calculation that this root lies between 1 and 1.5.
(c) Use the iterative formula \(x_{n+1} = 2 \arctan \left( \frac{1}{1 + e^{-x_n}} \right)\) to determine the root correct to 2 decimal places. Give the result of each iteration to 4 decimal places.
(a) By sketching a suitable pair of graphs, show that the equation \(\csc x = 1 + e^{-\frac{1}{2}x}\) has exactly two roots in the interval \(0 < x < \pi\).
(b) The sequence of values given by the iterative formula \(x_{n+1} = \pi - \sin^{-1}\left( \frac{1}{e^{-\frac{1}{2}x_n} + 1} \right)\), with initial value \(x_1 = 2\), converges to one of these roots. Use the formula to determine this root correct to 2 decimal places. Give the result of each iteration to 4 decimal places.
(a) By sketching a suitable pair of graphs, show that the equation \(x^5 = 2 + x\) has exactly one real root.
(b) Show that if a sequence of values given by the iterative formula \(x_{n+1} = \frac{4x_n^5 + 2}{5x_n^4 - 1}\) converges, then it converges to the root of the equation in part (a).
(c) Use the iterative formula with initial value \(x_1 = 1.5\) to calculate the root correct to 3 decimal places. Give the result of each iteration to 5 decimal places.
(a) By sketching a suitable pair of graphs, show that the equation \(\sec x = 2 - \frac{1}{2}x\) has exactly one root in the interval \(0 \leq x < \frac{1}{2}\pi\).
(b) Verify by calculation that this root lies between 0.8 and 1.
(c) Use the iterative formula \(x_{n+1} = \cos^{-1}\left(\frac{2}{4-x_n}\right)\) to determine the root correct to 2 decimal places. Give the result of each iteration to 4 decimal places.
(i) By sketching a suitable pair of graphs, show that the equation \(\ln(x+2) = 4e^{-x}\) has exactly one real root.
(ii) Show by calculation that this root lies between \(x = 1\) and \(x = 1.5\).
(iii) Use the iterative formula \(x_{n+1} = \ln\left( \frac{4}{\ln(x_n + 2)} \right)\) to determine the root correct to 2 decimal places. Give the result of each iteration to 4 decimal places.
A particle A of mass 0.5 kg is projected vertically upwards from horizontal ground with speed 25 m s-1.
(a) Find the speed of A when it reaches a height of 20 m above the ground.
When A reaches a height of 20 m, it collides with a particle B of mass 0.3 kg which is moving downwards in the same vertical line as A with speed 32.5 m s-1. In the collision between the two particles, B is brought to instantaneous rest.
(b) Show that the velocity of A immediately after the collision is 4.5 m s-1 downwards.
(c) Find the time interval between A and B reaching the ground. You should assume that A does not bounce when it reaches the ground.
Two particles P and Q, of masses 0.3 kg and 0.2 kg respectively, are at rest on a smooth horizontal plane. P is projected at a speed of 4 m s-1 directly towards Q. After P and Q collide, Q begins to move with a speed of 3 m s-1.
(a) Find the speed of P after the collision.
After the collision, Q moves directly towards a third particle R, of mass m kg, which is at rest on the plane. The two particles Q and R coalesce on impact and move with a speed of 2 m s-1.
(b) Find m.
Small smooth spheres A and B, of equal radii and of masses 5 kg and 3 kg respectively, lie on a smooth horizontal plane. Initially B is at rest and A is moving towards B with speed 8.5 m/s. The spheres collide and after the collision A continues to move in the same direction but with a quarter of the speed of B.
(a) Find the speed of B after the collision.
(b) Find the loss of kinetic energy of the system due to the collision.
Two particles A and B, of masses 0.4 kg and 0.2 kg respectively, are moving down the same line of greatest slope of a smooth plane. The plane is inclined at 30° to the horizontal, and A is higher up the plane than B. When the particles collide, the speeds of A and B are 3 m/s and 2 m/s respectively. In the collision between the particles, the speed of A is reduced to 2.5 m/s.
(a) Find the speed of B immediately after the collision.
After the collision, when B has moved 1.6 m down the plane from the point of collision, it hits a barrier and returns back up the same line of greatest slope. B hits the barrier 0.4 s after the collision, and when it hits the barrier, its speed is reduced by 90%. The two particles collide again 0.44 s after their previous collision, and they then coalesce on impact.
(b) Show that the speed of B immediately after it hits the barrier is 0.5 m/s-1. Hence find the speed of the combined particle immediately after the second collision between A and B.
A bead, A, of mass 0.1 kg is threaded on a long straight rigid wire which is inclined at \(\sin^{-1}\left(\frac{7}{25}\right)\) to the horizontal. A is released from rest and moves down the wire. The coefficient of friction between A and the wire is \(\mu\). When A has travelled 0.45 m down the wire, its speed is 0.6 m s\(^{-1}\).
(a) Show that \(\mu = 0.25\).
Another bead, B, of mass 0.5 kg is also threaded on the wire. At the point where A has travelled 0.45 m down the wire, it hits B which is instantaneously at rest on the wire. A is brought to instantaneous rest in the collision. The coefficient of friction between B and the wire is 0.275.
(b) Find the time from when the collision occurs until A collides with B again.
A metal post is driven vertically into the ground by dropping a heavy object onto it from above. The mass of the object is 120 kg and the mass of the post is 40 kg (see diagram). The object hits the post with speed 8 m/s and remains in contact with it after the impact.
(a) Calculate the speed with which the combined post and object moves immediately after the impact.
(b) There is a constant force resisting the motion of magnitude 4800 N. Calculate the distance the post is driven into the ground.

Particles P and Q have masses m kg and 2m kg respectively. The particles are initially held at rest 6.4 m apart on the same line of greatest slope of a rough plane inclined at an angle α to the horizontal, where \\sin α = 0.8\\ (see diagram). Particle P is released from rest and slides down the line of greatest slope. Simultaneously, particle Q is projected up the same line of greatest slope at a speed of 10 m s-1. The coefficient of friction between each particle and the plane is 0.6.

Two small smooth spheres A and B, of equal radii and of masses \(km\) kg and \(m\) kg respectively, where \(k > 1\), are free to move on a smooth horizontal plane. A is moving towards B with speed 6 m s-1 and B is moving towards A with speed 2 m s-1. After the collision A and B coalesce and move with speed 4 m s-1.
Particles P of mass 0.4 kg and Q of mass 0.5 kg are free to move on a smooth horizontal plane. P and Q are moving directly towards each other with speeds 2.5 m s-1 and 1.5 m s-1 respectively. After P and Q collide, the speed of Q is twice the speed of P.
Find the two possible values of the speed of P after the collision.
A particle A is projected vertically upwards from level ground with an initial speed of 30 m s-1. At the same instant a particle B is released from rest 15 m vertically above A. The mass of one of the particles is twice the mass of the other particle. During the subsequent motion A and B collide and coalesce to form particle C.
Find the difference between the two possible times at which C hits the ground.
Three particles P, Q and R, of masses 0.1 kg, 0.2 kg and 0.5 kg respectively, are at rest in a straight line on a smooth horizontal plane. Particle P is projected towards Q at a speed of 5 m s-1. After P and Q collide, P rebounds with speed 1 m s-1.
Two particles P and Q, of masses 6 kg and 2 kg respectively, lie at rest 12.5 m apart on a rough horizontal plane. The coefficient of friction between each particle and the plane is 0.4. Particle P is projected towards Q with speed 20 m/s-1.
(a) Show that the speed of P immediately before the collision with Q is 10\(\sqrt{3}\) m/s-1.
In the collision P and Q coalesce to form particle R.
(b) Find the loss of kinetic energy due to the collision.
The coefficient of friction between R and the plane is 0.4.
(c) Find the distance travelled by particle R before coming to rest.
Two particles P and Q of masses 0.2 kg and 0.3 kg respectively are free to move in a horizontal straight line on a smooth horizontal plane. P is projected towards Q with speed 0.5 m s-1. At the same instant Q is projected towards P with speed 1 m s-1. Q comes to rest in the resulting collision.
Find the speed of P after the collision.
Two small smooth spheres A and B, of equal radii and of masses 4 kg and m kg respectively, lie on a smooth horizontal plane. Initially, sphere B is at rest and A is moving towards B with speed 6 m s-1. After the collision A moves with speed 1.5 m s-1 and B moves with speed 3 m s-1.
Find the two possible values of the loss of kinetic energy due to the collision.
Two particles P and Q, of masses 0.2 kg and 0.5 kg respectively, are at rest on a smooth horizontal plane. P is projected towards Q with speed 2 m s-1.
(a) Write down the momentum of P.
(b) After the collision P continues to move in the same direction with speed 0.3 m s-1. Find the speed of Q after the collision.
A particle B of mass 5 kg is at rest on a smooth horizontal table. A particle A of mass 2.5 kg moves on the table with a speed of 6 m s-1 and collides directly with B. In the collision, the two particles coalesce.
(a) Find the speed of the combined particle after the collision.
(b) Find the loss of kinetic energy of the system due to the collision.
Particles P of mass m kg and Q of mass 0.2 kg are free to move on a smooth horizontal plane. P is projected at a speed of 2 m s-1 towards Q which is stationary. After the collision P and Q move in opposite directions with speeds of 0.5 m s-1 and 1 m s-1 respectively.
Find m.
Small smooth spheres A and B, of equal radii and of masses 4 kg and 2 kg respectively, lie on a smooth horizontal plane. Initially B is at rest and A is moving towards B with speed 10 m/s. After the spheres collide A continues to move in the same direction but with half the speed of B.
(a) Find the speed of B after the collision. [2]
A third small smooth sphere C, of mass 1 kg and with the same radius as A and B, is at rest on the plane. B now collides directly with C. After this collision B continues to move in the same direction but with one third the speed of C.
(b) Show that there is another collision between A and B. [3]
(c) A and B coalesce during this collision. Find the total loss of kinetic energy in the system due to the three collisions. [5]
A particle P of mass 0.3 kg, lying on a smooth plane inclined at 30° to the horizontal, is released from rest. P slides down the plane for a distance of 2.5 m and then reaches a horizontal plane. There is no change in speed when P reaches the horizontal plane. A particle Q of mass 0.2 kg lies at rest on the horizontal plane 1.5 m from the end of the inclined plane (see diagram). P collides directly with Q.
(a) It is given that the horizontal plane is smooth and that, after the collision, P continues moving in the same direction, with speed 2 m s-1.
Find the speed of Q after the collision.
(b) It is given instead that the horizontal plane is rough and that when P and Q collide, they coalesce and move with speed 1.2 m s-1.
Find the coefficient of friction between P and the horizontal plane.

On a straight horizontal test track, driverless vehicles (with no passengers) are being tested. A car of mass 1600 kg is towing a trailer of mass 700 kg along the track. The brakes are applied, resulting in a deceleration of 12 m s-2. The braking force acts on the car only. In addition to the braking force there are constant resistance forces of 600 N on the car and of 200 N on the trailer.
(a) Find the magnitude of the force in the tow-bar. [2]
(b) Find the braking force. [2]
(c) At the instant when the brakes are applied, the car has speed 22 m s-1. At this instant the car is 17.5 m away from a stationary van, which is directly in front of the car. Show that the car hits the van at a speed of 8 m s-1. [2]
(d) After the collision, the van starts to move with speed 5 m s-1 and the car and trailer continue moving in the same direction with speed 2 m s-1. Find the mass of the van. [3]
Two particles P and Q, of masses 0.1 kg and 0.4 kg respectively, are free to move on a smooth horizontal plane. Particle P is projected with speed 4 m/s-1 towards Q which is stationary. After P and Q collide, the speeds of P and Q are equal.
Find the two possible values of the speed of P after the collision.
Two particles A and B, of masses 3.2 kg and 2.4 kg respectively, lie on a smooth horizontal table. A moves towards B with a speed of v m/s and collides with B, which is moving towards A with a speed of 6 m/s. In the collision the two particles come to rest.
(a) Find the value of v.
(b) Find the loss of kinetic energy of the system due to the collision.
Two particles P and Q, of masses m kg and 0.3 kg respectively, are at rest on a smooth horizontal plane. P is projected at a speed of 5 m s-1 directly towards Q. After P and Q collide, P moves with a speed of 2 m s-1 in the same direction as it was originally moving.
(a) Find, in terms of m, the speed of Q after the collision.
After this collision, Q moves directly towards a third particle R, of mass 0.6 kg, which is at rest on the plane. Q is brought to rest in the collision with R, and R begins to move with a speed of 1.5 m s-1.
(b) Find the value of m.
The diagram shows a smooth track which lies in a vertical plane. The section AB is a quarter circle of radius 1.8 m with centre O. The section BC is a horizontal straight line of length 7.0 m and OB is perpendicular to BC. The section CFE is a straight line inclined at an angle of \(\theta\) above the horizontal.
A particle P of mass 0.5 kg is released from rest at A. Particle P collides with a particle Q of mass 0.1 kg which is at rest at B. Immediately after the collision, the speed of P is 4 m/s in the direction BC. You should assume that P is moving horizontally when it collides with Q.
(a) Show that the speed of Q immediately after the collision is 10 m/s.
When Q reaches C, it collides with a particle R of mass 0.4 kg which is at rest at C. The two particles coalesce. The combined particle comes instantaneously to rest at F. You should assume that there is no instantaneous change in speed as the combined particle leaves C, nor when it passes through C again as it returns down the slope.
(b) Given that the distance CF is 0.4 m, find the value of \(\theta\).
(c) Find the distance from B at which P collides with the combined particle.

Particles of masses 1.5 kg and 3 kg lie on a plane which is inclined at an angle of \(\alpha\) to the horizontal, where \(\tan \alpha = \frac{3}{4}\). The section of the plane from \(A\) to \(B\) is smooth and the section of the plane from \(B\) to \(C\) is rough. The 1.5 kg particle is held at rest at \(A\) and the 3 kg particle is in limiting equilibrium at \(B\). The distance \(AB\) is \(x\) m and the distance \(BC\) is 4 m (see diagram).
(a) Show that the coefficient of friction between the particle at \(B\) and the plane is 0.75.
The 1.5 kg particle is released from rest. In the subsequent motion the two particles collide and coalesce. The time taken for the combined particle to travel from \(B\) to \(C\) is 2 s. The coefficient of friction between the combined particle and the plane is still 0.75.
(b) Find \(x\).
(c) Find the total loss of energy of the particles from the time the 1.5 kg particle is released until the combined particle reaches \(C\).

Three particles A, B and C of masses 0.3 kg, 0.4 kg and m kg respectively lie at rest in a straight line on a smooth horizontal plane. The distance between B and C is 2.1 m. A is projected directly towards B with speed 2 m/s. After A collides with B the speed of A is reduced to 0.6 m/s, still moving in the same direction.
Small smooth spheres A and B, of equal radii and of masses 6 kg and 2 kg respectively, lie on a smooth horizontal plane. Initially A is moving towards B with speed 5 m s-1 and B is moving towards A with speed 3 m s-1. After the spheres collide, both A and B move in the same direction and the difference in the speeds of the spheres is 2 m s-1.
Find the loss of kinetic energy of the system due to the collision.
(a) Expand \((1 + 3x)^6\) in ascending powers of \(x\) up to, and including, the term in \(x^2\).
(b) Hence find the coefficient of \(x^2\) in the expansion of \((1 - 7x + x^2)(1 + 3x)^6\).
(i) Find the first three terms in the expansion, in ascending powers of x, of \((1 - 2x)^5\).
(ii) Given that the coefficient of \(x^2\) in the expansion of \((1 + ax + 2x^2)(1 - 2x)^5\) is 12, find the value of the constant \(a\).
(i) Write down the first 4 terms, in ascending powers of \(x\), of the expansion of \((a-x)^5\).
(ii) The coefficient of \(x^3\) in the expansion of \((1-ax)(a-x)^5\) is \(-200\). Find the possible values of the constant \(a\).
(i) Find the first three terms, in ascending powers of x, in the expansion of
(a) \((1-x)^6\),
(b) \((1+2x)^6\).
(ii) Hence find the coefficient of \(x^2\) in the expansion of \([(1-x)(1+2x)]^6\).
(i) Find the first 3 terms, in ascending powers of \(x\), in the expansion of \((1 + x)^5\).
The coefficient of \(x^2\) in the expansion of \(\left( 1 + (px + x^2) \right)^5\) is 95.
(ii) Use the answer to part (i) to find the value of the positive constant \(p\).
(i) Find the first three terms when \((2 + 3x)^6\) is expanded in ascending powers of \(x\).
(ii) In the expansion of \((1 + ax)(2 + 3x)^6\), the coefficient of \(x^2\) is zero. Find the value of \(a\).
(i) Find the first three terms in the expansion of \((2 + ax)^5\) in ascending powers of \(x\).
(ii) Given that the coefficient of \(x^2\) in the expansion of \((1 + 2x)(2 + ax)^5\) is 240, find the possible values of \(a\).
(i) In the expression \((1 - px)^6\), \(p\) is a non-zero constant. Find the first three terms when \((1 - px)^6\) is expanded in ascending powers of \(x\).
(ii) It is given that the coefficient of \(x^2\) in the expansion of \((1 - x)(1 - px)^6\) is zero. Find the value of \(p\).
(i) Find the first 3 terms in the expansion of \((2x - x^2)^6\) in ascending powers of \(x\).
(ii) Hence find the coefficient of \(x^8\) in the expansion of \((2 + x)(2x - x^2)^6\).
The first three terms in the expansion of \((1 - 2x)^2(1 + ax)^6\), in ascending powers of \(x\), are \(1 - x + bx^2\). Find the values of the constants \(a\) and \(b\).
(i) Find the first 3 terms in the expansion, in ascending powers of \(x\), of \((1 - 2x^2)^8\).
(ii) Find the coefficient of \(x^4\) in the expansion of \((2 - x^2)(1 - 2x^2)^8\).
(a) Find the first three terms in the expansion, in ascending powers of \(x\), of \((2 + 3x)^4\).
(b) Find the first three terms in the expansion, in ascending powers of \(x\), of \((1 - 2x)^5\).
(c) Hence find the coefficient of \(x^2\) in the expansion of \((2 + 3x)^4 (1 - 2x)^5\).
(i) Find the first three terms, in descending powers of x, in the expansion of \(\left( x - \frac{2}{x} \right)^6\).
(ii) Find the coefficient of \(x^4\) in the expansion of \((1 + x^2) \left( x - \frac{2}{x} \right)^6\).
(i) Find the first 3 terms in the expansion of \((1 + ax)^5\) in ascending powers of \(x\).
(ii) Given that there is no term in \(x\) in the expansion of \((1 - 2x)(1 + ax)^5\), find the value of the constant \(a\).
(iii) For this value of \(a\), find the coefficient of \(x^2\) in the expansion of \((1 - 2x)(1 + ax)^5\).
(i) Find the first 3 terms in the expansion of \(\left( 2x - \frac{3}{x} \right)^5\) in descending powers of \(x\).
(ii) Hence find the coefficient of \(x\) in the expansion of \(\left( 1 + \frac{2}{x^2} \right) \left( 2x - \frac{3}{x} \right)^5\).
(i) Find the first 3 terms in the expansion of \((2-x)^6\) in ascending powers of \(x\).
(ii) Given that the coefficient of \(x^2\) in the expansion of \((1 + 2x + ax^2)(2-x)^6\) is 48, find the value of the constant \(a\).
(i) Find the first 3 terms in the expansion of \((2 + 3x)^5\) in ascending powers of \(x\).
(ii) Hence find the value of the constant \(a\) for which there is no term in \(x^2\) in the expansion of \((1 + ax)(2 + 3x)^5\).
(i) Find the first 3 terms in the expansion, in ascending powers of \(x\), of \((2 + x^2)^5\).
(ii) Hence find the coefficient of \(x^4\) in the expansion of \((1 + x^2)^2(2 + x^2)^5\).
The first three terms in the expansion of \((2+ax)^n\), in ascending powers of \(x\), are 32 - 40x + bx^2. Find the values of the constants \(n, a\) and \(b\).
(i) Find the first 3 terms in the expansion of \((2-x)^6\) in ascending powers of \(x\).
(ii) Find the value of \(k\) for which there is no term in \(x^2\) in the expansion of \((1+kx)(2-x)^6\).
(a) Find the first three terms in ascending powers of x of the expansion of \((1 + 2x)^5\).
(b) Find the first three terms in ascending powers of x of the expansion of \((1 - 3x)^4\).
(c) Hence find the coefficient of \(x^2\) in the expansion of \((1 + 2x)^5(1 - 3x)^4\).
(a) Expand \(\left( 1 - \frac{1}{2x} \right)^2\).
(b) Find the first four terms in the expansion, in ascending powers of \(x\), of \((1 + 2x)^6\).
(c) Hence find the coefficient of \(x\) in the expansion of \(\left( 1 - \frac{1}{2x} \right)^2 (1 + 2x)^6\).
(a) Write down the first four terms of the expansion, in ascending powers of \(x\), of \((a-x)^6\).
(b) Given that the coefficient of \(x^2\) in the expansion of \(\left(1 + \frac{2}{ax}\right)(a-x)^6\) is \(-20\), find in exact form the possible values of the constant \(a\).
(a) Find the first three terms in the expansion of \((3 - 2x)^5\) in ascending powers of \(x\).
(b) Hence find the coefficient of \(x^2\) in the expansion of \((4 + x)^2(3 - 2x)^5\).
(a) Find the first three terms in the expansion, in ascending powers of \(x\), of \((1 + x)^5\).
(b) Find the first three terms in the expansion, in ascending powers of \(x\), of \((1 - 2x)^6\).
(c) Hence find the coefficient of \(x^2\) in the expansion of \((1 + x)^5 (1 - 2x)^6\).
(i) Expand \((1+y)^6\) in ascending powers of \(y\) as far as the term in \(y^2\).
(ii) In the expansion of \((1 + (px - 2x^2))^6\) the coefficient of \(x^2\) is 48. Find the value of the positive constant \(p\).
(i) In the binomial expansion of \(\left( 2x - \frac{1}{2x} \right)^5\), the first three terms are \(32x^5 - 40x^3 + 20x\). Find the remaining three terms of the expansion.
(ii) Hence find the coefficient of \(x\) in the expansion of \((1 + 4x^2) \left( 2x - \frac{1}{2x} \right)^5\).
(a) Find the coefficient of \(x^2\) in the expansion of \(\left(x - \frac{2}{x}\right)^6\).
(b) Find the coefficient of \(x^2\) in the expansion of \((2 + 3x^2)\left(x - \frac{2}{x}\right)^6\).
(i) Find the coefficients of \(x^2\) and \(x^3\) in the expansion of \((2-x)^6\).
(ii) Find the coefficient of \(x^3\) in the expansion of \((3x+1)(2-x)^6\).
Find the coefficient of x in the expansion of \(\left(x^2 - \frac{2}{x}\right)^5\).
Find the coefficient of \(x^2\) in the expansion of \((1 + x^2) \left( \frac{x}{2} - \frac{4}{x} \right)^6\).
(i) Find the coefficient of \(x^8\) in the expansion of \((x + 3x^2)^4\).
(ii) Find the coefficient of \(x^8\) in the expansion of \((x + 3x^2)^5\).
(iii) Hence find the coefficient of \(x^8\) in the expansion of \([1 + (x + 3x^2)]^5\).
Find the coefficient of \(x^2\) in the expansion of
(i) \(\left( 2x - \frac{1}{2x} \right)^6\),
(ii) \((1 + x^2) \left( 2x - \frac{1}{2x} \right)^6\).
Find the coefficient of \(x^3\) in the expansion of \(\left( 2 - \frac{1}{2}x \right)^7\).
Find the coefficient of \(x^6\) in the expansion of \(\left( 2x^3 - \frac{1}{x^2} \right)^7\).
Find the coefficient of x in the expansion of \(\left( x + \frac{2}{x^2} \right)^7\).
Find the value of the coefficient of \(x^2\) in the expansion of \(\left( \frac{x}{2} + \frac{2}{x} \right)^6\).
Find the coefficient of \(x^2\) in the expansion of \(\left( x + \frac{2}{x} \right)^6\).
Find the coefficient of \(x\) in the expansion of \(\left( \frac{2}{x} - 3x \right)^5\).
Find the coefficient of x in the expansion of \(\left( 3x - \frac{2}{x} \right)^5\).
Find the coefficient of \(x^3\) in the expansion of
(i) \((1 + 2x)^6\),
(ii) \((1 - 3x)(1 + 2x)^6\).
Find the value of the coefficient of \(\frac{1}{x}\) in the expansion of \(\left( 2x - \frac{1}{x} \right)^5\).
Find the coefficient of \(\frac{1}{x^3}\) in the expansion of \(\left( x - \frac{2}{x} \right)^7\).
Find the coefficient of \(\frac{1}{x^2}\) in the expansion of \(\left( 3x + \frac{2}{3x^2} \right)^7\).
Find the coefficient of \(\frac{1}{x}\) in the expansion of \(\left( x - \frac{2}{x} \right)^5\).
(i) Find the coefficients of \(x^2\) and \(x^3\) in the expansion of \((1 - 2x)^7\).
(ii) Hence find the coefficient of \(x^3\) in the expansion of \((2 + 5x)(1 - 2x)^7\).
(i) Find the coefficient of \(x\) in the expansion of \(\left(2x - \frac{1}{x}\right)^5\).
(ii) Hence find the coefficient of \(x\) in the expansion of \((1 + 3x^2) \left(2x - \frac{1}{x}\right)^5\).
Find the coefficient of x in the expansion of \(\left( \frac{1}{x} + 3x^2 \right)^5\).
Find the coefficient of x in the expansion of \(\left( \frac{x}{3} + \frac{9}{x^2} \right)^7\).
(a) Expand the following in ascending powers of x up to and including the term in x2.
(i) \((1 + 2x)^5\).
(ii) \((1 - ax)^6\), where a is a constant.
In the expansion of \((1 + 2x)^5(1 - ax)^6\), the coefficient of x2 is -5.
(b) Find the possible values of a.
(a) Find the first three terms, in ascending powers of \(x\), in the expansion of \((1 + ax)^6\).
(b) Given that the coefficient of \(x^2\) in the expansion of \((1 - 3x)(1 + ax)^6\) is \(-3\), find the possible values of the constant \(a\).
(a) It is given that in the expansion of \((4 + 2x)(2 - ax)^5\), the coefficient of \(x^2\) is \(-15\). Find the possible values of \(a\).
(b) It is given instead that in the expansion of \((4 + 2x)(2 - ax)^5\), the coefficient of \(x^2\) is \(k\). It is also given that there is only one value of \(a\) which leads to this value of \(k\). Find the values of \(k\) and \(a\).
The coefficient of x in the expansion of \(\left(4x + \frac{10}{x}\right)^3\) is p. The coefficient of \(\frac{1}{x}\) in the expansion of \(\left(2x + \frac{k}{x^2}\right)^5\) is q.
\(Given that p = 6q, find the possible values of k.\)
The coefficient of \(x^3\) in the expansion of \((1 + kx)(1 - 2x)^5\) is 20.
Find the value of the constant \(k\).
In the expansion of \((2x^2 + \frac{a}{x})^6\), the coefficients of \(x^6\) and \(x^3\) are equal.
(a) Find the value of the non-zero constant \(a\).
(b) Find the coefficient of \(x^6\) in the expansion of \((1-x^3)(2x^2 + \frac{a}{x})^6\).
The coefficient of \(\frac{1}{x}\) in the expansion of \(\left( kx + \frac{1}{x} \right)^5 + \left( 1 - \frac{2}{x} \right)^8\) is 74.
Find the value of the positive constant \(k\).
The coefficient of \(\frac{1}{x}\) in the expansion of \(\left( 2x + \frac{a}{x^2} \right)^5\) is 720.
(a) Find the possible values of the constant \(a\).
(b) Hence find the coefficient of \(\frac{1}{x^7}\) in the expansion.
The coefficient of \(x^2\) in the expansion of \((4 + ax)\left(1 + \frac{x}{2}\right)^6\) is 3. Find the value of the constant \(a\).
The term independent of x in the expansion of \(\left( 2x + \frac{k}{x} \right)^6\), where k is a constant, is 540.
(i) Find the value of k.
(ii) For this value of k, find the coefficient of x2 in the expansion.
The coefficient of \(x^3\) in the expansion of \((1 - px)^5\) is \(-2160\). Find the value of the constant \(p\).
The coefficient of \(x^3\) in the expansion of \((3 + 2ax)^5\) is six times the coefficient of \(x^2\) in the expansion of \((2 + ax)^6\).
Find the value of the constant \(a\).
The coefficient of \(x^2\) in the expansion of \(\left( 2 + \frac{x}{2} \right)^6 + (a + x)^5\) is 330. Find the value of the constant \(a\).
The coefficients of x and x2 in the expansion of (2 + ax)7 are equal. Find the value of the non-zero constant a.
The coefficients of x2 and x3 in the expansion of (3 - 2x)6 are a and b respectively. Find the value of \(\frac{a}{b}\).
In the expansion of \(\left( \frac{1}{ax} + 2ax^2 \right)^5\), the coefficient of \(x\) is 5. Find the value of the constant \(a\).
The coefficient of \(x^3\) in the expansion of \((1 - 3x)^6 + (1 + ax)^5\) is 100. Find the value of the constant \(a\).
In the expansion of \((3 - 2x)\left(1 + \frac{x}{2}\right)^n\), the coefficient of \(x\) is 7. Find the value of the constant \(n\) and hence find the coefficient of \(x^2\).
In the expansion of \((x + 2k)^7\), where \(k\) is a non-zero constant, the coefficients of \(x^4\) and \(x^5\) are equal. Find the value of \(k\).
In the expansion of \((2 + ax)^6\), the coefficient of \(x^2\) is equal to the coefficient of \(x^3\). Find the value of the non-zero constant \(a\).
In the expansion of \((2 + ax)^7\), the coefficient of \(x\) is equal to the coefficient of \(x^2\). Find the value of the non-zero constant \(a\).
In the expansion of \(\left(x^2 - \frac{a}{x}\right)^7\), the coefficient of \(x^5\) is \(-280\). Find the value of the constant \(a\).
(a) Give the complete expansion of \(\left( x + \frac{2}{x} \right)^5\).
(b) In the expansion of \((a + bx^2) \left( x + \frac{2}{x} \right)^5\), the coefficient of \(x\) is zero and the coefficient of \(\frac{1}{x}\) is 80. Find the values of the constants \(a\) and \(b\).
The coefficient of \(x^3\) in the expansion of \((a + x)^5 + (2 - x)^6\) is 90. Find the value of the positive constant \(a\).
The coefficient of \(x^2\) in the expansion of \(\left( k + \frac{1}{3}x \right)^5\) is 30. Find the value of the constant \(k\).
The coefficient of \(x^3\) in the expansion of \((a+x)^5 + (1-2x)^6\), where \(a\) is positive, is 90. Find the value of \(a\).
The coefficient of \(x^4\) in the expansion of \((x + a)^6\) is \(p\) and the coefficient of \(x^2\) in the expansion of \((ax + 3)^4\) is \(q\). It is given that \(p + q = 276\).
Find the possible values of the constant \(a\).
In the expansion of \(\left( \frac{x}{a} + \frac{a}{x^2} \right)^7\), it is given that
\(\frac{\text{the coefficient of } x^4}{\text{the coefficient of } x} = 3.\)
Find the possible values of the constant \(a\).
The coefficient of \(x^2\) in the expansion of \(\left( 1 + \frac{2}{p} x \right)^5 + (1 + px)^6\) is 70.
Find the possible values of the constant \(p\).
The coefficient of \(x^3\) in the expansion of \(\left(p + \frac{1}{p}x\right)^4\) is 144.
Find the possible values of the constant \(p\).
The coefficient of \(x^4\) in the expansion of \((3 + x)^5\) is equal to the coefficient of \(x^2\) in the expansion of \(\left(2x + \frac{a}{x}\right)^6\).
Find the value of the positive constant \(a\).
The coefficient of \(x^4\) in the expansion of \(\left( 2x^2 + \frac{k^2}{x} \right)^5\) is \(a\). The coefficient of \(x^2\) in the expansion of \((2kx - 1)^4\) is \(b\).
(a) Find \(a\) and \(b\) in terms of the constant \(k\).
(b) Given that \(a + b = 216\), find the possible values of \(k\).
Find the term independent of x in each of the following expansions.
(a) \(\left( 3x + \frac{2}{x^2} \right)^6\)
(b) \(\left( 3x + \frac{2}{x^2} \right)^6 (1 - x^3)\)
Find the term independent of x in the expansion of \(\left( 2x + \frac{1}{4x^2} \right)^6\).
Find the term independent of x in the expansion of \(\left( 2x - \frac{1}{4x^2} \right)^9\).
Find the term independent of x in the expansion of \(\left( 2x + \frac{1}{2x^3} \right)^8\).
Find the term independent of x in the expansion of \(\left( x - \frac{3}{2x} \right)^6\).
Find the term independent of x in the expansion of \(\left( 4x^3 + \frac{1}{2x} \right)^8\).
Find the term independent of x in the expansion of \(\left( 2x + \frac{1}{x^2} \right)^6\).
Find the term independent of x in the expansion of \(\left( x - \frac{1}{x^2} \right)^9\).
Find the value of the term which is independent of x in the expansion of \(\left( x + \frac{3}{x} \right)^4\).
(a) Expand \((1 + a)^5\) in ascending powers of \(a\) up to and including the term in \(a^3\).
(b) Hence expand \([1 + (x + x^2)]^5\) in ascending powers of \(x\) up to and including the term in \(x^3\), simplifying your answer.
(i) Find the first three terms in the expansion of \((2+u)^5\) in ascending powers of \(u\).
(ii) Use the substitution \(u = x + x^2\) in your answer to part (i) to find the coefficient of \(x^2\) in the expansion of \((2 + x + x^2)^5\).
(i) Find the term independent of x in the expansion of \(\left( \frac{2}{x} - 3x \right)^6\).
(ii) Find the value of a for which there is no term independent of x in the expansion of \(\left( 1 + ax^2 \right) \left( \frac{2}{x} - 3x \right)^6\).
Find the term that is independent of x in the expansion of
(i) \(\left( x - \frac{2}{x} \right)^6\),
(ii) \(\left( 2 + \frac{3}{x^2} \right) \left( x - \frac{2}{x} \right)^6\).
(i) Find the coefficients of \(x^4\) and \(x^5\) in the expansion of \((1 - 2x)^5\).
(ii) It is given that, when \((1 + px)(1 - 2x)^5\) is expanded, there is no term in \(x^5\). Find the value of the constant \(p\).
In the expansion of \(\left( 1 - \frac{2x}{a} \right)(a + x)^5\), where \(a\) is a non-zero constant, show that the coefficient of \(x^2\) is zero.
(i) Find the first 3 terms in the expansion of \((2-y)^5\) in ascending powers of \(y\).
(ii) Use the result in part (i) to find the coefficient of \(x^2\) in the expansion of \((2-(2x-x^2))^5\).
(i) Find the terms in \(x^2\) and \(x^3\) in the expansion of \((1 - \frac{3}{2}x)^6\).
(ii) Given that there is no term in \(x^3\) in the expansion of \((k + 2x)(1 - \frac{3}{2}x)^6\), find the value of the constant \(k\).
In the expansion of \((1 + ax)^6\), where \(a\) is a constant, the coefficient of \(x\) is \(-30\). Find the coefficient of \(x^3\).
(i) Find, in terms of the non-zero constant \(k\), the first 4 terms in the expansion of \((k + x)^8\) in ascending powers of \(x\).
(ii) Given that the coefficients of \(x^2\) and \(x^3\) in this expansion are equal, find the value of \(k\).
Let \(f(x) = \frac{17x^2 - 7x + 16}{(2 + 3x^2)(2 - x)}\).
(a) Express \(f(x)\) in partial fractions.
(b) Hence obtain the expansion of \(f(x)\) in ascending powers of \(x\), up to and including the term in \(x^3\).
(c) State the set of values of \(x\) for which the expansion in (b) is valid. Give your answer in an exact form.
Let \(f(x) = \frac{16 - 17x}{(2 + x)(3 - x)^2}\).
(i) Express \(f(x)\) in partial fractions.
(ii) Hence obtain the expansion of \(f(x)\) in ascending powers of \(x\), up to and including the term in \(x^2\).
Let \(f(x) = \frac{12 + 12x - 4x^2}{(2+x)(3-2x)}\).
(i) Express \(f(x)\) in partial fractions. [5]
(ii) Hence obtain the expansion of \(f(x)\) in ascending powers of \(x\), up to and including the term in \(x^2\). [5]
Let \(f(x) = \frac{7x^2 - 15x + 8}{(1 - 2x)(2 - x)^2}\).
(i) Express \(f(x)\) in partial fractions.
(ii) Hence obtain the expansion of \(f(x)\) in ascending powers of \(x\), up to and including the term in \(x^2\).
Let \(f(x) = \frac{x - 4x^2}{(3-x)(2+x^2)}\).
(i) Express \(f(x)\) in the form \(\frac{A}{3-x} + \frac{Bx+C}{2+x^2}\).
(ii) Hence obtain the expansion of \(f(x)\) in ascending powers of \(x\), up to and including the term in \(x^3\).
Let \(f(x) = \frac{12x^2 + 4x - 1}{(x-1)(3x+2)}\).
(i) Express \(f(x)\) in partial fractions.
(ii) Hence obtain the expansion of \(f(x)\) in ascending powers of \(x\), up to and including the term in \(x^2\).
Let \(f(x) = \frac{8x^2 + 9x + 8}{(1-x)(2x+3)^2}\).
(i) Express \(f(x)\) in partial fractions.
(ii) Hence obtain the expansion of \(f(x)\) in ascending powers of \(x\), up to and including the term in \(x^2\).
Let \(f(x) = \frac{5x^2 - 7x + 4}{(3x + 2)(x^2 + 5)}\).
(i) Express \(f(x)\) in partial fractions.
(ii) Hence obtain the expansion of \(f(x)\) in ascending powers of \(x\), up to and including the term in \(x^2\).
Let \(f(x) = \frac{x(6-x)}{(2+x)(4+x^2)}\).
(i) Express \(f(x)\) in partial fractions.
(ii) Hence obtain the expansion of \(f(x)\) in ascending powers of \(x\), up to and including the term in \(x^2\).
Let \(f(x) = \frac{3x^2 + x + 6}{(x+2)(x^2+4)}\).
(i) Express \(f(x)\) in partial fractions.
(ii) Hence obtain the expansion of \(f(x)\) in ascending powers of \(x\), up to and including the term in \(x^2\).
Let \(f(x) = \frac{10x - 2x^2}{(x+3)(x-1)^2}\).
(i) Express \(f(x)\) in partial fractions.
(ii) Hence obtain the expansion of \(f(x)\) in ascending powers of \(x\), up to and including the term in \(x^2\).
Let \(f(x) = \frac{24x + 13}{(1 - 2x)(2 + x)^2}\).
(a) Express \(f(x)\) in partial fractions.
(b) Hence obtain the expansion of \(f(x)\) in ascending powers of \(x\), up to and including the term in \(x^2\).
(c) State the set of values of \(x\) for which the expansion in (b) is valid.
Let \(f(x) = \frac{4x^2 + 12}{(x+1)(x-3)^2}\).
(i) Express \(f(x)\) in partial fractions.
(ii) Hence obtain the expansion of \(f(x)\) in ascending powers of \(x\), up to and including the term in \(x^2\).
Let \(f(x) = \frac{5x^2 + x + 6}{(3 - 2x)(x^2 + 4)}\).
(i) Express \(f(x)\) in partial fractions. [5]
(ii) Hence obtain the expansion of \(f(x)\) in ascending powers of \(x\), up to and including the term in \(x^2\). [5]
Let \(f(x) = \frac{x^2 - 8x + 9}{(1-x)(2-x)^2}\).
(i) Express \(f(x)\) in partial fractions.
(ii) Hence obtain the expansion of \(f(x)\) in ascending powers of \(x\), up to and including the term in \(x^2\).
(i) Express \(\frac{4 + 12x + x^2}{(3-x)(1+2x)^2}\) in partial fractions.
(ii) Hence obtain the expansion of \(\frac{4 + 12x + x^2}{(3-x)(1+2x)^2}\) in ascending powers of \(x\), up to and including the term in \(x^2\).
(i) Express \(\frac{7x^2 + 8}{(1+x)^2(2-3x)}\) in partial fractions.
(ii) Hence expand \(\frac{7x^2 + 8}{(1+x)^2(2-3x)}\) in ascending powers of \(x\) up to and including the term in \(x^2\), simplifying the coefficients.
Let \(f(x) = \frac{2x^2 - 7x - 1}{(x-2)(x^2+3)}\).
(i) Express \(f(x)\) in partial fractions.
(ii) Hence obtain the expansion of \(f(x)\) in ascending powers of \(x\), up to and including the term in \(x^2\).
(i) Express \(\frac{9 - 7x + 8x^2}{(3-x)(1+x^2)}\) in partial fractions.
(ii) Hence obtain the expansion of \(\frac{9 - 7x + 8x^2}{(3-x)(1+x^2)}\) in ascending powers of \(x\), up to and including the term in \(x^3\).
(i) Express \(\frac{5x - x^2}{(1+x)(2+x^2)}\) in partial fractions.
(ii) Hence obtain the expansion of \(\frac{5x - x^2}{(1+x)(2+x^2)}\) in ascending powers of \(x\), up to and including the term in \(x^3\).
Let \(f(x) = \frac{3x}{(1+x)(1+2x^2)}\).
(i) Express \(f(x)\) in partial fractions. [5]
(ii) Hence obtain the expansion of \(f(x)\) in ascending powers of \(x\), up to and including the term in \(x^3\). [5]
(i) Express \(\frac{4 + 5x - x^2}{(1 - 2x)(2 + x)^2}\) in partial fractions.
(ii) Hence obtain the expansion of \(\frac{4 + 5x - x^2}{(1 - 2x)(2 + x)^2}\) in ascending powers of \(x\), up to and including the term in \(x^2\).
Let \(f(x) = \frac{21 - 8x - 2x^2}{(1 + 2x)(3 - x)^2}\).
(a) Express \(f(x)\) in partial fractions.
(b) Hence obtain the expansion of \(f(x)\) in ascending powers of \(x\), up to and including the term in \(x^2\).
(i) Express \(\frac{1+x}{(1-x)(2+x^2)}\) in partial fractions.
(ii) Hence obtain the expansion of \(\frac{1+x}{(1-x)(2+x^2)}\) in ascending powers of \(x\), up to and including the term in \(x^2\).
(i) Express \(\frac{5x + 3}{(x + 1)^2(3x + 2)}\) in partial fractions.
(ii) Hence obtain the expansion of \(\frac{5x + 3}{(x + 1)^2(3x + 2)}\) in ascending powers of \(x\), up to and including the term in \(x^2\), simplifying the coefficients.
(i) Express \(\frac{2 - x + 8x^2}{(1-x)(1+2x)(2+x)}\) in partial fractions.
(ii) Hence obtain the expansion of \(\frac{2 - x + 8x^2}{(1-x)(1+2x)(2+x)}\) in ascending powers of \(x\), up to and including the term in \(x^2\).
(i) Express \(\frac{10}{(2-x)(1+x^2)}\) in partial fractions.
(ii) Hence, given that \(|x| < 1\), obtain the expansion of \(\frac{10}{(2-x)(1+x^2)}\) in ascending powers of \(x\), up to and including the term in \(x^3\), simplifying the coefficients.
(i) Express \(\frac{3x^2 + x}{(x+2)(x^2+1)}\) in partial fractions.
(ii) Hence obtain the expansion of \(\frac{3x^2 + x}{(x+2)(x^2+1)}\) in ascending powers of \(x\), up to and including the term in \(x^3\).
Let \(f(x) = \frac{x^2 + 7x - 6}{(x-1)(x-2)(x+1)}\).
(i) Express \(f(x)\) in partial fractions.
(ii) Show that, when \(x\) is sufficiently small for \(x^4\) and higher powers to be neglected,
\(f(x) = -3 + 2x - \frac{3}{2}x^2 + \frac{11}{4}x^3\).
Let \(f(x) = \frac{9x^2 + 4}{(2x + 1)(x - 2)^2}\).
(i) Express \(f(x)\) in partial fractions.
(ii) Show that, when \(x\) is sufficiently small for \(x^3\) and higher powers to be neglected, \(f(x) = 1 - x + 5x^2\).
Let \(f(x) = \frac{6 + 7x}{(2-x)(1+x^2)}\).
(i) Express \(f(x)\) in partial fractions.
(ii) Show that, when \(x\) is sufficiently small for \(x^4\) and higher powers to be neglected,
\(f(x) = 3 + 5x - \frac{1}{2}x^2 - \frac{15}{4}x^3\).
Let \(f(x) = \frac{2x^2 + 7x + 8}{(1+x)(2+x)^2}\).
(a) Express \(f(x)\) in partial fractions.
(b) Hence obtain the expansion of \(f(x)\) in ascending powers of \(x\), up to and including the term in \(x^2\).
Let \(f(x) = \frac{5x^2 + 8x - 3}{(x-2)(2x^2 + 3)}\).
(a) Express \(f(x)\) in partial fractions.
(b) Hence obtain the expansion of \(f(x)\) in ascending powers of \(x\), up to and including the term in \(x^2\).
Let \(f(x) = \frac{14 - 3x + 2x^2}{(2 + x)(3 + x^2)}\).
(a) Express \(f(x)\) in partial fractions.
(b) Hence obtain the expansion of \(f(x)\) in ascending powers of \(x\), up to and including the term in \(x^2\).
Let \(f(x) = \frac{2 + 11x - 10x^2}{(1 + 2x)(1 - 2x)(2 + x)}\).
(a) Express \(f(x)\) in partial fractions. [5]
(b) Hence obtain the expansion of \(f(x)\) in ascending powers of \(x\), up to and including the term in \(x^2\). [5]
Let \(f(x) = \frac{8 + 5x + 12x^2}{(1-x)(2+3x)^2}\).
(a) Express \(f(x)\) in partial fractions.
(b) Hence obtain the expansion of \(f(x)\) in ascending powers of \(x\), up to and including the term in \(x^2\).
Let \(f(x) = \frac{2x(5-x)}{(3+x)(1-x)^2}\).
(i) Express \(f(x)\) in partial fractions.
(ii) Hence obtain the expansion of \(f(x)\) in ascending powers of \(x\) up to and including the term in \(x^3\).
Find the coefficient of \(x^3\) in the binomial expansion of \((3 + x)\sqrt{1 + 4x}\).
Expand \((1 - 4x)^{\frac{1}{4}}\) in ascending powers of \(x\), up to and including the term in \(x^3\), simplifying the coefficients.
Expand \((3 + 2x)^{-3}\) in ascending powers of \(x\) up to and including the term in \(x^2\), simplifying the coefficients.
Expand \(\frac{1}{\sqrt[3]{1 + 6x}}\) in ascending powers of \(x\), up to and including the term in \(x^3\), simplifying the coefficients.
Expand \((2-x)(1+2x)^{-\frac{3}{2}}\) in ascending powers of \(x\), up to and including the term in \(x^2\), simplifying the coefficients.
Expand \(\frac{1}{\sqrt{1-2x}}\) in ascending powers of \(x\), up to and including the term in \(x^3\), simplifying the coefficients.
Given that \(\sqrt[3]{(1 + 9x)} \approx 1 + 3x + ax^2 + bx^3\) for small values of \(x\), find the values of the coefficients \(a\) and \(b\).
Show that, for small values of \(x^2\),
\((1 - 2x^2)^{-2} - (1 + 6x^2)^{\frac{2}{3}} \approx kx^4\),
where the value of the constant \(k\) is to be determined.
Expand \((1 + 3x)^{-\frac{1}{3}}\) in ascending powers of \(x\), up to and including the term in \(x^3\), simplifying the coefficients.
Expand \(\frac{1 + 3x}{\sqrt{1 + 2x}}\) in ascending powers of \(x\) up to and including the term in \(x^2\), simplifying the coefficients.
When \((1 + ax)^{-2}\), where \(a\) is a positive constant, is expanded in ascending powers of \(x\), the coefficients of \(x\) and \(x^3\) are equal.
(i) Find the exact value of \(a\). [4]
(ii) When \(a\) has this value, obtain the expansion up to and including the term in \(x^2\), simplifying the coefficients. [3]
Expand \(\sqrt{\frac{1+2x}{1-2x}}\) in ascending powers of \(x\), up to and including the term in \(x^2\), simplifying the coefficients.
Expand \(\frac{1}{\sqrt{4 + 3x}}\) in ascending powers of \(x\), up to and including the term in \(x^2\), simplifying the coefficients.
Expand \(\sqrt{\left( \frac{1-x}{1+x} \right)}\) in ascending powers of \(x\), up to and including the term in \(x^2\), simplifying the coefficients.
(i) Expand \(\frac{1}{\sqrt{1-4x}}\) in ascending powers of \(x\), up to and including the term in \(x^2\), simplifying the coefficients.
(ii) Hence find the coefficient of \(x^2\) in the expansion of \(\frac{1+2x}{\sqrt{4-16x}}\).
Expand \(\frac{16}{(2+x)^2}\) in ascending powers of \(x\), up to and including the term in \(x^2\), simplifying the coefficients.
Expand \(\sqrt[3]{1 - 6x}\) in ascending powers of \(x\) up to and including the term in \(x^3\), simplifying the coefficients.
Expand \((1 + 2x)^{-3}\) in ascending powers of \(x\), up to and including the term in \(x^2\), simplifying the coefficients.
When \((1 + 2x)(1 + ax)^{\frac{2}{3}}\), where \(a\) is a constant, is expanded in ascending powers of \(x\), the coefficient of the term in \(x\) is zero.
(i) Find the value of \(a\).
(ii) When \(a\) has this value, find the term in \(x^3\) in the expansion of \((1 + 2x)(1 + ax)^{\frac{2}{3}}\), simplifying the coefficient.
Expand \((1 + x) \sqrt{(1 - 2x)}\) in ascending powers of \(x\), up to and including the term in \(x^2\), simplifying the coefficients.
Expand \((2 + 3x)^{-2}\) in ascending powers of \(x\), up to and including the term in \(x^2\), simplifying the coefficients.
(i) Simplify \((\sqrt{1+x} + \sqrt{1-x})(\sqrt{1+x} - \sqrt{1-x})\), showing your working, and deduce that
\(\frac{1}{\sqrt{1+x} + \sqrt{1-x}} = \frac{\sqrt{1+x} - \sqrt{1-x}}{2x}.\)
(ii) Using this result, or otherwise, obtain the expansion of
\(\frac{1}{\sqrt{1+x} + \sqrt{1-x}}\)
in ascending powers of \(x\), up to and including the term in \(x^2\).
(a) Expand \((2 - x^2)^{-2}\) in ascending powers of \(x\), up to and including the term in \(x^4\), simplifying the coefficients.
(b) State the set of values of \(x\) for which the expansion is valid.
Expand \((1 + 4x)^{-\frac{1}{2}}\) in ascending powers of \(x\), up to and including the term in \(x^3\), simplifying the coefficients.
Expand \(\frac{1}{(2+x)^3}\) in ascending powers of \(x\), up to and including the term in \(x^2\), simplifying the coefficients.
Expand \((2 + x^2)^{-2}\) in ascending powers of \(x\), up to and including the term in \(x^4\), simplifying the coefficients.
Expand \((1 - 3x)^{-\frac{1}{3}}\) in ascending powers of \(x\), up to and including the term in \(x^3\), simplifying the coefficients.
When \((a + bx)\sqrt{1 + 4x}\), where \(a\) and \(b\) are constants, is expanded in ascending powers of \(x\), the coefficients of \(x\) and \(x^2\) are 3 and -6 respectively.
Find the values of \(a\) and \(b\).
Expand \((1 + 3x)^{\frac{2}{3}}\) in ascending powers of \(x\), up to and including the term in \(x^3\), simplifying the coefficients.
(a) Expand \(\sqrt[3]{1 + 6x}\) in ascending powers of \(x\), up to and including the term in \(x^3\), simplifying the coefficients.
(b) State the set of values of \(x\) for which the expansion is valid.
(a) Expand \((2 - 3x)^{-2}\) in ascending powers of \(x\), up to and including the term in \(x^2\), simplifying the coefficients.
(b) State the set of values of \(x\) for which the expansion is valid.
Find the coefficient of \(x^3\) in the expansion of \((3-x)(1+3x)^{\frac{1}{3}}\) in ascending powers of \(x\).
Expand \(\frac{4}{\sqrt{(4 - 3x)}}\) in ascending powers of \(x\), up to and including the term in \(x^2\), simplifying the coefficients.
Express \(\frac{4x^2 - 13x + 13}{(2x - 1)(x - 3)}\) in partial fractions.
Let \(f(x) \equiv \frac{x^2 + 3x + 3}{(x+1)(x+3)}\).
(i) Express \(f(x)\) in partial fractions.
(ii) Hence show that \(\int_0^3 f(x) \, dx = 3 - \frac{1}{2} \ln 2\).
Let \(f(x) = \frac{x^3 - x - 2}{(x-1)(x^2+1)}\).
(i) Express \(f(x)\) in the form \(A + \frac{B}{x-1} + \frac{Cx+D}{x^2+1}\), where \(A, B, C\) and \(D\) are constants.
(ii) Hence show that \(\int_2^3 f(x) \, dx = 1\).
Let \(f(x) = \frac{4x^2 + 9x - 8}{(x+2)(2x-1)}\).
(i) Express \(f(x)\) in the form \(A + \frac{B}{x+2} + \frac{C}{2x-1}\).
(ii) Hence show that \(\int_1^4 f(x) \, dx = 6 + \frac{1}{2} \ln \left( \frac{16}{7} \right)\).
Show that \(\int_1^2 \frac{u-1}{u+1} \, du = 1 + \ln \frac{4}{9}\).
Let \(f(x) = \frac{4x^2 + 7x + 4}{(2x + 1)(x + 2)}\).
(i) Express \(f(x)\) in partial fractions.
(ii) Show that \(\int_0^4 f(x) \, dx = 8 - \ln 3\).
Let \(f(x) = \frac{3x^3 + 6x - 8}{x(x^2 + 2)}\).
(i) Express \(f(x)\) in the form \(A + \frac{B}{x} + \frac{Cx + D}{x^2 + 2}\).
(ii) Show that \(\int_1^2 f(x) \, dx = 3 - \ln 4\).
By first using the substitution \(u = e^x\), show that
\(\int_0^{\ln 4} \frac{e^{2x}}{e^{2x} + 3e^x + 2} \, dx = \ln \left( \frac{8}{5} \right).\)
Let \(f(x) = \frac{4x^2 - 7x - 1}{(x+1)(2x-3)}\).
(i) Express \(f(x)\) in partial fractions.
(ii) Show that \(\int_2^6 f(x) \, dx = 8 - \ln\left(\frac{49}{3}\right)\).
By first expressing \(\frac{4x^2 + 5x + 3}{2x^2 + 5x + 2}\) in partial fractions, show that
\(\int_0^4 \frac{4x^2 + 5x + 3}{2x^2 + 5x + 2} \, dx = 8 - \ln 9.\)
Find the values of the constants \(A, B, C\) and \(D\) such that
\(\frac{2x^3 - 1}{x^2(2x-1)} \equiv A + \frac{B}{x} + \frac{C}{x^2} + \frac{D}{2x-1}.\)
Hence show that
\(\int_1^2 \frac{2x^3 - 1}{x^2(2x-1)} \, dx = \frac{3}{2} + \frac{1}{2} \ln\left(\frac{16}{27}\right).\)
Let \(f(x) = \frac{2x^2 + 17x - 17}{(1 + 2x)(2 - x)^2}\).
(a) Express \(f(x)\) in partial fractions.
(b) Hence show that \(\int_0^1 f(x) \, dx = \frac{5}{2} - \ln 72\).
Let \(f(x) = \frac{2}{(2x-1)(2x+1)}\).
(a) Express \(f(x)\) in partial fractions.
(b) Using your answer to part (a), show that \((f(x))^2 = \frac{1}{(2x-1)^2} - \frac{1}{2x-1} + \frac{1}{2x+1} + \frac{1}{(2x+1)^2}\).
(c) Hence show that \(\int_1^2 (f(x))^2 \, dx = \frac{2}{5} + \frac{1}{2} \ln\left(\frac{5}{9}\right)\).
Let \(f(x) = \frac{2x^2 + x + 8}{(2x - 1)(x^2 + 2)}\).
(i) Express \(f(x)\) in partial fractions.
(ii) Hence, showing full working, find \(\int_1^5 f(x) \, dx\), giving the answer in the form \(\ln c\), where \(c\) is an integer.
Let \(f(x) = \frac{x^2 + x + 6}{x^2(x+2)}\).
(i) Express \(f(x)\) in partial fractions.
(ii) Hence, showing full working, show that the exact value of \(\int_1^4 f(x) \, dx\) is \(\frac{9}{4}\).
Let \(f(x) = \frac{10x + 9}{(2x + 1)(2x + 3)^2}\).
(i) Express \(f(x)\) in partial fractions.
(ii) Hence show that \(\int_0^1 f(x) \, dx = \frac{1}{2} \ln \frac{9}{5} + \frac{1}{5}\).
Let \(f(x) = \frac{6x^2 + 8x + 9}{(2-x)(3+2x)^2}\).
(i) Express \(f(x)\) in partial fractions.
(ii) Hence, showing all necessary working, show that \(\int_{-1}^{0} f(x) \, dx = 1 + \frac{1}{2} \ln \left( \frac{3}{4} \right)\).
Let \(f(x) = \frac{5x^2 + x + 27}{(2x + 1)(x^2 + 9)}\).
(i) Express \(f(x)\) in partial fractions.
(ii) Hence find \(\int_0^4 f(x) \, dx\), giving your answer in the form \(\ln c\), where \(c\) is an integer.
Let \(f(x) = \frac{3x^2 - 4}{x^2(3x + 2)}\).
(i) Express \(f(x)\) in partial fractions.
(ii) Hence show that \(\int_1^2 f(x) \, dx = \ln\left(\frac{25}{8}\right) - 1\).
(i) Show that \((x + 1)\) is a factor of \(4x^3 - x^2 - 11x - 6\).
(ii) Find \(\int \frac{4x^2 + 9x - 1}{4x^3 - x^2 - 11x - 6} \, dx\).
Let \(f(x) = \frac{11x + 7}{(2x - 1)(x + 2)^2}\).
(i) Express \(f(x)\) in partial fractions.
(ii) Show that \(\int_1^2 f(x) \, dx = \frac{1}{4} + \ln\left(\frac{9}{4}\right)\).
Let \(f(x) = \frac{6 + 6x}{(2-x)(2+x^2)}\).
(i) Express \(f(x)\) in the form \(\frac{A}{2-x} + \frac{Bx+C}{2+x^2}\).
(ii) Show that \(\int_{-1}^{1} f(x) \, dx = 3 \ln 3\).
Let \(f(x) = \frac{3 - 3x^2}{(2x + 1)(x + 2)^2}\).
(a) Express \(f(x)\) in partial fractions.
(b) Hence find the exact value of \(\int_0^4 f(x) \, dx\), giving your answer in the form \(a + b \ln c\), where \(a, b,\) and \(c\) are integers.
Express \(\frac{7x^2 - 3x + 2}{x(x^2 + 1)}\) in partial fractions.
Let \(I = \int_{2}^{5} \frac{5}{x + \sqrt{6-x}} \, dx\).
(i) Using the substitution \(u = \sqrt{6-x}\), show that \(I = \int_{1}^{2} \frac{10u}{(3-u)(2+u)} \, du\).
(ii) Hence show that \(I = 2 \ln\left(\frac{9}{2}\right)\).
The polynomial \(p(x)\) is defined by
\(p(x) = ax^3 - x^2 + 4x - a\),
where \(a\) is a constant. It is given that \((2x - 1)\) is a factor of \(p(x)\).
Let \(f(x) = \frac{12 + 8x - x^2}{(2-x)(4+x^2)}\).
(i) Express \(f(x)\) in the form \(\frac{A}{2-x} + \frac{Bx+C}{4+x^2}\).
(ii) Show that \(\int_0^1 f(x) \, dx = \ln\left(\frac{25}{2}\right)\).
Show that \(\int_0^7 \frac{2x + 7}{(2x + 1)(x + 2)} \, dx = \ln 50\).
(i) Express \(\frac{2}{(x+1)(x+3)}\) in partial fractions.
(ii) Using your answer to part (i), show that \(\left( \frac{2}{(x+1)(x+3)} \right)^2 \equiv \frac{1}{(x+1)^2} - \frac{1}{x+1} + \frac{1}{x+3} + \frac{1}{(x+3)^2}\).
(iii) Hence show that \(\int_0^1 \frac{4}{(x+1)^2(x+3)^2} \, dx = \frac{7}{12} - \ln \frac{3}{2}\).
Show that \(\int_1^2 \frac{2}{u(4-u)} \, du = \frac{1}{2} \ln 3\).
Let \(f(x) = \frac{7x + 4}{(2x + 1)(x + 1)^2}\).
(i) Express \(f(x)\) in partial fractions.
(ii) Hence show that \(\int_0^2 f(x) \, dx = 2 + \ln \frac{5}{3}\).
An appropriate form for expressing \(\frac{3x}{(x+1)(x-2)}\) in partial fractions is \(\frac{A}{x+1} + \frac{B}{x-2}\), where \(A\) and \(B\) are constants.
(a) Without evaluating any constants, state appropriate forms for expressing the following in partial fractions:
(i) \(\frac{4x}{(x+4)(x^2+3)}\)
(ii) \(\frac{2x+1}{(x-2)(x+2)^2}\)
(b) Show that \(\int_3^4 \frac{3x}{(x+1)(x-2)} \, dx = \ln 5\).
Let \(f(x) = \frac{4x}{(3x+1)(x+1)^2}\).
(i) Express \(f(x)\) in partial fractions.
(ii) Hence show that \(\int_0^1 f(x) \, dx = 1 - \ln 2\).
Let \(f(x) = \frac{5x^2 + x + 11}{(4 + x^2)(1 + x)}\).
(a) Express \(f(x)\) in partial fractions.
(b) Hence show that \(\int_0^2 f(x) \, dx = \ln 54 - \frac{1}{8}\pi\).
Let \(f(x) = \frac{5-x+6x^2}{(3-x)(1+3x^2)}\).
(a) Express \(f(x)\) in partial fractions.
(b) Find the exact value of \(\int_0^1 f(x) \, dx\), simplifying your answer.
Let \(f(x) = \frac{4 - x + x^2}{(1 + x)(2 + x^2)}\).
(a) Express \(f(x)\) in partial fractions.
(b) Find the exact value of \(\int_0^4 f(x) \, dx\). Give your answer as a single logarithm.
Let \(f(x) = \frac{x^2 + 9x}{(3x - 1)(x^2 + 3)}\).
(a) Express \(f(x)\) in partial fractions.
(b) Hence find \(\int_1^3 f(x) \, dx\), giving your answer in a simplified exact form.
Let \(f(x) = \frac{15 - 6x}{(1 + 2x)(4 - x)}\).
(a) Express \(f(x)\) in partial fractions.
(b) Hence find \(\int_1^2 f(x) \, dx\), giving your answer in the form \(\ln \left( \frac{a}{b} \right)\), where \(a\) and \(b\) are integers.
Let \(f(x) = \frac{5a}{(2x-a)(3a-x)}\), where \(a\) is a positive constant.
(a) Express \(f(x)\) in partial fractions.
(b) Hence show that \(\int_a^{2a} f(x) \, dx = \ln 6\).
Let \(f(x) = \frac{7x + 18}{(3x + 2)(x^2 + 4)}\).
(a) Express \(f(x)\) in partial fractions.
(b) Hence find the exact value of \(\int_0^2 f(x) \, dx\).
Differentiate \(\frac{2x^3 + 5}{x}\) with respect to \(x\).
Differentiate \(4x + \frac{6}{x^2}\) with respect to \(x\).
The function f is defined by \(f(x) = 2 - \frac{3}{4x-p}\) for \(x > \frac{p}{4}\), where \(p\) is a constant.
Find \(f'(x)\) and hence determine whether \(f\) is an increasing function, a decreasing function or neither.
A function \(f\) is defined by \(f : x \mapsto x^3 - x^2 - 8x + 5\) for \(x < a\). It is given that \(f\) is an increasing function. Find the largest possible value of the constant \(a\).
The function \(f\) is such that \(f(x) = x^3 - 3x^2 - 9x + 2\) for \(x > n\), where \(n\) is an integer. It is given that \(f\) is an increasing function. Find the least possible value of \(n\).
(i) Express \(3x^2 - 6x + 2\) in the form \(a(x+b)^2 + c\), where \(a, b\) and \(c\) are constants.
(ii) The function \(f\), where \(f(x) = x^3 - 3x^2 + 7x - 8\), is defined for \(x \in \mathbb{R}\). Find \(f'(x)\) and state, with a reason, whether \(f\) is an increasing function, a decreasing function or neither.
The function f is defined by \(f(x) = \frac{1}{x+1} + \frac{1}{(x+1)^2}\) for \(x > -1\).
The function g is defined by \(g(x) = \frac{1}{x+1} + \frac{1}{(x+1)^2}\) for \(x < -1\).
(i) Express \(9x^2 - 12x + 5\) in the form \((ax + b)^2 + c\).
(ii) Determine whether \(3x^3 - 6x^2 + 5x - 12\) is an increasing function, a decreasing function or neither.
The equation of a curve is \(y = x^3 + ax^2 + bx\), where \(a\) and \(b\) are constants.
(i) In the case where the curve has no stationary point, show that \(a^2 < 3b\).
(ii) In the case where \(a = -6\) and \(b = 9\), find the set of values of \(x\) for which \(y\) is a decreasing function of \(x\).
A function \(f\) is defined by \(f(x) = \frac{5}{1 - 3x}\), for \(x \geq 1\).
(i) Find an expression for \(f'(x)\).
(ii) Determine, with a reason, whether \(f\) is an increasing function, a decreasing function or neither.
It is given that \(f(x) = (2x - 5)^3 + x\), for \(x \in \mathbb{R}\). Show that \(f\) is an increasing function.
It is given that \(f(x) = \frac{1}{x^3} - x^3\), for \(x > 0\). Show that \(f\) is a decreasing function.
A curve has equation \(y = f(x)\). It is given that \(f'(x) = 3x^2 + 2x - 5\).
Find the set of values of \(x\) for which \(f\) is an increasing function.
It is given that a curve has equation \(y = k(3x-k)^{-1} + 3x\), where \(k\) is a constant.
(a) Find, in terms of \(k\), the values of \(x\) at which there is a stationary point.
The function \(f\) has a stationary value at \(x = a\) and is defined by \(f(x) = 4(3x-4)^{-1} + 3x\) for \(x \geq \frac{3}{2}\).
(b) Find the value of \(a\) and determine the nature of the stationary value.
(c) The function \(g\) is defined by \(g(x) = -(3x+1)^{-1} + 3x\) for \(x \geq 0\).
Determine, making your reasoning clear, whether \(g\) is an increasing function, a decreasing function or neither.
The equation of a curve is \(y = \frac{1}{6}(2x - 3)^3 - 4x\).
(i) Find \(\frac{dy}{dx}\).
(ii) Find the equation of the tangent to the curve at the point where the curve intersects the y-axis.
(iii) Find the set of values of \(x\) for which \(\frac{1}{6}(2x - 3)^3 - 4x\) is an increasing function of \(x\).
The function \(f\) is such that \(f(x) = \frac{3}{2x+5}\) for \(x \in \mathbb{R}, x \neq -2.5\).
Obtain an expression for \(f'(x)\) and explain why \(f\) is a decreasing function.
The function f is such that \(f(x) = (3x + 2)^3 - 5\) for \(x \geq 0\).
Obtain an expression for \(f'(x)\) and hence explain why f is an increasing function.
The diagram shows the graph of \(y = f(x)\), where \(f : x \mapsto \frac{6}{2x+3}\) for \(x \geq 0\).
Find an expression, in terms of \(x\), for \(f'(x)\) and explain how your answer shows that \(f\) is a decreasing function.

The diagram shows the curve \(y = x^3 - 3x^2 - 9x + k\), where \(k\) is a constant. The curve has a minimum point on the \(x\)-axis.
(i) Find the value of \(k\).
(ii) Find the coordinates of the maximum point of the curve.
(iii) State the set of values of \(x\) for which \(x^3 - 3x^2 - 9x + k\) is a decreasing function of \(x\).

A function f is defined by f : x ↦ (2x − 3)3 − 8, for 2 ≤ x ≤ 4.
Find an expression, in terms of x, for f'(x) and show that f is an increasing function.
The function \(f\) is defined by \(f(x) = x^5 - 10x^3 + 50x\) for \(x \in \mathbb{R}\).
Determine whether \(f\) is an increasing function, a decreasing function or neither.
The function \(f\) is defined by \(f(x) = \frac{1}{3}(2x - 1)^{\frac{3}{2}} - 2x\) for \(\frac{1}{2} < x < a\). It is given that \(f\) is a decreasing function.
Find the maximum possible value of the constant \(a\).
The function \(f\) is defined by \(f(x) = \frac{1}{3x+2} + x^2\) for \(x < -1\).
Determine whether \(f\) is an increasing function, a decreasing function or neither.
An increasing function, \(f\), is defined for \(x > n\), where \(n\) is an integer. It is given that \(f'(x) = x^2 - 6x + 8\). Find the least possible value of \(n\).
The function \(f\) is defined by \(f'(x) = x^3 + 2x^2 - 4x + 7\) for \(x \geq -2\). Determine, showing all necessary working, whether \(f\) is an increasing function, a decreasing function or neither.
(i) The tangent to the curve \(y = x^3 - 9x^2 + 24x - 12\) at a point \(A\) is parallel to the line \(y = 2 - 3x\). Find the equation of the tangent at \(A\).
(ii) The function \(f\) is defined by \(f(x) = x^3 - 9x^2 + 24x - 12\) for \(x > k\), where \(k\) is a constant. Find the smallest value of \(k\) for \(f\) to be an increasing function.
The function \(f\) is such that \(f(x) = (2x - 1)^{\frac{3}{2}} - 6x\) for \(\frac{1}{2} < x < k\), where \(k\) is a constant. Find the largest value of \(k\) for which \(f\) is a decreasing function.
The equation of a curve is
\(y = k \sqrt{4x + 1} - x + 5\),
where \(k\) is a positive constant.
(a) Find \(\frac{dy}{dx}\).
(b) Find the \(x\)-coordinate of the stationary point in terms of \(k\).
(c) Given that \(k = 10.5\), find the equation of the normal to the curve at the point where the tangent to the curve makes an angle of \(\arctan(2)\) with the positive \(x\)-axis.
A curve has equation \(y = 3x - \frac{4}{x}\) and passes through the points \(A(1, -1)\) and \(B(4, 11)\). At each of the points \(C\) and \(D\) on the curve, the tangent is parallel to \(AB\). Find the equation of the perpendicular bisector of \(CD\).
A curve has equation \(y = \frac{4}{(3x + 1)^2}\). Find the equation of the tangent to the curve at the point where the line \(x = -1\) intersects the curve.
The diagram shows the curve \(y = \sqrt{x^4 + 4x + 4}\).
(i) Find the equation of the tangent to the curve at the point \((0, 2)\).
(ii) Show that the \(x\)-coordinates of the points of intersection of the line \(y = x + 2\) and the curve are given by the equation \((x + 2)^2 = x^4 + 4x + 4\). Hence find these \(x\)-coordinates.

The diagram shows the curve \(y = (6x + 2)^{\frac{1}{3}}\) and the point \(A (1, 2)\) which lies on the curve. The tangent to the curve at \(A\) cuts the \(y\)-axis at \(B\) and the normal to the curve at \(A\) cuts the \(x\)-axis at \(C\).
(i) Find the equation of the tangent \(AB\) and the equation of the normal \(AC\). [5]
(ii) Find the distance \(BC\). [3]
(iii) Find the coordinates of the point of intersection, \(E\), of \(OA\) and \(BC\), and determine whether \(E\) is the mid-point of \(OA\). [4]

The curve \(y = \frac{10}{2x+1} - 2\) intersects the \(x\)-axis at \(A\). The tangent to the curve at \(A\) intersects the \(y\)-axis at \(C\).
(i) Show that the equation of \(AC\) is \(5y + 4x = 8\).
(ii) Find the distance \(AC\).
The equation of a curve is \(y = 3 + 4x - x^2\).
(i) Show that the equation of the normal to the curve at the point \((3, 6)\) is \(2y = x + 9\).
(ii) Given that the normal meets the coordinate axes at points \(A\) and \(B\), find the coordinates of the mid-point of \(AB\).
(iii) Find the coordinates of the point at which the normal meets the curve again.
The diagram shows part of the curve \(y = 2 - \frac{18}{2x+3}\), which crosses the x-axis at \(A\) and the y-axis at \(B\). The normal to the curve at \(A\) crosses the y-axis at \(C\).
(i) Show that the equation of the line \(AC\) is \(9x + 4y = 27\).
(ii) Find the length of \(BC\).

The equation of a curve is \(y = 5 - \frac{8}{x}\).
(i) Show that the equation of the normal to the curve at the point \(P(2, 1)\) is \(2y + x = 4\).
This normal meets the curve again at the point \(Q\).
(ii) Find the coordinates of \(Q\).
(iii) Find the length of \(PQ\).
The equation of a curve is \(y = 2x + \frac{8}{x^2}\).
(i) Obtain expressions for \(\frac{dy}{dx}\) and \(\frac{d^2y}{dx^2}\).
(ii) Find the coordinates of the stationary point on the curve and determine the nature of the stationary point.
(iii) Show that the normal to the curve at the point \((-2, -2)\) intersects the x-axis at the point \((-10, 0)\).
A curve has equation \(y = \frac{4}{\sqrt{x}}\).
The normal to the curve at the point \((4, 2)\) meets the \(x\)-axis at \(P\) and the \(y\)-axis at \(Q\). Find the length of \(PQ\), correct to 3 significant figures.
The point P lies on the line with equation \(y = mx + c\), where \(m\) and \(c\) are positive constants. A curve has equation \(y = -\frac{m}{x}\). There is a single point P on the curve such that the straight line is a tangent to the curve at P.
(a) Find the coordinates of P, giving the \(y\)-coordinate in terms of \(m\).
The normal to the curve at P intersects the curve again at the point Q.
(b) Find the coordinates of Q in terms of \(m\).
A curve is such that \(\frac{dy}{dx} = \frac{2}{\sqrt{x}} - 1\) and \(P(9, 5)\) is a point on the curve.
(ii) Find the coordinates of the stationary point on the curve. [3]
(iii) Find an expression for \(\frac{d^2y}{dx^2}\) and determine the nature of the stationary point. [2]
(iv) The normal to the curve at \(P\) makes an angle of \(\arctan k\) with the positive \(x\)-axis. Find the value of \(k\). [2]
A curve has equation \(y = \frac{4}{3x-4}\) and \(P(2, 2)\) is a point on the curve.
(i) Find the equation of the tangent to the curve at \(P\).
(ii) Find the angle that this tangent makes with the \(x\)-axis.
The diagram shows the line \(2y = x + 5\) and the curve \(y = x^2 - 4x + 7\), which intersect at the points \(A\) and \(B\). Find
(a) the \(x\)-coordinates of \(A\) and \(B\),
(b) the equation of the tangent to the curve at \(B\),
(c) the acute angle, in degrees correct to 1 decimal place, between this tangent and the line \(2y = x + 5\).

The equation of a curve is \(y = 2\sqrt{3x+4} - x\).
Find the equation of the normal to the curve at the point (4, 4), giving your answer in the form \(y = mx + c\).
The diagram shows the curve with equation \(y = 4x^{\frac{1}{2}}\).
(i) The straight line with equation \(y = x + 3\) intersects the curve at points \(A\) and \(B\). Find the length of \(AB\).
(ii) The tangent to the curve at a point \(T\) is parallel to \(AB\). Find the coordinates of \(T\).
(iii) Find the coordinates of the point of intersection of the normal to the curve at \(T\) with the line \(AB\).

The diagram shows the curve \(y = (x - 1)^{\frac{1}{2}}\) and points \(A(1, 0)\) and \(B(5, 2)\) lying on the curve.
(i) Find the equation of the line \(AB\), giving your answer in the form \(y = mx + c\).
(ii) Find, showing all necessary working, the equation of the tangent to the curve which is parallel to \(AB\).
(iii) Find the perpendicular distance between the line \(AB\) and the tangent parallel to \(AB\). Give your answer correct to 2 decimal places.

A curve has equation \(y = 2x^{\frac{3}{2}} - 3x - 4x^{\frac{1}{2}} + 4\). Find the equation of the tangent to the curve at the point (4, 0).
\(The line 3y + x = 25 is a normal to the curve y = x^2 - 5x + k. Find the value of the constant k.\)
The point A (2, 2) lies on the curve \(y = x^2 - 2x + 2\).
(i) Find the equation of the tangent to the curve at A.
The normal to the curve at A intersects the curve again at B.
(ii) Find the coordinates of B.
The tangents at A and B intersect each other at C.
(iii) Find the coordinates of C.
The point \(P(3, 5)\) lies on the curve \(y = \frac{1}{x-1} - \frac{9}{x-5}\).
(i) Find the \(x\)-coordinate of the point where the normal to the curve at \(P\) intersects the \(x\)-axis.
(ii) Find the \(x\)-coordinate of each of the stationary points on the curve and determine the nature of each stationary point, justifying your answers.
The equation of a curve is \(y = f(x)\), where \(f(x) = (4x - 3)^{\frac{5}{3}} - \frac{20}{3}x\).
(a) Find the \(x\)-coordinates of the stationary points of the curve and determine their nature.
(b) State the set of values for which the function \(f\) is increasing.
The equation of a curve is \(y = 2 + \sqrt{25 - x^2}\).
Find the coordinates of the point on the curve at which the gradient is \(\frac{4}{3}\).
The equation of a curve is \(y = 54x - (2x - 7)^3\).
(a) Find \(\frac{dy}{dx}\) and \(\frac{d^2y}{dx^2}\).
(b) Find the coordinates of each of the stationary points on the curve.
(c) Determine the nature of each of the stationary points.
The equation of a curve is \(y = (3 - 2x)^3 + 24x\).
(a) Find expressions for \(\frac{dy}{dx}\) and \(\frac{d^2y}{dx^2}\).
(b) Find the coordinates of each of the stationary points on the curve.
(c) Determine the nature of each stationary point.
The equation of a curve is \(y = x^3 + x^2 - 8x + 7\). The curve has no stationary points in the interval \(a < x < b\). Find the least possible value of \(a\) and the greatest possible value of \(b\).
The line \(y = ax + b\) is a tangent to the curve \(y = 2x^3 - 5x^2 - 3x + c\) at the point \((2, 6)\). Find the values of the constants \(a, b\) and \(c\).
A curve has equation \(y = (2x - 1)^{-1} + 2x\).
(i) Find \(\frac{dy}{dx}\) and \(\frac{d^2y}{dx^2}\).
(ii) Find the \(x\)-coordinates of the stationary points and, showing all necessary working, determine the nature of each stationary point.
The curve with equation \(y = x^3 - 2x^2 + 5x\) passes through the origin.
(i) Show that the curve has no stationary points.
(ii) Denoting the gradient of the curve by \(m\), find the stationary value of \(m\) and determine its nature.
Functions f and g are defined by
\(f(x) = \frac{8}{x-2} + 2\) for \(x > 2\),
Find the set of values of \(x\) satisfying the inequality \(6f'(x) + 2f^{-1}(x) - 5 < 0\).
A curve has equation \(y = \frac{1}{2}x^{\frac{1}{2}} - 4x^{\frac{3}{2}} + 8x\).
(i) Find the \(x\)-coordinates of the stationary points.
(ii) Find \(\frac{d^2y}{dx^2}\).
(iii) Find, showing all necessary working, the nature of each stationary point.
A curve is such that \(\frac{dy}{dx} = -x^2 + 5x - 4\).
(i) Find the \(x\)-coordinate of each of the stationary points of the curve.
(ii) Obtain an expression for \(\frac{d^2y}{dx^2}\) and hence or otherwise find the nature of each of the stationary points.
Find the coordinates of the minimum point of the curve \(y = \frac{9}{4}x^2 - 12x + 18\).
The equation of a curve is \(y = 8\sqrt{x} - 2x\).
The function \(f\) is defined for \(x \geq 0\) by \(f(x) = (4x + 1)^{\frac{3}{2}}\).
(i) Find \(f'(x)\) and \(f''(x)\).
The first, second and third terms of a geometric progression are respectively \(f(2)\), \(f'(2)\) and \(kf''(2)\).
(ii) Find the value of the constant \(k\).
A curve has equation \(y = 8x + (2x - 1)^{-1}\). Find the values of \(x\) at which the curve has a stationary point and determine the nature of each stationary point, justifying your answers.
The function f is defined by \(f(x) = 2x + (x + 1)^{-2}\) for \(x > -1\).
Find \(f'(x)\) and \(f''(x)\) and hence verify that the function f has a minimum value at \(x = 0\).
A curve has equation \(y = \frac{8}{x} + 2x\).
(i) Find \(\frac{dy}{dx}\) and \(\frac{d^2y}{dx^2}\).
(ii) Find the coordinates of the stationary points and state, with a reason, the nature of each stationary point.
Variables u, x and y are such that \(u = 2x(y - x)\) and \(x + 3y = 12\). Express u in terms of x and hence find the stationary value of u.
The equation of a curve is \(y = x^3 + px^2\), where \(p\) is a positive constant.
(i) Show that the origin is a stationary point on the curve and find the coordinates of the other stationary point in terms of \(p\).
(ii) Find the nature of each of the stationary points.
Another curve has equation \(y = x^3 + px^2 + px\).
(iii) Find the set of values of \(p\) for which this curve has no stationary points.
A function \(f\) is such that \(f(x) = \frac{15}{2x+3}\) for \(0 \leq x \leq 6\).
Find an expression for \(f'(x)\) and use your result to explain why \(f\) has an inverse.
A curve has equation \(y = \frac{k^2}{x+2} + x\), where \(k\) is a positive constant. Find, in terms of \(k\), the values of \(x\) for which the curve has stationary points and determine the nature of each stationary point.
The equation of a curve is \(y = \frac{2}{\sqrt{5x - 6}}\).
Find the gradient of the curve at the point where \(x = 2\).
A curve has equation \(y = ax^{\frac{1}{2}} - 2x\), where \(x > 0\) and \(a\) is a constant. The curve has a stationary point at the point \(P\), which has \(x\)-coordinate 9.
Find the \(y\)-coordinate of \(P\).
The non-zero variables x, y and u are such that u = x2y. Given that y + 3x = 9, find the stationary value of u and determine whether this is a maximum or a minimum value.
A curve has equation \(y = f(x)\) and is such that \(f'(x) = 3x^{\frac{1}{2}} + 3x^{-\frac{1}{2}} - 10\).
(i) By using the substitution \(u = x^{\frac{1}{2}}\), or otherwise, find the values of \(x\) for which the curve \(y = f(x)\) has stationary points.
(ii) Find \(f''(x)\) and hence, or otherwise, determine the nature of each stationary point.
A curve is such that \(\frac{dy}{dx} = 2(3x + 4)^{\frac{3}{2}} - 6x - 8\).
(i) Find \(\frac{d^2y}{dx^2}\).
(ii) Verify that the curve has a stationary point when \(x = -1\) and determine its nature.
A curve has equation \(y = 2x + \frac{1}{(x-1)^2}\). Verify that the curve has a stationary point at \(x = 2\) and determine its nature.
It is given that a curve has equation \(y = f(x)\), where \(f(x) = x^3 - 2x^2 + x\).
(i) Find the set of values of \(x\) for which the gradient of the curve is less than 5.
(ii) Find the values of \(f(x)\) at the two stationary points on the curve and determine the nature of each stationary point.
A curve has equation \(y = 3x^3 - 6x^2 + 4x + 2\). Show that the gradient of the curve is never negative.
Function g is defined by
\(g : x \mapsto 2(x-1)^3 + 8, \quad x > 1\).
Obtain an expression for \(g'(x)\) and use your answer to explain why \(g\) has an inverse.
The variables x, y and z can take only positive values and are such that
\(z = 3x + 2y\) and \(xy = 600\).
(i) Show that \(z = 3x + \frac{1200}{x}\).
(ii) Find the stationary value of \(z\) and determine its nature.
A curve has equation \(y = \frac{1}{x-3} + x\).
(i) Find \(\frac{dy}{dx}\) and \(\frac{d^2y}{dx^2}\).
(ii) Find the coordinates of the maximum point \(A\) and the minimum point \(B\) on the curve.
The equation of a curve is \(y = \frac{9}{2-x}\).
Find an expression for \(\frac{dy}{dx}\) and determine, with a reason, whether the curve has any stationary points.
The equation of a curve is \(y = 3x + 1 - 4(3x + 1)^{\frac{1}{2}}\) for \(x > -\frac{1}{3}\).
(a) Find \(\frac{dy}{dx}\) and \(\frac{d^2y}{dx^2}\).
(b) Find the coordinates of the stationary point of the curve and determine its nature.
The equation of a curve is \(y = (2x - 3)^3 - 6x\).
(i) Express \(\frac{dy}{dx}\) and \(\frac{d^2y}{dx^2}\) in terms of \(x\).
(ii) Find the \(x\)-coordinates of the two stationary points and determine the nature of each stationary point.
A curve has equation \(y = \frac{k}{x}\). Given that the gradient of the curve is \(-3\) when \(x = 2\), find the value of the constant \(k\).
Find the gradient of the curve \(y = \frac{12}{x^2 - 4x}\) at the point where \(x = 3\).
A curve has equation \(y = x^2 + \frac{2}{x}\).
(i) Write down expressions for \(\frac{dy}{dx}\) and \(\frac{d^2y}{dx^2}\).
(ii) Find the coordinates of the stationary point on the curve and determine its nature.
A curve has equation \(y = x^3 + 3x^2 - 9x + k\), where \(k\) is a constant.
(i) Write down an expression for \(\frac{dy}{dx}\).
(ii) Find the \(x\)-coordinates of the two stationary points on the curve.
(iii) Hence find the two values of \(k\) for which the curve has a stationary point on the \(x\)-axis.
The function \(f\) is defined by \(f(x) = x^2 + \frac{k}{x} + 2\) for \(x > 0\).
(a) Given that the curve with equation \(y = f(x)\) has a stationary point when \(x = 2\), find \(k\).
(b) Determine the nature of the stationary point.
(c) Given that this is the only stationary point of the curve, find the range of \(f\).
The gradient of a curve is given by \(\frac{dy}{dx} = 6(3x - 5)^3 - kx^2\), where \(k\) is a constant. The curve has a stationary point at \((2, -3.5)\).
(a) Find the value of \(k\).
(c) Find \(\frac{d^2y}{dx^2}\).
(d) Determine the nature of the stationary point at \((2, -3.5)\).
The equation of a curve is \(y = 2\sqrt{3x+4} - x\).
(b) Find the coordinates of the stationary point.
(c) Determine the nature of the stationary point.
A curve has equation \(y = \frac{1}{k}x^{\frac{1}{2}} + x^{-\frac{1}{2}} + \frac{1}{k^2}\) where \(x > 0\) and \(k\) is a positive constant.
It is given that when \(x = \frac{1}{4}\), the gradient of the curve is 3.
Find the value of \(k\).
The equation of a curve is \(y = 2x + 1 + \frac{1}{2x+1}\) for \(x > -\frac{1}{2}\).
(a) Find \(\frac{dy}{dx}\) and \(\frac{d^2y}{dx^2}\).
(b) Find the coordinates of the stationary point and determine the nature of the stationary point.
A curve has equation \(y = 2x^{\frac{1}{2}} - 1\).
(a) Find the equation of the normal to the curve at the point \(A(4, 3)\), giving your answer in the form \(y = mx + c\).
A point is moving along the curve \(y = 2x^{\frac{1}{2}} - 1\) in such a way that at \(A\) the rate of increase of the \(x\)-coordinate is \(3 \text{ cm s}^{-1}\).
(b) Find the rate of increase of the \(y\)-coordinate at \(A\).
At \(A\) the moving point suddenly changes direction and speed, and moves down the normal in such a way that the rate of decrease of the \(y\)-coordinate is constant at \(5 \text{ cm s}^{-1}\).
(c) As the point moves down the normal, find the rate of change of its \(x\)-coordinate.
The point (4, 7) lies on the curve \(y = f(x)\) and it is given that \(f'(x) = 6x^{-\frac{1}{2}} - 4x^{-\frac{3}{2}}\).
A point moves along the curve in such a way that the x-coordinate is increasing at a constant rate of 0.12 units per second.
Find the rate of increase of the y-coordinate when \(x = 4\).
Air is being pumped into a balloon in the shape of a sphere so that its volume is increasing at a constant rate of 50 cm3s-1.
Find the rate at which the radius of the balloon is increasing when the radius is 10 cm.
A point P is moving along a curve in such a way that the x-coordinate of P is increasing at a constant rate of 2 units per minute. The equation of the curve is \(y = (5x - 1)^{1/2}\).
\((a) Find the rate at which the y-coordinate is increasing when x = 1. [4]\)
(b) Find the value of x when the y-coordinate is increasing at \(\frac{5}{8}\) units per minute. [3]
A weather balloon in the shape of a sphere is being inflated by a pump. The volume of the balloon is increasing at a constant rate of 600 cm3 per second. The balloon was empty at the start of pumping.
(a) Find the radius of the balloon after 30 seconds.
(b) Find the rate of increase of the radius after 30 seconds.
A curve has equation \(y = x^2 - 2x - 3\). A point is moving along the curve in such a way that at \(P\) the \(y\)-coordinate is increasing at 4 units per second and the \(x\)-coordinate is increasing at 6 units per second.
Find the \(x\)-coordinate of \(P\).
The dimensions of a cuboid are x cm, 2x cm and 4x cm, as shown in the diagram.
(i) Show that the surface area S cm2 and the volume V cm3 are connected by the relation
\(S = 7V^{\frac{2}{3}}\).
(ii) When the volume of the cuboid is 1000 cm3 the surface area is increasing at 2 cm2 s−1. Find the rate of increase of the volume at this instant.

A curve is such that \(\frac{dy}{dx} = x^3 - \frac{4}{x^2}\). The point \(P(2, 9)\) lies on the curve.
A point moves on the curve in such a way that the \(x\)-coordinate is decreasing at a constant rate of 0.05 units per second. Find the rate of change of the \(y\)-coordinate when the point is at \(P\).
A curve has equation \(y = \frac{1}{2}(4x - 3)^{-1}\). The point \(A\) on the curve has coordinates \((1, \frac{1}{2})\).
(i) (a) Find and simplify the equation of the normal through \(A\). [5]
(b) Find the \(x\)-coordinate of the point where this normal meets the curve again. [3]
(ii) A point is moving along the curve in such a way that as it passes through \(A\) its \(x\)-coordinate is decreasing at the rate of 0.3 units per second. Find the rate of change of its \(y\)-coordinate at \(A\). [2]
A point is moving along the curve \(y = 2x + \frac{5}{x}\) in such a way that the \(x\)-coordinate is increasing at a constant rate of 0.02 units per second. Find the rate of change of the \(y\)-coordinate when \(x = 1\).
Fig. 2 shows a cross-section of a bowl containing water. When the height of the water level is \(h\) cm, the volume, \(V\) cm\(^3\), of water is given by \(V = \pi \left( \frac{1}{2}h^2 + h \right)\). Water is poured into the bowl at a constant rate of 2 cm\(^3\) s\(^{-1}\). Find the rate, in cm s\(^{-1}\), at which the height of the water level is increasing when the height of the water level is 3 cm.

The diagram shows a cubical closed container made of a thin elastic material which is filled with water and frozen. During the freezing process the length, x cm, of each edge of the container increases at the constant rate of 0.01 cm per minute. The volume of the container at time t minutes is V cm3.
\(Find the rate of increase of V when x = 20.\)

A curve has equation \(y = 3 + \frac{12}{2-x}\).
(i) Find the equation of the tangent to the curve at the point where the curve crosses the x-axis. [5]
(ii) A point moves along the curve in such a way that the x-coordinate is increasing at a constant rate of 0.04 units per second. Find the rate of change of the y-coordinate when \(x = 4\). [2]
The diagram shows a water container in the form of an inverted pyramid, which is such that when the height of the water level is h cm the surface of the water is a square of side \(\frac{1}{2}h\) cm.
(i) Express the volume of water in the container in terms of h.
[The volume of a pyramid having a base area A and vertical height h is \(\frac{1}{3}Ah\).]
Water is steadily dripping into the container at a constant rate of 20 cm3 per minute.
(ii) Find the rate, in cm per minute, at which the water level is rising when the height of the water level is 10 cm.

The equation of a curve is \(y = 2 + \frac{3}{2x - 1}\).
(i) Obtain an expression for \(\frac{dy}{dx}\).
(ii) Explain why the curve has no stationary points.
At the point \(P\) on the curve, \(x = 2\).
(iii) Show that the normal to the curve at \(P\) passes through the origin.
(iv) A point moves along the curve in such a way that its \(x\)-coordinate is decreasing at a constant rate of 0.06 units per second. Find the rate of change of the \(y\)-coordinate as the point passes through \(P\).
The point \(P(x, y)\) is moving along the curve \(y = x^2 - \frac{10}{3}x^{3/2} + 5x\) in such a way that the rate of change of \(y\) is constant. Find the values of \(x\) at the points at which the rate of change of \(x\) is equal to half the rate of change of \(y\).
A curve is such that \(\frac{dy}{dx} = 2 - 8(3x + 4)^{-\frac{1}{2}}\).
A point \(P\) moves along the curve in such a way that the \(x\)-coordinate is increasing at a constant rate of 0.3 units per second. Find the rate of change of the \(y\)-coordinate as \(P\) crosses the \(y\)-axis.
Fig. 1 shows an open tank in the shape of a triangular prism. The vertical ends ABE and DCF are identical isosceles triangles. Angle \(ABE =\) angle \(BAE = 30^\circ\). The length of \(AD\) is 40 cm. The tank is fixed in position with the open top \(ABCD\) horizontal. Water is poured into the tank at a constant rate of 200 cm\(^3\) s\(^{-1}\). The depth of water, \(t\) seconds after filling starts, is \(h\) cm (see Fig. 2).
(i) Show that, when the depth of water in the tank is \(h\) cm, the volume, \(V\) cm\(^3\), of water in the tank is given by \(V = (40\sqrt{3})h^2\).
(ii) Find the rate at which \(h\) is increasing when \(h = 5\).

The diagram shows the curve \(y = 2x^2\) and the points \(X(-2, 0)\) and \(P(p, 0)\). The point \(Q\) lies on the curve and \(PQ\) is parallel to the \(y\)-axis.
(i) Express the area, \(A\), of triangle \(XPQ\) in terms of \(p\).
(ii) The point \(P\) moves along the \(x\)-axis at a constant rate of 0.02 units per second and \(Q\) moves along the curve so that \(PQ\) remains parallel to the \(y\)-axis. Find the rate at which \(A\) is increasing when \(p = 2\).

A point P travels along the curve \(y = (7x^2 + 1)^{\frac{1}{3}}\) in such a way that the x-coordinate of P at time t minutes is increasing at a constant rate of 8 units per minute. Find the rate of increase of the y-coordinate of P at the instant when P is at the point (3, 4).
A curve has equation \(y = \frac{12}{3 - 2x}\).
(i) Find \(\frac{dy}{dx}\).
A point moves along this curve. As the point passes through \(A\), the x-coordinate is increasing at a rate of 0.15 units per second and the y-coordinate is increasing at a rate of 0.4 units per second.
(ii) Find the possible x-coordinates of \(A\).
The diagram shows part of the curve \(y = \frac{8}{x} + 2x\) and three points \(A, B,\) and \(C\) on the curve with \(x\)-coordinates 1, 2, and 5 respectively.
A point \(P\) moves along the curve in such a way that its \(x\)-coordinate increases at a constant rate of 0.04 units per second. Find the rate at which the \(y\)-coordinate of \(P\) is changing as \(P\) passes through \(A\).

Water is poured into a tank at a constant rate of 500 cm3 per second. The depth of water in the tank, t seconds after filling starts, is h cm. When the depth of water in the tank is h cm, the volume, V cm3, of water in the tank is given by the formula \(V = \frac{4}{3}(25 + h)^3 - \frac{62500}{3}\).
\((a) Find the rate at which h is increasing at the instant when h = 10 cm.\)
(b) At another instant, the rate at which h is increasing is 0.075 cm per second. Find the value of V at this instant.
An oil pipeline under the sea is leaking oil and a circular patch of oil has formed on the surface of the sea. At midday the radius of the patch of oil is 50 m and is increasing at a rate of 3 metres per hour. Find the rate at which the area of the oil is increasing at midday.
The equation of a curve is \(y = 4\sqrt{x} + \frac{2}{\sqrt{x}}\).
(i) Obtain an expression for \(\frac{dy}{dx}\).
(ii) A point is moving along the curve in such a way that the \(x\)-coordinate is increasing at a constant rate of 0.12 units per second. Find the rate of change of the \(y\)-coordinate when \(x = 4\).
A watermelon is assumed to be spherical in shape while it is growing. Its mass, \(M\) kg, and radius, \(r\) cm, are related by the formula \(M = kr^3\), where \(k\) is a constant. It is also assumed that the radius is increasing at a constant rate of 0.1 centimetres per day. On a particular day the radius is 10 cm and the mass is 3.2 kg. Find the value of \(k\) and the rate at which the mass is increasing on this day.
The volume of a spherical balloon is increasing at a constant rate of 50 cm3 per second. Find the rate of increase of the radius when the radius is 10 cm. [Volume of a sphere = \(\frac{4}{3}\pi r^3\).]
The length, x metres, of a Green Anaconda snake which is t years old is given approximately by the formula
\(x = 0.7 \sqrt{(2t - 1)}\),
where \(1 \leq t \leq 10\). Using this formula, find
(i) \(\frac{dx}{dt}\),
(ii) the rate of growth of a Green Anaconda snake which is 5 years old.
The equation of a curve is \(y = \frac{12}{x^2 + 3}\).
(i) Obtain an expression for \(\frac{dy}{dx}\).
(ii) Find the equation of the normal to the curve at the point \(P(1, 3)\).
(iii) A point is moving along the curve in such a way that the \(x\)-coordinate is increasing at a constant rate of 0.012 units per second. Find the rate of change of the \(y\)-coordinate as the point passes through \(P\).
The equation of a curve is \(y = \frac{6}{5 - 2x}\).
(i) Calculate the gradient of the curve at the point where \(x = 1\).
(ii) A point with coordinates \((x, y)\) moves along the curve in such a way that the rate of increase of \(y\) has a constant value of 0.02 units per second. Find the rate of increase of \(x\) when \(x = 1\).
The equation of a curve is \(y = \sqrt{5x + 4}\).
(i) Calculate the gradient of the curve at the point where \(x = 1\).
(ii) A point with coordinates \((x, y)\) moves along the curve in such a way that the rate of increase of \(x\) has the constant value 0.03 units per second. Find the rate of increase of \(y\) at the instant when \(x = 1\).
A curve has equation \(y = \frac{1}{60}(3x + 1)^2\) and a point is moving along the curve.
Find the \(x\)-coordinate of the point on the curve at which the \(x\)- and \(y\)-coordinates are increasing at the same rate.
A large industrial water tank is such that, when the depth of the water in the tank is x metres, the volume V m3 of water in the tank is given by \(V = 243 - \frac{1}{3}(9-x)^3\). Water is being pumped into the tank at a constant rate of 3.6 m3 per hour.
Find the rate of increase of the depth of the water when the depth is 4 m, giving your answer in cm per minute.
A point P is moving along the curve \(y = 18 - \frac{3}{8}x^{\frac{5}{2}}\) in such a way that the x-coordinate of P is increasing at a constant rate of 2 units per second.
Find the rate at which the y-coordinate of P is changing when \(x = 4\).
The function f is defined by \(f(x) = (4x + 2)^{-2}\) for \(x > -\frac{1}{2}\).
A point is moving along the curve \(y = f(x)\) in such a way that, as it passes through the point A, its y-coordinate is decreasing at the rate of k units per second and its x-coordinate is increasing at the rate of k units per second.
Find the coordinates of A.
The volume \(V \text{ m}^3\) of a large circular mound of iron ore of radius \(r \text{ m}\) is modelled by the equation \(V = \frac{3}{2} \left( r - \frac{1}{2} \right)^3 - 1\) for \(r \geq 2\). Iron ore is added to the mound at a constant rate of \(1.5 \text{ m}^3\) per second.
(a) Find the rate at which the radius of the mound is increasing at the instant when the radius is \(5.5 \text{ m}\).
(b) Find the volume of the mound at the instant when the radius is increasing at \(0.1 \text{ m}\) per second.
A curve is such that \(\frac{dy}{dx} = \frac{6}{(3x-2)^3}\) and \(A(1, -3)\) lies on the curve. A point is moving along the curve and at \(A\) the \(y\)-coordinate of the point is increasing at 3 units per second.
Find the rate of increase at \(A\) of the \(x\)-coordinate of the point.
The diagram shows a solid cone which has a slant height of 15 cm and a vertical height of h cm.
(i) Show that the volume, V cm3, of the cone is given by \(V = \frac{1}{3}\pi(225h - h^3)\).
[The volume of a cone of radius r and vertical height h is \(\frac{1}{3}\pi r^2 h\).]
(ii) Given that h can vary, find the value of h for which V has a stationary value. Determine, showing all necessary working, the nature of this stationary value.

The volume of a solid circular cylinder of radius r cm is 250\(\pi\) cm3.
The diagram shows a plan for a rectangular park ABCD, in which AB = 40 m and AD = 60 m. Points X and Y lie on BC and CD respectively and AX, XY and YA are paths that surround a triangular playground. The length of DY is x m and the length of XC is 2x m.

The diagram shows the dimensions in metres of an L-shaped garden. The perimeter of the garden is 48 m.

The diagram shows an open rectangular tank of height \(h\) metres covered with a lid. The base of the tank has sides of length \(x\) metres and \(\frac{1}{2}x\) metres and the lid is a rectangle with sides of length \(\frac{5}{4}x\) metres and \(\frac{4}{5}x\) metres. When full the tank holds \(4 \text{ m}^3\) of water. The material from which the tank is made is of negligible thickness. The external surface area of the tank together with the area of the top of the lid is \(A \text{ m}^2\).

The diagram shows a metal plate consisting of a rectangle with sides x cm and y cm and a quarter-circle of radius x cm. The perimeter of the plate is 60 cm.
Given that x can vary,

A solid rectangular block has a square base of side \(x\) cm. The height of the block is \(h\) cm and the total surface area of the block is 96 cm2.
(i) Express \(h\) in terms of \(x\) and show that the volume, \(V\) cm3, of the block is given by \(V = 24x - \frac{1}{2}x^3\).
Given that \(x\) can vary,
(ii) find the stationary value of \(V\),
(iii) determine whether this stationary value is a maximum or a minimum.
A piece of wire of length 50 cm is bent to form the perimeter of a sector POQ of a circle. The radius of the circle is r cm and the angle POQ is \(\theta\) radians (see diagram).
(i) Express \(\theta\) in terms of \(r\) and show that the area, \(A \text{ cm}^2\), of the sector is given by \(A = 25r - r^2\).
(ii) Given that \(r\) can vary, find the stationary value of \(A\) and determine its nature.

A wire, 80 cm long, is cut into two pieces. One piece is bent to form a square of side \(x\) cm and the other piece is bent to form a circle of radius \(r\) cm (see diagram). The total area of the square and the circle is \(A\) cm\(^2\).
(i) Show that \(A = \frac{(\pi + 4)x^2 - 160x + 1600}{\pi}\).
(ii) Given that \(x\) and \(r\) can vary, find the value of \(x\) for which \(A\) has a stationary value.

The diagram shows an open container constructed out of 200 cm2 of cardboard. The two vertical end pieces are isosceles triangles with sides 5x cm, 5x cm, and 8x cm, and the two side pieces are rectangles of length y cm and width 5x cm, as shown. The open top is a horizontal rectangle.
(i) Show that \(y = \frac{200 - 24x^2}{10x}\).
(ii) Show that the volume, \(V \text{ cm}^3\), of the container is given by \(V = 240x - 28.8x^3\).
Given that \(x\) can vary,
(iii) find the value of \(x\) for which \(V\) has a stationary value,
(iv) determine whether it is a maximum or a minimum stationary value.

The diagram shows the cross-section of a hollow cone and a circular cylinder. The cone has radius 6 cm and height 12 cm, and the cylinder has radius \(r\) cm and height \(h\) cm. The cylinder just fits inside the cone with all of its upper edge touching the surface of the cone.
(i) Express \(h\) in terms of \(r\) and hence show that the volume, \(V \text{ cm}^3\), of the cylinder is given by \(V = 12\pi r^2 - 2\pi r^3\).
(ii) Given that \(r\) varies, find the stationary value of \(V\).

Machines in a factory make cardboard cones of base radius r cm and vertical height h cm. The volume, V cm3, of such a cone is given by \(V = \frac{1}{3} \pi r^2 h\). The machines produce cones for which \(h + r = 18\).
(i) Show that \(V = 6\pi r^2 - \frac{1}{3} \pi r^3\).
(ii) Given that r can vary, find the non-zero value of r for which V has a stationary value and show that the stationary value is a maximum.
(iii) Find the maximum volume of a cone that can be made by these machines.
The diagram shows a glass window consisting of a rectangle of height \(h\) m and width \(2r\) m and a semicircle of radius \(r\) m. The perimeter of the window is 8 m.
(i) Express \(h\) in terms of \(r\).
(ii) Show that the area of the window, \(A\) m\(^2\), is given by \(A = 8r - 2r^2 - \frac{1}{2} \pi r^2\).
Given that \(r\) can vary,
(iii) find the value of \(r\) for which \(A\) has a stationary value,
(iv) determine whether this stationary value is a maximum or a minimum.

A solid rectangular block has a base which measures \(2x\) cm by \(x\) cm. The height of the block is \(y\) cm and the volume of the block is \(72\) cm3.
(i) Express \(y\) in terms of \(x\) and show that the total surface area, \(A\) cm2, of the block is given by \(A = 4x^2 + \frac{216}{x}\).
Given that \(x\) can vary,
(ii) find the value of \(x\) for which \(A\) has a stationary value,
(iii) find this stationary value and determine whether it is a maximum or a minimum.
A hollow circular cylinder, open at one end, is constructed of thin sheet metal. The total external surface area of the cylinder is \(192\pi \text{ cm}^2\). The cylinder has a radius of \(r\) cm and a height of \(h\) cm.
(i) Express \(h\) in terms of \(r\) and show that the volume, \(V \text{ cm}^3\), of the cylinder is given by \(V = \frac{1}{2} \pi (192r - r^3)\).
Given that \(r\) can vary,
(ii) find the value of \(r\) for which \(V\) has a stationary value,
(iii) find this stationary value and determine whether it is a maximum or a minimum.
The horizontal base of a solid prism is an equilateral triangle of side \(x\) cm. The sides of the prism are vertical. The height of the prism is \(h\) cm and the volume of the prism is 2000 cm\(^3\).
(i) Express \(h\) in terms of \(x\) and show that the total surface area of the prism, \(A\) cm\(^2\), is given by
\(A = \frac{\sqrt{3}}{2}x^2 + \frac{24000}{\sqrt{3}}x^{-1}.\)
[3]
(ii) Given that \(x\) can vary, find the value of \(x\) for which \(A\) has a stationary value. [3]
(iii) Determine, showing all necessary working, the nature of this stationary value. [2]
A farmer divides a rectangular piece of land into 8 equal-sized rectangular sheep pens as shown in the diagram. Each sheep pen measures \(x\) m by \(y\) m and is fully enclosed by metal fencing. The farmer uses 480 m of fencing.
(i) Show that the total area of land used for the sheep pens, \(A\) m\(^2\), is given by \(A = 384x - 9.6x^2\).
(ii) Given that \(x\) and \(y\) can vary, find the dimensions of each sheep pen for which the value of \(A\) is a maximum. (There is no need to verify that the value of \(A\) is a maximum.)

A vacuum flask (for keeping drinks hot) is modelled as a closed cylinder in which the internal radius is \(r\) cm and the internal height is \(h\) cm. The volume of the flask is 1000 cm\(^3\). A flask is most efficient when the total internal surface area, \(A\) cm\(^2\), is a minimum.
(i) Show that \(A = 2\pi r^2 + \frac{2000}{r}\).
(ii) Given that \(r\) can vary, find the value of \(r\), correct to 1 decimal place, for which \(A\) has a stationary value and verify that the flask is most efficient when \(r\) takes this value.
A piece of wire of length 24 cm is bent to form the perimeter of a sector of a circle of radius \(r\) cm.
(i) Show that the area of the sector, \(A\) cm\(^2\), is given by \(A = 12r - r^2\).
(ii) Express \(A\) in the form \(a - (r - b)^2\), where \(a\) and \(b\) are constants.
(iii) Given that \(r\) can vary, state the greatest value of \(A\) and find the corresponding angle of the sector.
The base of a cuboid has sides of length \(x\) cm and \(3x\) cm. The volume of the cuboid is \(288 \text{ cm}^3\).
(i) Show that the total surface area of the cuboid, \(A \text{ cm}^2\), is given by
\(A = 6x^2 + \frac{768}{x}.\)
(ii) Given that \(x\) can vary, find the stationary value of \(A\) and determine its nature.
In the diagram, S is the point (0, 12) and T is the point (16, 0). The point Q lies on ST, between S and T, and has coordinates (x, y). The points P and R lie on the x-axis and y-axis respectively and OPQR is a rectangle.

The inside lane of a school running track consists of two straight sections each of length x metres, and two semicircular sections each of radius r metres, as shown in the diagram. The straight sections are perpendicular to the diameters of the semicircular sections. The perimeter of the inside lane is 400 metres.
\((i) Show that the area, A m2, of the region enclosed by the inside lane is given by A = 400r - \pi r^2.\)
(ii) Given that x and r can vary, show that, when A has a stationary value, there are no straight sections in the track. Determine whether the stationary value is a maximum or a minimum.

A car has mass 1600 kg.
(a) The car is moving along a straight horizontal road at a constant speed of 24 m/s and is subject to a constant resistance of magnitude 480 N.
Find, in kW, the rate at which the engine of the car is working.
The car now moves down a hill inclined at an angle of \(\theta\) to the horizontal, where \(\sin \theta = 0.09\). The engine of the car is working at a constant rate of 12 kW. The speed of the car is 24 m/s at the top of the hill. Ten seconds later the car has travelled 280 m down the hill and has speed 32 m/s.
(b) Given that the resistance is not constant, use an energy method to find the total work done against the resistance during the ten seconds.
A car of mass 900 kg is moving up a hill inclined at \(\sin^{-1} 0.12\) to the horizontal. The initial speed of the car is 11 m s\(^{-1}\). After 12 s, the car has travelled 150 m up the hill and has speed 16 m s\(^{-1}\). The engine of the car is working at a constant rate of 24 kW.
(a) Find the work done against the resistive forces during the 12 s.
The car then travels along a straight horizontal road. There is a resistance to the motion of the car of \((1520 + 4v)\) N when the speed of the car is \(v\) m s\(^{-1}\). The car travels at a constant speed with the engine working at a constant rate of 32 kW.
(b) Find this speed.
Two racing cars A and B are at rest alongside each other at a point O on a straight horizontal test track. The mass of A is 1200 kg. The engine of A produces a constant driving force of 4500 N. When A arrives at a point P its speed is 25 m/s. The distance OP is d m. The work done against the resistance force experienced by A between O and P is 75000 J.
A car of mass m kg is towing a trailer of mass 300 kg down a straight hill inclined at 3° to the horizontal at a constant speed. There are resistance forces on the car and on the trailer, and the total work done against the resistance forces in a distance of 50 m is 40000 J. The engine of the car is doing no work and the tow-bar is light and rigid.
(a) Find the value of m.
The resistance force on the trailer is 200 N.
(b) Find the tension in the tow-bar between the car and the trailer.
A crane is used to raise a block of mass 600 kg vertically upwards at a constant speed through a height of 15 m. There is a resistance to the motion of the block, which the crane does 10,000 J of work to overcome.
(a) Find the total work done by the crane.
(b) Given that the average power exerted by the crane is 12.5 kW, find the total time for which the block is in motion.
A ball of mass 1.6 kg is released from rest at a point 5 m above horizontal ground. When the ball hits the ground it instantaneously loses 8 J of kinetic energy and starts to move upwards.
(a) Use an energy method to find the greatest height that the ball reaches after hitting the ground.
(b) Find the total time taken, from the initial release of the ball until it reaches this greatest height.
A railway engine of mass 75,000 kg is moving up a straight hill inclined at an angle \(\alpha\) to the horizontal, where \(\sin \alpha = 0.01\). The engine is travelling at a constant speed of 30 m s\(^{-1}\). The engine is working at 960 kW. There is a constant force resisting the motion of the engine.
(a) Find the resistance force.
The engine comes to a section of track which is horizontal. At the start of the section the engine is travelling at 30 m s\(^{-1}\) and the power of the engine is now reduced to 900 kW. The resistance to motion is no longer constant, but in the next 60 s the work done against the resistance force is 46,500 kJ.
(b) Find the speed of the engine at the end of the 60 s.
The diagram shows a semi-circular track ABC of radius 1.8 m which is fixed in a vertical plane. The points A and C are at the same horizontal level and the point B is at the bottom of the track. The section AB is smooth and the section BC is rough. A small block is released from rest at A.
(a) Show that the speed of the block at B is 6 m s-1.
The block comes to instantaneous rest for the first time at a height of 1.2 m above the level of B. The work done against the resistance force during the motion of the block from B to this point is 4.5 J.
(b) Find the mass of the block.

A car of mass 1600 kg travels at constant speed 20 m s-1 up a straight road inclined at an angle of \(\sin^{-1} 0.12\) to the horizontal.
(a) Find the change in potential energy of the car in 30 s.
(b) Given that the total work done by the engine of the car in this time is 1960 kJ, find the constant force resisting the motion.
(c) Calculate, in kW, the power developed by the engine of the car.
(d) Given that this power is suddenly decreased by 15%, find the instantaneous deceleration of the car.
A car of mass 1400 kg is towing a trailer of mass 500 kg down a straight hill inclined at an angle of 5° to the horizontal. The car and trailer are connected by a light rigid tow-bar. At the top of the hill the speed of the car and trailer is 20 m s-1 and at the bottom of the hill their speed is 30 m s-1.
(a) It is given that as the car and trailer descend the hill, the engine of the car does 150,000 J of work, and there are no resistance forces.
Find the length of the hill.
(b) It is given instead that there is a resistance force of 100 N on the trailer, the length of the hill is 200 m, and the acceleration of the car and trailer is constant.
Find the tension in the tow-bar between the car and trailer.
A car of mass 1250 kg is pulling a caravan of mass 800 kg along a straight road. The resistances to the motion of the car and caravan are 440 N and 280 N respectively. The car and caravan are connected by a light rigid tow-bar.
(a) The car and caravan move along a horizontal part of the road at a constant speed of 30 m s-1.
(b) The car and caravan now travel along a part of the road inclined at sin-1 0.06 to the horizontal. The car and caravan travel up the incline at constant speed with the engine of the car working at 28 kW.
A particle of mass 1.6 kg is projected with a speed of 20 m/s up a line of greatest slope of a smooth plane inclined at \(\alpha\) to the horizontal, where \(\tan \alpha = \frac{3}{4}\).
Use an energy method to find the distance the particle moves up the plane before coming to instantaneous rest.
A particle of mass 0.6 kg is projected with a speed of 4 m s-1 down a line of greatest slope of a smooth plane inclined at 10° to the horizontal.
Use an energy method to find the speed of the particle after it has moved 15 m down the plane.
A slide in a playground descends at a constant angle of 30° for 2.5 m. It then has a horizontal section in the same vertical plane as the sloping section. A child of mass 35 kg, modelled as a particle P, starts from rest at the top of the slide and slides straight down the sloping section. She then continues along the horizontal section until she comes to rest (see diagram). There is no instantaneous change in speed when the child goes from the sloping section to the horizontal section.
The child experiences a resistance force on the horizontal section of the slide, and the work done against the resistance force on the horizontal section of the slide is 250 J per metre.
(a) It is given that the sloping section of the slide is smooth.
(b) It is given instead that the sloping section of the slide is rough and that the child comes to rest on the slide 1.05 m after she reaches the horizontal section.
Find the coefficient of friction between the child and the sloping section of the slide.

Two particles P and Q of masses 0.5 kg and m kg respectively are attached to the ends of a light inextensible string. The string passes over a fixed smooth pulley which is attached to the top of two inclined planes. The particles are initially at rest with P on a smooth plane inclined at 30° to the horizontal and Q on a plane inclined at 45° to the horizontal. The string is taut and the particles can move on lines of greatest slope of the two planes. A force of magnitude 0.8 N is applied to P acting down the plane, causing P to move down the plane (see diagram).
\((a) It is given that m = 0.3, and that the plane on which Q rests is smooth.\)
Find the tension in the string.
(b) It is given instead that the plane on which Q rests is rough, and that after each particle has moved a distance of 1 m, their speed is 0.6 m s-1. The work done against friction in this part of the motion is 0.5 J.
Use an energy method to find the value of m.

A box of mass 5 kg is pulled at a constant speed a distance of 15 m up a rough plane inclined at an angle of 20° to the horizontal. The box moves along a line of greatest slope against a frictional force of 40 N. The force pulling the box is parallel to the line of greatest slope.
(a) Find the work done against friction.
(b) Find the change in gravitational potential energy of the box.
(c) Find the work done by the pulling force.
Two particles A and B, of masses 0.3 kg and 0.5 kg respectively, are attached to the ends of a light inextensible string. The string passes over a fixed smooth pulley which is attached to a horizontal plane and to the top of an inclined plane. The particles are initially at rest with A on the horizontal plane and B on the inclined plane, which makes an angle of 30° with the horizontal. The string is taut and B can move on a line of greatest slope of the inclined plane. A force of magnitude 3.5 N is applied to B acting down the plane (see diagram).
(a) Given that both planes are smooth, find the tension in the string and the acceleration of B. [5]
(b) It is given instead that the two planes are rough. When each particle has moved a distance of 0.6 m from rest, the total amount of work done against friction is 1.1 J.
Use an energy method to find the speed of B when it has moved this distance down the plane. [You should assume that the string is sufficiently long so that A does not hit the pulley when it moves 0.6 m.] [4]

A car of mass 1500 kg is pulling a trailer of mass 750 kg up a straight hill of length 800 m inclined at an angle of \(\sin^{-1} 0.08\) to the horizontal. The resistances to the motion of the car and trailer are 400 N and 200 N respectively. The car and trailer are connected by a light rigid tow-bar. The car and trailer have speed 30 m/s at the bottom of the hill and 20 m/s at the top of the hill.
(a) Use an energy method to find the constant driving force as the car and trailer travel up the hill. [5]
After reaching the top of the hill the system consisting of the car and trailer travels along a straight level road. The driving force of the car’s engine is 2400 N and the resistances to motion are unchanged.
(b) Find the acceleration of the system and the tension in the tow-bar. [4]
A block B of mass 4 kg is pushed up a line of greatest slope of a smooth plane inclined at 30° to the horizontal by a force applied to B, acting in the direction of motion of B. The block passes through points P and Q with speeds 12 m s-1 and 8 m s-1 respectively. P and Q are 10 m apart with P below the level of Q.
(a) Find the decrease in kinetic energy of the block as it moves from P to Q.
(b) Hence find the work done by the force pushing the block up the slope as the block moves from P to Q.
(c) At the instant the block reaches Q, the force pushing the block up the slope is removed.
Find the time taken, after this instant, for the block to return to P.
A child of mass 35 kg is swinging on a rope. The child is modelled as a particle P and the rope is modelled as a light inextensible string of length 4 m. Initially P is held at an angle of 45° to the vertical (see diagram).
(a) Given that there is no resistance force, find the speed of P when it has travelled half way along the circular arc from its initial position to its lowest point.
(b) It is given instead that there is a resistance force. The work done against the resistance force as P travels from its initial position to its lowest point is X J. The speed of P at its lowest point is 4 m s-1.
Find X.

The diagram shows the vertical cross-section of a surface. A, B, and C are three points on the cross-section. The level of B is h m above the level of A. The level of C is 0.5 m below the level of A. A particle of mass 0.2 kg is projected up the slope from A with initial speed 5 m/s. The particle remains in contact with the surface as it travels from A to C.
(a) Given that the particle reaches B with a speed of 3 m/s and that there is no resistance force, find h.
(b) It is given instead that there is a resistance force and that the particle does 3.1 J of work against the resistance force as it travels from A to C. Find the speed of the particle when it reaches C.

A train of mass 150,000 kg ascends a straight slope inclined at \(\alpha^\circ\) to the horizontal with a constant driving force of 16,000 N. At a point \(A\) on the slope the speed of the train is 45 m s\(^{-1}\). Point \(B\) on the slope is 500 m beyond \(A\). At \(B\) the speed of the train is 42 m s\(^{-1}\). There is a resistance force acting on the train and the train does \(4 \times 10^6\) J of work against this resistance force between \(A\) and \(B\). Find the value of \(\alpha\).
The diagram shows the vertical cross-section XYZ of a rough slide. The section YZ is a straight line of length 2 m inclined at an angle of \(\alpha\) to the horizontal, where \(\sin \alpha = 0.28\). The section YZ is tangential to the curved section XY at Y, and X is 1.8 m above the level of Y. A child of mass 25 kg slides down the slide, starting from rest at X. The work done by the child against the resistance force in moving from X to Y is 50 J.
(a) Find the speed of the child at Y.
It is given that the child comes to rest at Z.
(b) Use an energy method to find the coefficient of friction between the child and YZ, giving your answer as a fraction in its simplest form.

A lorry of mass 25,000 kg travels along a straight horizontal road. There is a constant force of 3000 N resisting the motion.
The lorry comes to a straight hill inclined at 2° to the horizontal. The driver switches off the engine of the lorry at the point A which is at the foot of the hill. Point B is further up the hill. The speeds of the lorry at A and B are 30 m s-1 and 25 m s-1 respectively. The resistance force is still 3000 N.
The total mass of a cyclist and her bicycle is 75 kg. The cyclist ascends a straight hill of length 0.7 km inclined at 1.5° to the horizontal. Her speed at the bottom of the hill is 10 m/s and at the top it is 5 m/s. There is a resistance to motion, and the work done against this resistance as the cyclist ascends the hill is 2000 J. The cyclist exerts a constant force of magnitude \(F\) N in the direction of motion. Find \(F\).
A particle of mass 18 kg is on a plane inclined at an angle of 30° to the horizontal. The particle is projected up a line of greatest slope of the plane with a speed of 20 m/s-1.
Two particles A and B, of masses 0.4 kg and 0.2 kg respectively, are connected by a light inextensible string. Particle A is held on a smooth plane inclined at an angle of \(\theta^\circ\) to the horizontal. The string passes over a small smooth pulley P fixed at the top of the plane, and B hangs freely 0.5 m above horizontal ground (see diagram). The particles are released from rest with both sections of the string taut.

The diagram shows the vertical cross-section PQR of a slide. The part PQ is a straight line of length 8 m inclined at angle \(\alpha\) to the horizontal, where \(\sin \alpha = 0.8\). The straight part PQ is tangential to the curved part QR, and R is h m above the level of P. The straight part PQ of the slide is rough and the curved part QR is smooth. A particle of mass 0.25 kg is projected with speed 15 m s-1 from P towards Q and comes to rest at R. The coefficient of friction between the particle and PQ is 0.5.

A particle of mass 0.3 kg is released from rest above a tank containing water. The particle falls vertically, taking 0.8 s to reach the water surface. There is no instantaneous change of speed when the particle enters the water. The depth of water in the tank is 1.25 m. The water exerts a force on the particle resisting its motion. The work done against this resistance force from the instant that the particle enters the water until it reaches the bottom of the tank is 1.2 J.
(i) Use an energy method to find the speed of the particle when it reaches the bottom of the tank. [4]
When the particle reaches the bottom of the tank, it bounces back vertically upwards with initial speed 7 m s−1. As the particle rises through the water, it experiences a constant resistance force of 1.8 N. The particle comes to instantaneous rest t seconds after it bounces on the bottom of the tank.
(ii) Find the value of t. [7]
Two particles A and B, of masses 0.8 kg and 1.6 kg respectively, are connected by a light inextensible string. Particle A is placed on a smooth plane inclined at an angle \(\theta\) to the horizontal, where \(\sin \theta = \frac{3}{5}\). The string passes over a small smooth pulley P fixed at the top of the plane, and B hangs freely (see diagram). The section AP of the string is parallel to a line of greatest slope of the plane. The particles are released from rest with both sections of the string taut. Use an energy method to find the speed of the particles after each particle has moved a distance of 0.5 m, assuming that A has not yet reached the pulley.

A car has mass 1250 kg.
A girl, of mass 40 kg, slides down a slide in a water park. The girl starts at the point A and slides to the point B which is 7.2 metres vertically below the level of A, as shown in the diagram.
(i) Given that the slide is smooth and that the girl starts from rest at A, find the speed of the girl at B. [2]
(ii) It is given instead that the slide is rough. On one occasion the girl starts from rest at A and reaches B with a speed of 10 m s-1. On another occasion the girl is pushed from A with an initial speed V m s-1 and reaches B with speed 11 m s-1. Given that the work done against friction is the same on both occasions, find V. [3]

A particle P of mass 0.2 kg rests on a rough plane inclined at 30° to the horizontal. The coefficient of friction between the particle and the plane is 0.3. A force of magnitude T N acts upwards on P at 15° above a line of greatest slope of the plane (see diagram).
The force of magnitude T N is now removed. A new force of magnitude 0.25 N acts on P up the plane, parallel to a line of greatest slope of the plane. Starting from rest, P slides down the plane. After moving a distance of 3 m, P passes through the point A.

An athlete of mass 84 kg is running along a straight road.
(a) Initially the road is horizontal and he runs at a constant speed of 3 m s-1. The athlete produces a constant power of 60 W.
Find the resistive force which acts on the athlete.
(b) The athlete then runs up a 150 m section of the road which is inclined at 0.8° to the horizontal. The speed of the athlete at the start of this section of road is 3 m s-1 and he now produces a constant driving force of 24 N. The total resistive force which acts on the athlete along this section of road has constant magnitude 13 N.
Use an energy method to find the speed of the athlete at the end of the 150 m section of road.
A roller-coaster car (including passengers) has a mass of 840 kg. The roller-coaster ride includes a section where the car climbs a straight ramp of length 8 m inclined at 30° above the horizontal. The car then immediately descends another ramp of length 10 m inclined at 20° below the horizontal. The resistance to motion acting on the car is 640 N throughout the motion.
The diagram shows a wire ABCD consisting of a straight part AB of length 5 m and a part BCD in the shape of a semicircle of radius 6 m and centre O. The diameter BD of the semicircle is horizontal and AB is vertical. A small ring is threaded onto the wire and slides along the wire. The ring starts from rest at A. The part AB of the wire is rough, and the ring accelerates at a constant rate of 2.5 m/s2 between A and B.
The part BCD of the wire is smooth. The mass of the ring is 0.2 kg.

A car of mass 800 kg is moving up a hill inclined at \(\theta\) to the horizontal, where \(\sin \theta = 0.15\). The initial speed of the car is 8 m s\(^{-1}\). Twelve seconds later the car has travelled 120 m up the hill and has speed 14 m s\(^{-1}\).
(i) Find the change in the kinetic energy and the change in gravitational potential energy of the car. [3]
(ii) The engine of the car is working at a constant rate of 32 kW. Find the total work done against the resistive forces during the twelve seconds. [3]
A particle of mass 0.4 kg is projected with a speed of 12 m s-1 up a line of greatest slope of a smooth plane inclined at 30° to the horizontal.
A box of mass 50 kg is at rest on a plane inclined at 10° to the horizontal.
In fact the coefficient of friction between the box and the plane is 0.19.
The box then comes to a plane inclined at 20° below the horizontal. The box moves down a line of greatest slope of this plane. The coefficient of friction is still 0.19 and the girl is not pushing the box.
A block of mass 25 kg is pulled along horizontal ground by a force of magnitude 50 N inclined at 10° above the horizontal. The block starts from rest and travels a distance of 20 m. There is a constant resistance force of magnitude 30 N opposing motion.
After the block has travelled the 20 m, it comes to a plane inclined at 5° to the horizontal. The force of 50 N is now inclined at an angle of 10° to the plane and pulls the block directly up the plane (see diagram). The resistance force remains 30 N.

The diagram shows a velocity-time graph which models the motion of a cyclist. The graph consists of five straight line segments. The cyclist accelerates from rest to a speed of 5 m s-1 over a period of 10 s, and then travels at this speed for a further 20 s. The cyclist then descends a hill, accelerating to speed V m s-1 over a period of 10 s. This speed is maintained for a further 30 s. The cyclist then decelerates to rest over a period of 20 s.
(i) Find the acceleration of the cyclist during the first 10 seconds.
(ii) Show that the total distance travelled by the cyclist in the 90 seconds of motion may be expressed as (45V + 150) m. Hence find V, given that the total distance travelled by the cyclist is 465 m.
(iii) The combined mass of the cyclist and the bicycle is 80 kg. The cyclist experiences a constant resistance to motion of 20 N. Use an energy method to find the vertical distance which the cyclist descends during the downhill section from t = 30 to t = 40, assuming that the cyclist does no work during this time.

A particle of mass 8 kg is pulled at a constant speed a distance of 20 m up a rough plane inclined at an angle of 30° to the horizontal by a force acting along a line of greatest slope.
A particle of mass 8 kg is projected with a speed of 5 m s-1 up a line of greatest slope of a rough plane inclined at an angle α to the horizontal, where sin α = 5/13. The motion of the particle is resisted by a constant frictional force of magnitude 15 N. The particle comes to instantaneous rest after travelling a distance x m up the plane.
(i) Express the change in gravitational potential energy of the particle in terms of x.
(ii) Use an energy method to find x.
A particle of mass 30 kg is on a plane inclined at an angle of 20° to the horizontal. Starting from rest, the particle is pulled up the plane by a force of magnitude 200 N acting parallel to a line of greatest slope.
A car of mass 1200 kg is travelling along a straight horizontal road. The power of the car's engine is constant and is equal to 16 kW. There is a constant resistance to motion of magnitude 500 N.
(a) Find the acceleration of the car at an instant when its speed is 20 m/s.
(b) Assuming that the power and the resistance forces remain unchanged, find the steady speed at which the car can travel.
The car comes to the bottom of a straight hill of length 316 m, inclined at an angle to the horizontal of \(\sin^{-1}\left(\frac{1}{60}\right)\). The power remains constant at 16 kW, but the magnitude of the resistance force is no longer constant and changes such that the work done against the resistance force in ascending the hill is 128400 J. The time taken to ascend the hill is 15 s.
(c) Given that the car is travelling at a speed of 20 m/s at the bottom of the hill, find its speed at the top of the hill.
A box of mass 25 kg is pulled, at a constant speed, a distance of 36 m up a rough plane inclined at an angle of 20° to the horizontal. The box moves up a line of greatest slope against a constant frictional force of 40 N. The force pulling the box is parallel to the line of greatest slope. Find
A straight hill AB has length 400 m with A at the top and B at the bottom and is inclined at an angle of 4° to the horizontal. A straight horizontal road BC has length 750 m. A car of mass 1250 kg has a speed of 5 m s-1 at A when starting to move down the hill. While moving down the hill the resistance to the motion of the car is 2000 N and the driving force is constant. The speed of the car on reaching B is 8 m s-1.
A car of mass 1600 kg moves with constant power 14 kW as it travels along a straight horizontal road. The car takes 25 s to travel between two points A and B on the road.
(i) Find the work done by the car’s engine while the car travels from A to B.
The resistance to the car’s motion is constant and equal to 235 N. The car has accelerations at A and B of 0.5 m/s2 and 0.25 m/s2 respectively. Find
(ii) the gain in kinetic energy by the car in moving from A to B,
(iii) the distance AB.
The diagram shows a vertical cross-section ABC of a surface. The part of the surface containing AB is smooth and A is 2.5 m above the level of B. The part of the surface containing BC is rough and is at 45° to the horizontal. The distance BC is 4 m (see diagram). A particle P of mass 0.2 kg is released from rest at A and moves in contact with the curve AB and then with the straight line BC. The coefficient of friction between P and the part of the surface containing BC is 0.4. Find the speed with which P reaches C.

A plane is inclined at an angle of \(\sin^{-1}\left(\frac{1}{8}\right)\) to the horizontal. \(A\) and \(B\) are two points on the same line of greatest slope with \(A\) higher than \(B\). The distance \(AB\) is 12 m. A small object \(P\) of mass 8 kg is released from rest at \(A\) and slides down the plane, passing through \(B\) with speed 4.5 m s\(^{-1}\). For the motion of \(P\) from \(A\) to \(B\), find
A lorry of mass 14,000 kg moves along a road starting from rest at a point O. It reaches a point A, and then continues to a point B which it reaches with a speed of 24 m s-1. The part OA of the road is straight and horizontal and has length 400 m. The part AB of the road is straight and is inclined downwards at an angle of θ° to the horizontal and has length 300 m.
(i) For the motion from O to B, find the gain in kinetic energy of the lorry and express its loss in potential energy in terms of θ.
The resistance to the motion of the lorry is 4800 N and the work done by the driving force of the lorry from O to B is 5000 kJ.
(ii) Find the value of θ.
Particles A and B, each of mass 0.3 kg, are connected by a light inextensible string. The string passes over a small smooth pulley fixed at the edge of a rough horizontal surface. Particle A hangs freely and particle B is held at rest in contact with the surface (see diagram). The coefficient of friction between B and the surface is 0.7. Particle B is released and moves on the surface without reaching the pulley.
(i) Find, for the first 0.9 m of B's motion,
At the instant when B has moved 0.9 m the string breaks. A is at a height of 0.54 m above a horizontal floor at this instant.
(ii) Find the speed with which A reaches the floor.

A lorry of mass 16000 kg travels at constant speed from the bottom, O, to the top, A, of a straight hill. The distance OA is 1200 m and A is 18 m above the level of O. The driving force of the lorry is constant and equal to 4500 N.
On reaching A the lorry continues along a straight horizontal road against a constant resistance of 2000 N. The driving force of the lorry is not now constant, and the speed of the lorry increases from 9 m/s at A to 21 m/s at the point B on the road. The distance AB is 2400 m.
A small ball of mass 0.4 kg is released from rest at a point 5 m above horizontal ground. At the instant the ball hits the ground it loses 12.8 J of kinetic energy and starts to move upwards.
A light inextensible rope has a block A of mass 5 kg attached at one end, and a block B of mass 16 kg attached at the other end. The rope passes over a smooth pulley which is fixed at the top of a rough plane inclined at an angle of 30° to the horizontal. Block A is held at rest at the bottom of the plane and block B hangs below the pulley (see diagram). The coefficient of friction between A and the plane is \(\frac{1}{\sqrt{3}}\). Block A is released from rest and the system starts to move. When each of the blocks has moved a distance of \(x\) m each has speed \(v\) m s-1.

A particle P of mass 0.4 kg is projected vertically upwards from horizontal ground with speed 10 m s-1.
(a) Find the greatest height above the ground reached by P.
When P reaches the ground again, it bounces vertically upwards. At the first instant that it hits the ground, P loses 7.2 J of energy.
(b) Find the time between the first and second instants at which P hits the ground.
A car of mass 1100 kg starts from rest at O and travels along a road OAB. The section OA is straight, of length 1760 m, and inclined to the horizontal with A at a height of 160 m above the level of O. The section AB is straight and horizontal (see diagram). While the car is moving the driving force of the car is 1800 N and the resistance to the car’s motion is 700 N. The speed of the car is v m s-1 when the car has travelled a distance of x m from O.

Particle A of mass 1.6 kg and particle B of mass 2 kg are attached to opposite ends of a light inextensible string. The string passes over a small smooth pulley fixed at the top of a smooth plane, which is inclined at angle \(\theta\), where \(\sin \theta = 0.8\). Particle A is held at rest at the bottom of the plane and B hangs at a height of 3.24 m above the level of the bottom of the plane (see diagram). A is released from rest and the particles start to move.
(i) Show that the loss of potential energy of the system, when B reaches the level of the bottom of the plane, is 23.328 J.
(ii) Hence find the speed of the particles when B reaches the level of the bottom of the plane.

An object of mass 12 kg slides down a line of greatest slope of a smooth plane inclined at 10° to the horizontal. The object passes through points A and B with speeds 3 m/s and 7 m/s respectively.
The object is now pushed up the plane from B to A, with constant speed, by a horizontal force.
ABCD is a semi-circular cross-section, in a vertical plane, of the inner surface of half a hollow cylinder of radius 2.5 m which is fixed with its axis horizontal. AD is horizontal, B is the lowest point of the cross-section and C is at a height of 1.8 m above the level of B (see diagram). A particle P of mass 0.8 kg is released from rest at A and comes to instantaneous rest at C.
(i) Find the work done on P by the resistance to motion while P travels from A to C.
The work done on P by the resistance to motion while P travels from A to B is 0.6 times the work done while P travels from A to C.
(ii) Find the speed of P when it passes through B.

A car of mass 1250 kg moves from the bottom to the top of a straight hill of length 500 m. The top of the hill is 30 m above the level of the bottom. The power of the car’s engine is constant and equal to 30000 W. The car’s acceleration is 4 m/s2 at the bottom of the hill and is 0.2 m/s2 at the top. The resistance to the car’s motion is 1000 N. Find
The diagram shows the vertical cross-section ABCD of a surface. BC is a circular arc, and AB and CD are tangents to BC at B and C respectively. A and D are at the same horizontal level, and B and C are at heights 2.7 m and 3.0 m respectively above the level of A and D. A particle P of mass 0.2 kg is given a velocity of 8 m s-1 at A, in the direction of AB (see diagram). The parts of the surface containing AB and BC are smooth.

A lorry of mass 16,000 kg moves on a straight hill inclined at angle \(\alpha^\circ\) to the horizontal. The length of the hill is 500 m.
The frictional force acting on a small block of mass 0.15 kg, while it is moving on a horizontal surface, has magnitude 0.12 N. The block is set in motion from a point X on the surface, with speed 3 m/s-1. It hits a vertical wall at a point Y on the surface 2 s later. The block rebounds from the wall and moves directly towards X before coming to rest at the point Z (see diagram). At the instant that the block hits the wall it loses 0.072 J of its kinetic energy. The velocity of the block, in the direction from X to Y, is v m/s-1 at time t s after it leaves X.

A car of mass 1250 kg travels from the bottom to the top of a straight hill which has length 400 m and is inclined to the horizontal at an angle of \(\alpha\), where \(\sin \alpha = 0.125\). The resistance to the car’s motion is 800 N. Find the work done by the car’s engine in each of the following cases.
The diagram shows the vertical cross-section OAB of a slide. The straight line AB is tangential to the curve OA at A. The line AB is inclined at \(\alpha\) to the horizontal, where \(\sin \alpha = 0.28\). The point O is 10 m higher than B, and AB has length 10 m (see diagram). The part of the slide containing the curve OA is smooth and the part containing AB is rough. A particle P of mass 2 kg is released from rest at O and moves down the slide.

A box of mass 5 kg is pulled at a constant speed of 1.8 m/s for 15 s up a rough plane inclined at an angle of 20° to the horizontal. The box moves along a line of greatest slope against a frictional force of 40 N. The force pulling the box is parallel to the line of greatest slope.
(a) Find the change in gravitational potential energy of the box.
(b) Find the work done by the pulling force.
A load of mass 160 kg is pulled vertically upwards, from rest at a fixed point O on the ground, using a winding drum. The load passes through a point A, 20 m above O, with a speed of 1.25 m s-1 (see diagram). Find, for the motion from O to A,
The power output of the winding drum is constant while the load is in motion.

ABC is a vertical cross-section of a surface. The part of the surface containing AB is smooth and A is 4 m higher than B. The part of the surface containing BC is horizontal and the distance BC is 5 m (see diagram). A particle of mass 0.8 kg is released from rest at A and slides along ABC. Find the speed of the particle at C in each of the following cases.

A lorry of mass 16000 kg climbs a straight hill ABCD which makes an angle \(\theta\) with the horizontal, where \(\sin \theta = \frac{1}{20}\). For the motion from A to B, the work done by the driving force of the lorry is 1200 kJ and the resistance to motion is constant and equal to 1240 N. The speed of the lorry is 15 m/s at A and 12 m/s at B.
For the motion from B to D the gain in potential energy of the lorry is 2400 kJ.
For the motion from B to D the driving force of the lorry is constant and equal to 7200 N. From B to C the resistance to motion is constant and equal to 1240 N and from C to D the resistance to motion is constant and equal to 1860 N.
AB and BC are straight roads inclined at 5° to the horizontal and 1° to the horizontal respectively. A and C are at the same horizontal level and B is 45 m above the level of A and C (see diagram, which is not to scale). A car of mass 1200 kg travels from A to C passing through B.
(i) For the motion from A to B, the speed of the car is constant and the work done against the resistance to motion is 360 kJ. Find the work done by the car’s engine from A to B.
The resistance to motion is constant throughout the whole journey.
(ii) For the motion from B to C the work done by the driving force is 1660 kJ. Given that the speed of the car at B is 15 m s−1, show that its speed at C is 29.9 m s−1, correct to 3 significant figures.
(iii) The car’s driving force immediately after leaving B is 1.5 times the driving force immediately before reaching C. Find, correct to 2 significant figures, the ratio of the power developed by the car’s engine immediately after leaving B to the power developed immediately before reaching C.

A lorry of mass 15,000 kg climbs a hill of length 500 m at a constant speed. The hill is inclined at 2.5° to the horizontal. The resistance to the lorry’s motion is constant and equal to 800 N.
On its return journey the lorry reaches the top of the hill with speed 20 m/s and continues down the hill with a constant driving force of 2000 N. The resistance to the lorry’s motion is again constant and equal to 800 N.
An object of mass 8 kg slides down a line of greatest slope of an inclined plane. Its initial speed at the top of the plane is 3 m s-1 and its speed at the bottom of the plane is 8 m s-1. The work done against the resistance to motion of the object is 120 J. Find the height of the top of the plane above the level of the bottom.
Loads A and B, of masses 1.2 kg and 2.0 kg respectively, are attached to the ends of a light inextensible string which passes over a fixed smooth pulley. A is held at rest and B hangs freely, with both straight parts of the string vertical. A is released and starts to move upwards. It does not reach the pulley in the subsequent motion.
The diagram shows the vertical cross-section ABC of a fixed surface. AB is a curve and BC is a horizontal straight line. The part of the surface containing AB is smooth and the part containing BC is rough. A is at a height of 1.8 m above BC. A particle of mass 0.5 kg is released from rest at A and travels along the surface to C.

A block of mass 20 kg is pulled from the bottom to the top of a slope. The slope has length 10 m and is inclined at 4.5° to the horizontal. The speed of the block is 2.5 m/s at the bottom of the slope and 1.5 m/s at the top of the slope.
A smooth slide AB is fixed so that its highest point A is 3 m above horizontal ground. B is h m above the ground. A particle P of mass 0.2 kg is released from rest at a point on the slide. The particle moves down the slide and, after passing B, continues moving until it hits the ground (see diagram). The speed of P at B is vB and the speed at which P hits the ground is vG.
(i) In the case that P is released at A, it is given that the kinetic energy of P at B is 1.6 J. Find
(ii) In the case that P is released at the point X of the slide, which is H m above the ground (see diagram), it is given that vG : vB = 2.55. Find the value of H correct to 2 significant figures.

Fig. 6.1 shows particles A and B, of masses 4 kg and 3 kg respectively, attached to the ends of a light inextensible string that passes over a small smooth pulley. The pulley is fixed at the top of a plane which is inclined at an angle of 30° to the horizontal. A hangs freely below the pulley and B is on the inclined plane. The string is taut and the section of the string between B and the pulley is parallel to a line of greatest slope of the plane.
(a) It is given that the plane is rough and the particles are in limiting equilibrium.
Find the coefficient of friction between B and the plane.
(b) It is given instead that the plane is smooth and the particles are released from rest when the difference in the vertical heights of the particles is 1 m (see Fig. 6.2).
Use an energy method to find the speed of the particles at the instant when the particles are at the same horizontal level.

A load is pulled along a horizontal straight track, from A to B, by a force of magnitude P N which acts at an angle of 30° upwards from the horizontal. The distance AB is 80 m. The speed of the load is constant and equal to 1.2 m s-1 as it moves from A to the mid-point M of AB.
The speed of the load increases from 1.2 m s-1 as it moves from M towards B. For the motion from M to B the value of P is 50 and the work done against resistance is the same as that for the motion from A to M. The mass of the load is 35 kg.
P and Q are fixed points on a line of greatest slope of an inclined plane. The point Q is at a height of 0.45 m above the level of P. A particle of mass 0.3 kg moves upwards along the line PQ.
A lorry of mass 15,000 kg moves with constant speed 14 m/s from the top to the bottom of a straight hill of length 900 m. The top of the hill is 18 m above the level of the bottom of the hill. The total work done by the resistive forces acting on the lorry, including the braking force, is \(4.8 \times 10^6\) J. Find
On reaching the bottom of the hill the lorry continues along a straight horizontal road against a constant resistance of 1600 N. There is no braking force acting. The speed of the lorry increases from 14 m/s at the bottom of the hill to 16 m/s at the point X, where X is 2500 m from the bottom of the hill.
A smooth narrow tube AE has two straight parts, AB and DE, and a curved part BCD. The part AB is vertical with A above B, and DE is horizontal. C is the lowest point of the tube and is 0.65 m below the level of DE. A particle is released from rest at A and travels through the tube, leaving it at E with speed 6 m/s (see diagram). Find

A car of mass 1000 kg moves along a horizontal straight road, passing through points A and B. The power of its engine is constant and equal to 15,000 W. The driving force exerted by the engine is 750 N at A and 500 N at B. Find the speed of the car at A and at B, and hence find the increase in the car’s kinetic energy as it moves from A to B.
A cyclist and his machine have a total mass of 80 kg. The cyclist starts from rest at the top A of a straight path AB, and freewheels (moves without pedalling or braking) down the path to B. The path AB is inclined at 2.6° to the horizontal and is of length 250 m (see diagram).
(i) Given that the cyclist passes through B with speed 9 m s-1, find the gain in kinetic energy and the loss in potential energy of the cyclist and his machine. Hence find the work done against the resistance to motion of the cyclist and his machine.
The cyclist continues to freewheel along a horizontal straight path BD until he reaches the point C, where the distance BC is d m. His speed at C is 5 m s-1. The resistance to motion is constant, and is the same on BD as on AB.
(ii) Find the value of d.
The cyclist starts to pedal at C, generating 425 W of power.
(iii) Find the acceleration of the cyclist immediately after passing through C.

A crate C is pulled at constant speed up a straight inclined path by a constant force of magnitude F N, acting upwards at an angle of 15° to the path. C passes through points P and Q which are 100 m apart (see diagram). As C travels from P to Q the work done against the resistance to C's motion is 900 J, and the gain in C's potential energy is 2100 J. Write down the work done by the pulling force as C travels from P to Q, and hence find the value of F.

OABC is a vertical cross-section of a smooth surface. The straight part OA has length 2.4 m and makes an angle of 50° with the horizontal. A and C are at the same horizontal level and B is the lowest point of the cross-section (see diagram). A particle P of mass 0.8 kg is released from rest at O and moves on the surface. P remains in contact with the surface until it leaves the surface at C. Find
The greatest speed of P is 8 m s-1.

The diagram shows the vertical cross-section of a surface. A and B are two points on the cross-section, and A is 5 m higher than B. A particle of mass 0.35 kg passes through A with speed 7 m/s, moving on the surface towards B.
(i) Assuming that there is no resistance to motion, find the speed with which the particle reaches B.
(ii) Assuming instead that there is a resistance to motion, and that the particle reaches B with speed 11 m/s, find the work done against this resistance as the particle moves from A to B.

A lorry of mass 12,500 kg travels along a road that has a straight horizontal section AB and a straight inclined section BC. The length of BC is 500 m. The speeds of the lorry at A, B, and C are 17 m/s, 25 m/s, and 17 m/s respectively (see diagram).
(i) The work done against the resistance to motion of the lorry, as it travels from A to B, is 5000 kJ. Find the work done by the driving force as the lorry travels from A to B.
(ii) As the lorry travels from B to C, the resistance to motion is 4800 N and the work done by the driving force is 3300 kJ. Find the height C above the level of AB.

A cyclist is riding along a straight horizontal road. The total mass of the cyclist and her bicycle is 70 kg. At an instant when the cyclist’s speed is 4 m/s, her acceleration is 0.3 m/s². There is a constant resistance to motion of magnitude 30 N.
(a) Find the power developed by the cyclist.
The cyclist comes to the top of a hill inclined at 5° to the horizontal. The cyclist stops pedalling and freewheels down the hill (so that the cyclist is no longer supplying any power). The magnitude of the resistance force remains at 30 N. Over a distance of d m, the speed of the cyclist increases from 6 m/s to 12 m/s.
(b) Find the change in kinetic energy.
(c) Use an energy method to find d.
The diagram shows the vertical cross-section LMN of a fixed smooth surface. M is the lowest point of the cross-section. L is 2.45 m above the level of M, and N is 1.2 m above the level of M. A particle of mass 0.5 kg is released from rest at L and moves on the surface until it leaves it at N. Find
The particle is now projected from N, with speed v m s-1, along the surface towards M.

A box of mass 8 kg is pulled, at constant speed, up a straight path which is inclined at an angle of 15° to the horizontal. The pulling force is constant, of magnitude 30 N, and acts upwards at an angle of 10° from the path (see diagram). The box passes through the points A and B, where AB = 20 m and B is above the level of A. For the motion from A to B, find

A block of mass 50 kg is pulled up a straight hill and passes through points A and B with speeds 7 m s-1 and 3 m s-1 respectively. The distance AB is 200 m and B is 15 m higher than A. For the motion of the block from A to B, find
The resistance to motion of the block has magnitude 7.5 N.
The pulling force acting on the block has constant magnitude 45 N and acts at an angle \(\alpha \degree\) upwards from the hill.
Two particles A and B, of masses 0.3 kg and 0.2 kg respectively, are attached to the ends of a light inextensible string which passes over a smooth fixed pulley. Particle B is held on the horizontal floor and particle A hangs in equilibrium. Particle B is released and each particle starts to move vertically with constant acceleration of magnitude a m s-2.
Particle A hits the floor 1.2 s after it starts to move, and does not rebound upwards.

A crate of mass 50 kg is dragged along a horizontal floor by a constant force of magnitude 400 N acting at an angle \(\alpha^\circ\) upwards from the horizontal. The total resistance to motion of the crate has constant magnitude 250 N. The crate starts from rest at the point \(O\) and passes the point \(P\) with a speed of 2 m s\(^{-1}\). The distance \(OP\) is 20 m. For the crate’s motion from \(O\) to \(P\), find
A car of mass 1200 kg travels along a horizontal straight road. The power provided by the car’s engine is constant and equal to 20 kW. The resistance to the car’s motion is constant and equal to 500 N. The car passes through the points A and B with speeds 10 m/s and 25 m/s respectively. The car takes 30.5 s to travel from A to B.
(i) Find the acceleration of the car at A.
(ii) By considering work and energy, find the distance AB.
A lorry of mass 16000 kg climbs from the bottom to the top of a straight hill of length 1000 m at a constant speed of 10 m s-1. The top of the hill is 20 m above the level of the bottom of the hill. The driving force of the lorry is constant and equal to 5000 N. Find
On reaching the top of the hill the lorry continues along a straight horizontal road against a constant resistance of 1500 N. The driving force of the lorry is not now constant, and the speed of the lorry increases from 10 m s-1 at the top of the hill to 25 m s-1 at the point P. The distance of P from the top of the hill is 2000 m.
The top of an inclined plane is at a height of 0.7 m above the bottom. A block of mass 0.2 kg is released from rest at the top of the plane and slides a distance of 2.5 m to the bottom. Find the kinetic energy of the block when it reaches the bottom of the plane in each of the following cases:
The diagram shows a vertical cross-section of a surface. A and B are two points on the cross-section. A particle of mass 0.15 kg is released from rest at A.

(i) A particle P of mass 1.2 kg is released from rest at the top of a slope and starts to move. The slope has length 4 m and is inclined at 25° to the horizontal. The coefficient of friction between P and the slope is \(\frac{1}{4}\). Find
(ii) After reaching the bottom of the slope, P moves freely under gravity and subsequently hits a horizontal floor which is 3 m below the bottom of the slope.
A block of mass 10 kg is at rest on a rough plane inclined at an angle of 30° to the horizontal. A force of 120 N is applied to the block at an angle of 20° above a line of greatest slope (see diagram). There is a force resisting the motion of the block and 200 J of work is done against this force when the block has moved a distance of 5 m up the plane from rest.
Find the speed of the block when it has moved a distance of 5 m up the plane from rest.

A man has mass 80 kg. He runs along a horizontal road against a constant resistance force of magnitude \(P\) N. The total work done by the man in increasing his speed from 4 m s\(^{-1}\) to 5.5 m s\(^{-1}\) while running a distance of 60 metres is 1200 J. Find the value of \(P\).
A man pushes a wheelbarrow of mass 25 kg along a horizontal road with a constant force of magnitude 35 N at an angle of 20° below the horizontal. There is a constant resistance to motion of 15 N. The wheelbarrow moves a distance of 12 m from rest.
(i) Find the work done by the man.
(ii) Find the speed attained by the wheelbarrow after 12 m.
One end of a light inextensible string is attached to a block. The string makes an angle of \(\theta^\circ\) with the horizontal. The tension in the string is 20 N. The string pulls the block along a horizontal surface at a constant speed of 1.5 m s\(^{-1}\) for 12 s. The work done by the tension in the string is 50 J. Find \(\theta\).
A particle of mass 0.6 kg is dropped from a height of 8 m above the ground. The speed of the particle at the instant before hitting the ground is 10 m s-1. Find the work done against air resistance.
A girl on a sledge starts, with a speed of 5 m/s, at the top of a slope of length 100 m which is at an angle of 20° to the horizontal. The sledge slides directly down the slope.
A cyclist has mass 85 kg and rides a bicycle of mass 20 kg. The cyclist rides along a horizontal road against a total resistance force of 40 N. Find the total work done by the cyclist in increasing his speed from 5 m s-1 to 10 m s-1 while travelling a distance of 50 m.
One end of a light inextensible string is attached to a block. The string makes an angle of 60° above the horizontal and is used to pull the block in a straight line on a horizontal floor with acceleration 0.5 m/s². The tension in the string is 8 N. The block starts to move with speed 0.3 m/s. For the first 5 s of the block’s motion, find
A block B of mass 2.7 kg is pulled at constant speed along a straight line on a rough horizontal floor. The pulling force has magnitude 25 N and acts at an angle of \(\theta\) above the horizontal. The normal component of the contact force acting on B has magnitude 20 N.
(i) Show that \(\sin \theta = 0.28\).
(ii) Find the work done by the pulling force in moving the block a distance of 5 m.
A small block of mass 3 kg is initially at rest at the bottom O of a rough plane inclined at an angle \(\alpha\) to the horizontal, where \(\sin \alpha = 0.6\) and \(\cos \alpha = 0.8\). A force of magnitude 35 N acts on the block at an angle \(\beta\) above the plane, where \(\sin \beta = 0.28\) and \(\cos \beta = 0.96\). The block starts to move up a line of greatest slope of the plane and passes through a point A with speed 4 m s\(^{-1}\). The distance \(OA\) is 12.5 m (see diagram).
(i) For the motion of the block from \(O\) to \(A\), find the work done against the frictional force acting on the block.
(ii) Find the coefficient of friction between the block and the plane.
At the instant that the block passes through \(A\) the force of magnitude 35 N ceases to act.
(iii) Find the distance the block travels up the plane after passing through \(A\).

Particles A of mass 0.4 kg and B of mass 1.6 kg are attached to the ends of a light inextensible string which passes over a fixed smooth pulley. A is held at rest and B hangs freely, with both straight parts of the string vertical and both particles at a height of 1.2 m above the floor (see diagram). A is released and both particles start to move.

A block of mass 15 kg slides down a line of greatest slope of an inclined plane. The top of the plane is at a vertical height of 1.6 m above the level of the bottom of the plane. The speed of the block at the top of the plane is 2 m/s-1 and the speed of the block at the bottom of the plane is 4 m/s-1.
Find the work done against the resistance to motion of the block.
A box of mass 25 kg is pulled in a straight line along a horizontal floor. The box starts from rest at a point A and has a speed of 3 m/s when it reaches a point B. The distance AB is 15 m. The pulling force has magnitude 220 N and acts at an angle of \(\alpha^\circ\) above the horizontal. The work done against the resistance to motion acting on the box, as the box moves from A to B, is 3000 J. Find the value of \(\alpha\).
A lorry of mass 15,000 kg climbs from the bottom to the top of a straight hill, of length 1440 m, at a constant speed of 15 m s-1. The top of the hill is 16 m above the level of the bottom of the hill. The resistance to motion is constant and equal to 1800 N.
(i) Find the work done by the driving force.
On reaching the top of the hill the lorry continues on a straight horizontal road and passes through a point P with speed 24 m s-1. The resistance to motion is constant and is now equal to 1600 N. The work done by the lorry’s engine from the top of the hill to the point P is 5030 kJ.
(ii) Find the distance from the top of the hill to the point P.
A block B lies on a rough horizontal plane. Horizontal forces of magnitudes 30 N and 40 N, making angles of \(\alpha\) and \(\beta\) respectively with the x-direction, act on B as shown in the diagram, and B is moving in the x-direction with constant speed. It is given that \(\cos \alpha = 0.6\) and \(\cos \beta = 0.8\).
(i) Find the total work done by the forces shown in the diagram when B has moved a distance of 20 m.
(ii) Given that the coefficient of friction between the block and the plane is \(\frac{5}{8}\), find the weight of the block.

A and B are two points 50 metres apart on a straight path inclined at an angle \(\theta\) to the horizontal, where \(\sin \theta = 0.05\), with A above the level of B. A block of mass 16 kg is pulled down the path from A to B. The block starts from rest at A and reaches B with a speed of 10 m s-1. The work done by the pulling force acting on the block is 1150 J.
The block is now pulled up the path from B to A. The work done by the pulling force and the work done against the resistance to motion are the same as in the case of the downward motion.
A car of mass 1250 kg travels from the bottom to the top of a straight hill of length 600 m, which is inclined at an angle of 2.5° to the horizontal. The resistance to motion of the car is constant and equal to 400 N. The work done by the driving force is 450 kJ. The speed of the car at the bottom of the hill is 30 m s-1. Find the speed of the car at the top of the hill.
A block is pushed along a horizontal floor by a force of magnitude 45 N acting at an angle of 14° to the horizontal (see diagram). Find the work done by the force in moving the block a distance of 25 m.

A ring is threaded on a fixed horizontal bar. The ring is attached to one end of a light inextensible string which is used to pull the ring along the bar at a constant speed of 0.5 m s-1. The string makes a constant angle of 24° with the bar and the tension in the string is 6 N (see diagram). Find the work done by the tension in a period of 8 s.

A block is pulled in a straight line along horizontal ground by a force of constant magnitude acting at an angle of 60° above the horizontal. The work done by the force in moving the block a distance of 5 m is 75 J. Find the magnitude of the force.
One end of a light inextensible string is attached to a block. The string is used to pull the block along a horizontal surface with a speed of 2 m s-1. The string makes an angle of 20° with the horizontal and the tension in the string is 25 N. Find the work done by the tension in a period of 8 seconds.
A block is pulled for a distance of 50 m along a horizontal floor, by a rope that is inclined at an angle of \(\alpha^\circ\) to the floor. The tension in the rope is 180 N and the work done by the tension is 8200 J. Find the value of \(\alpha\).
A particle of mass 1.6 kg is dropped from a height of 9 m above horizontal ground. The speed of the particle at the instant before hitting the ground is 12 m/s-1.
Find the work done against air resistance.
A particle of mass 0.8 kg slides down a rough inclined plane along a line of greatest slope AB. The distance AB is 8 m. The particle starts at A with speed 3 m/s and moves with constant acceleration 2.5 m/s2.
A load of mass 160 kg is lifted vertically by a crane, with constant acceleration. The load starts from rest at the point O. After 7 s, it passes through the point A with speed 0.5 m s-1. By considering energy, find the work done by the crane in moving the load from O to A.
A particle P of mass 0.6 kg is projected vertically upwards with speed 5.2 m/s-1 from a point O which is 6.2 m above the ground. Air resistance acts on P so that its deceleration is 10.4 m/s-2 when P is moving upwards, and its acceleration is 9.6 m/s-2 when P is moving downwards. Find
A small block is pulled along a rough horizontal floor at a constant speed of 1.5 m s-1 by a constant force of magnitude 30 N acting at an angle of \(\theta^\circ\) upwards from the horizontal. Given that the work done by the force in 20 s is 720 J, calculate the value of \(\theta\).
A crate of mass 3 kg is pulled at constant speed along a horizontal floor. The pulling force has magnitude 25 N and acts at an angle of 15° to the horizontal, as shown in the diagram. Find

A cyclist is riding a bicycle along a straight horizontal road AB of length 50 m. The cyclist starts from rest at A and reaches a speed of 6 m s-1 at B. The cyclist produces a constant driving force of magnitude 100 N. There is a resistance force, and the work done against the resistance force from A to B is 3560 J.
Find the total mass of the cyclist and bicycle.
A winch operates by means of a force applied by a rope. The winch is used to pull a load of mass 50 kg up a line of greatest slope of a plane inclined at 60° to the horizontal. The winch pulls the load a distance of 5 m up the plane at constant speed. There is a constant resistance to motion of 100 N.
Find the work done by the winch.
A particle of mass 13 kg is on a rough plane inclined at an angle of \(\theta\) to the horizontal, where \(\tan \theta = \frac{5}{12}\). The coefficient of friction between the particle and the plane is 0.3. A force of magnitude \(T\) N, acting parallel to a line of greatest slope, moves the particle a distance of 2.5 m up the plane at a constant speed. Find the work done by this force.
A particle of mass 1.3 kg rests on a rough plane inclined at an angle \(\theta\) to the horizontal, where \(\tan \theta = \frac{12}{5}\). The coefficient of friction between the particle and the plane is \(\mu\).
(i) A force of magnitude 20 N parallel to a line of greatest slope of the plane is applied to the particle and the particle is on the point of moving up the plane. Show that \(\mu = 1.6\). [4]
The force of magnitude 20 N is now removed.
(ii) Find the acceleration of the particle. [2]
(iii) Find the work done against friction during the first 2 s of motion. [3]
A particle of mass 1.2 kg moves in a straight line AB. It is projected with speed 7.5 m s-1 from A towards B and experiences a resistance force. The work done against this resistance force in moving from A to B is 25 J.
A van of mass 2500 kg descends a hill of length 0.4 km inclined at 4° to the horizontal. There is a constant resistance to motion of 600 N and the speed of the van increases from 20 m/s to 30 m/s as it descends the hill. Find the work done by the van’s engine as it descends the hill.
A railway engine of mass 120000 kg is towing a coach of mass 60000 kg up a straight track inclined at an angle of \(\alpha\) to the horizontal where \(\sin \alpha = 0.02\). There is a light rigid coupling, parallel to the track, connecting the engine and coach. The driving force produced by the engine is 125000 N and there are constant resistances to motion of 22000 N on the engine and 13000 N on the coach.
(a) Find the acceleration of the engine and find the tension in the coupling.
At an instant when the engine is travelling at 30 m/s, it comes to a section of track inclined upwards at an angle \(\beta\) to the horizontal. The power produced by the engine is now 4500000 W and, as a result, the engine maintains a constant speed.
(b) Assuming that the resistance forces remain unchanged, find the value of \(\beta\).
A car of mass 1400 kg is moving on a straight road against a constant force of 1250 N resisting the motion.
(a) The car moves along a horizontal section of the road at a constant speed of 36 m s-1.
(b) The car now travels at a constant speed of 32 m s-1 up a section of the road inclined at θ° to the horizontal, with the engine working at 64 kW.
Find the value of θ.
A cyclist is travelling along a straight horizontal road. She is working at a constant rate of 150 W. At an instant when her speed is 4 m s-1, her acceleration is 0.25 m s-2. The resistance to motion is 20 N.
(a) Find the total mass of the cyclist and her bicycle.
The cyclist comes to a straight hill inclined at an angle \(\theta\) above the horizontal. She ascends the hill at constant speed 3 m s-1. She continues to work at the same rate as before and the resistance force is unchanged.
(b) Find the value of \(\theta\).
A car of mass 1400 kg is travelling at constant speed up a straight hill inclined at \(\alpha\) to the horizontal, where \(\sin \alpha = 0.1\). There is a constant resistance force of magnitude 600 N. The power of the car’s engine is 22 500 W.
(a) Show that the speed of the car is 11.25 m s\(^{-1}\).
The car, moving with speed 11.25 m s\(^{-1}\), comes to a section of the hill which is inclined at 2° to the horizontal.
(b) Given that the power and resistance force do not change, find the initial acceleration of the car up this section of the hill.
A car of mass 1600 kg is pulling a caravan of mass 800 kg. The car and the caravan are connected by a light rigid tow-bar. The resistances to the motion of the car and caravan are 400 N and 250 N respectively.
(a) The car and caravan are travelling along a straight horizontal road.
(b) The car and caravan now travel up a straight hill, inclined at an angle of sin-1 0.05 to the horizontal, at a constant speed of v m s-1. The car’s engine is working at 32.5 kW.
Find v.
A car of mass 1800 kg is travelling along a straight horizontal road. The power of the car’s engine is constant. There is a constant resistance to motion of 650 N.
(a) Find the power of the car’s engine, given that the car’s acceleration is 0.5 m s-2 when its speed is 20 m s-1.
(b) Find the steady speed which the car can maintain with the engine working at this power.
A car of mass 1400 kg is moving along a straight horizontal road against a resistance of magnitude 350 N.
(a) Find, in kW, the rate at which the engine of the car is working when it is travelling at a constant speed of 20 m s-1.
(b) Find the acceleration of the car when its speed is 20 m s-1 and the engine is working at 15 kW.
A minibus of mass 4000 kg is travelling along a straight horizontal road. The resistance to motion is 900 N.
(a) Find the driving force when the acceleration of the minibus is 0.5 m s-2.
(b) Find the power required for the minibus to maintain a constant speed of 25 m s-1.
A car of mass 1250 kg is moving on a straight road.
(a) On a horizontal section of the road, the car has a constant speed of 32 m s-1 and there is a constant force of 750 N resisting the motion.
(b) On a section of the road inclined at sin-1 0.096 to the horizontal, the resistance to the motion of the car is (1000 + 8v) N when the speed of the car is v m s-1. The car travels up this section of the road at constant speed with the engine working at 60 kW.
Find this constant speed. [5]
A car of mass 1800 kg is towing a trailer of mass 400 kg along a straight horizontal road. The car and trailer are connected by a light rigid tow-bar. The car is accelerating at 1.5 \(\text{ms}^{-2}\). There are constant resistance forces of 250 N on the car and 100 N on the trailer.
(a) Find the tension in the tow-bar.
(b) Find the power of the engine of the car at the instant when the speed is 20 \(\text{ms}^{-1}\).
A lorry of mass 16000 kg is travelling along a straight horizontal road. The engine of the lorry is working at constant power. The work done by the driving force in 10 s is 750000 J.
(a) Find the power of the lorry’s engine.
(b) There is a constant resistance force acting on the lorry of magnitude 2400 N.
Find the acceleration of the lorry at an instant when its speed is 25 m s-1.
A car of mass 1300 kg is moving on a straight road.
(a) On a horizontal section of the road, the car has a constant speed of 30 m/s and there is a constant force of 650 N resisting the motion.
(b) On a section of the road inclined at \(\sin^{-1} 0.08\) to the horizontal, the resistance to the motion of the car is \((1000 + 20v)\) N when the speed of the car is \(v \text{ m/s}\). The car travels downwards along this section of the road at constant speed with the engine working at 11.5 kW.
Find this constant speed.
A cyclist is travelling along a straight horizontal road. The total mass of the cyclist and his bicycle is 80 kg. His power output is a constant 240 W. His acceleration when he is travelling at 6 m/s is 0.3 m/s2.
A crane is lifting a load of 1250 kg vertically at a constant speed \(V\) m s-1. Given that the power of the crane is a constant 20 kW, find the value of \(V\).
A car of mass 1400 kg is travelling up a hill inclined at an angle of 4° to the horizontal. There is a constant resistance to motion of magnitude 1550 N acting on the car.
(i) Given that the engine of the car is working at 30 kW, find the speed of the car at an instant when its acceleration is 0.4 m s-2.
(ii) The greatest possible constant speed at which the car can travel up the hill is 40 m s-1. Find the maximum possible power of the engine.
A car has mass 1000 kg. When the car is travelling at a steady speed of \(v \text{ m s}^{-1}\), where \(v > 2\), the resistance to motion of the car is \((Av + B) \text{ N}\), where \(A\) and \(B\) are constants. The car can travel along a horizontal road at a steady speed of \(18 \text{ m s}^{-1}\) when its engine is working at \(36 \text{ kW}\). The car can travel up a hill inclined at an angle of \(\theta\) to the horizontal, where \(\sin \theta = 0.05\), at a steady speed of \(12 \text{ m s}^{-1}\) when its engine is working at \(21 \text{ kW}\). Find \(A\) and \(B\).
A lorry has mass 12,000 kg.
(i) The lorry moves at a constant speed of 5 m s-1 up a hill inclined at an angle of \(\theta\) to the horizontal, where \(\sin \theta = 0.08\). At this speed, the magnitude of the resistance to motion on the lorry is 1500 N. Show that the power of the lorry’s engine is 55.5 kW.
When the speed of the lorry is \(v\) m s-1 the magnitude of the resistance to motion is \(kv^2\) N, where \(k\) is a constant.
(ii) Show that \(k = 60\).
(iii) The lorry now moves at a constant speed on a straight level road. Given that its engine is still working at 55.5 kW, find the lorry’s speed.
A car of mass 1500 kg is pulling a trailer of mass 300 kg along a straight horizontal road at a constant speed of 20 m s-1. The system of the car and trailer is modelled as two particles, connected by a light rigid horizontal rod. The power of the car’s engine is 6000 W. There are constant resistances to motion of R N on the car and 80 N on the trailer.
(i) Find the value of R.
The power of the car’s engine is increased to 12 500 W. The resistance forces do not change.
(ii) Find the acceleration of the car and trailer and the tension in the rod at an instant when the speed of the car is 25 m s-1.
A van of mass 3200 kg travels along a horizontal road. The power of the van’s engine is constant and equal to 36 kW, and there is a constant resistance to motion acting on the van.
A car of mass 1200 kg is driving along a straight horizontal road at a constant speed of 15 m s-1. There is a constant resistance to motion of 350 N.
The car comes to a hill inclined at 1° to the horizontal, still travelling at 15 m s-1.
A high-speed train of mass 490,000 kg is moving along a straight horizontal track at a constant speed of 85 m s-1. The engines are supplying 4080 kW of power.
(i) Show that the resistance force is 48,000 N.
(ii) The train comes to a hill inclined at an angle \(\theta\) above the horizontal, where \(\sin \theta = \frac{1}{200}\). Given that the resistance force is unchanged, find the power required for the train to keep moving at the same constant speed of 85 m s-1.
A car of mass 1400 kg travelling at a speed of \(v \text{ m s}^{-1}\) experiences a resistive force of magnitude \(40v \text{ N}\). The greatest possible constant speed of the car along a straight level road is \(56 \text{ m s}^{-1}\).
A lorry of mass 15,000 kg moves on a straight horizontal road in the direction from A to B. It passes A and B with speeds 20 m/s and 25 m/s respectively. The power of the lorry’s engine is constant and there is a constant resistance to motion of magnitude 6000 N. The acceleration of the lorry at B is 0.5 times the acceleration of the lorry at A.
(a) Show that the power of the lorry’s engine is 200 kW, and hence find the acceleration of the lorry when it is travelling at 20 m/s.
The lorry begins to ascend a straight hill inclined at 1° to the horizontal. It is given that the power of the lorry’s engine and the resistance force do not change.
(b) Find the steady speed up the hill that the lorry could maintain.
A train of mass 240,000 kg travels up a slope inclined at an angle of 4° to the horizontal. There is a constant resistance of magnitude 18,000 N acting on the train. At an instant when the speed of the train is 15 m/s, its deceleration is 0.2 m/s². Find the power of the engine of the train.
A car of mass 1200 kg has a greatest possible constant speed of 60 m s-1 along a straight level road. When the car is travelling at a speed of v m s-1 there is a resistive force of magnitude 35v N.
A lorry of mass 7850 kg travels on a straight hill which is inclined at an angle of 3° to the horizontal. There is a constant resistance to motion of 1480 N.
(i) Find the power of the lorry’s engine when the lorry is going up the hill at a constant speed of 10 m s-1.
(ii) Find the power of the lorry’s engine at an instant when the lorry is going down the hill at a speed of 15 m s-1 with an acceleration of 0.8 m s-2.
A cyclist is riding up a straight hill inclined at an angle \(\alpha\) to the horizontal, where \(\sin \alpha = 0.04\). The total mass of the bicycle and rider is 80 kg. The cyclist is riding at a constant speed of 4 m s\(^{-1}\). There is a force resisting the motion. The work done by the cyclist against this resistance force over a distance of 25 m is 600 J.
(i) Find the power output of the cyclist.
The cyclist reaches the top of the hill, where the road becomes horizontal, with speed 4 m s\(^{-1}\). The cyclist continues to work at the same rate on the horizontal part of the road.
(ii) Find the speed of the cyclist 10 seconds after reaching the top of the hill, given that the work done by the cyclist during this period against the resistance force is 1200 J.
A tractor of mass 3700 kg is travelling along a straight horizontal road at a constant speed of 12 m s-1. The total resistance to motion is 1150 N.
The tractor comes to a hill inclined at 4° above the horizontal. The power output is increased to 25 kW and the resistance to motion is unchanged.
A car of mass 1200 kg is travelling along a horizontal road.
(i) It is given that there is a constant resistance to motion.
(a) The engine of the car is working at 16 kW while the car is travelling at a constant speed of 40 m s-1. Find the resistance to motion.
(b) The power is now increased to 22.5 kW. Find the acceleration of the car at the instant it is travelling at a speed of 45 m s-1.
(ii) It is given instead that the resistance to motion of the car is (590 + 2v) N when the speed of the car is v m s-1. The car travels at a constant speed with the engine working at 16 kW. Find this speed.
A car of mass 1200 kg is moving on a straight road against a constant force of 850 N resisting the motion.
(i) On a part of the road that is horizontal, the car moves with a constant speed of 42 m s-1.
(a) Calculate, in kW, the power developed by the engine of the car. [2]
(b) Given that this power is suddenly increased by 6 kW, find the instantaneous acceleration of the car. [3]
(ii) On a part of the road that is inclined at θ° to the horizontal, the car moves up the hill at a constant speed of 24 m s-1, with the engine working at 80 kW. Find θ. [4]
A car of mass 900 kg is moving on a straight horizontal road ABCD. There is a constant resistance of magnitude 800 N in the sections AB and BC, and a constant resistance of magnitude R N in the section CD. The power of the car’s engine is a constant 36 kW.
A cyclist is cycling with constant power of 160 W along a horizontal straight road. There is a constant resistance to motion of 20 N. At an instant when the cyclist’s speed is 5 m s-1, his acceleration is 0.15 m s-2.
(i) Show that the total mass of the cyclist and bicycle is 80 kg.
The cyclist comes to a hill inclined at 2° to the horizontal. When the cyclist starts climbing the hill, he increases his power to a constant 300 W. The resistance to motion remains 20 N.
(ii) Show that the steady speed up the hill which the cyclist can maintain when working at this power is 6.26 m s-1, correct to 3 significant figures.
(iii) Find the acceleration at an instant when the cyclist is travelling at 90% of the speed in part (ii).
A crane is used to raise a block of mass 50 kg vertically upwards at constant speed through a height of 3.5 m. There is a constant resistance to motion of 25 N.
A toy railway locomotive of mass 0.8 kg is towing a truck of mass 0.4 kg on a straight horizontal track at a constant speed of 2 m s-1. There is a constant resistance force of magnitude 0.2 N on the locomotive, but no resistance force on the truck. There is a light rigid horizontal coupling connecting the locomotive and the truck.
(a) State the tension in the coupling.
(b) Find the power produced by the locomotive’s engine.
The power produced by the locomotive’s engine is now changed to 1.2 W.
(c) Find the magnitude of the tension in the coupling at the instant that the locomotive begins to accelerate.
A van of mass 3000 kg is pulling a trailer of mass 500 kg along a straight horizontal road at a constant speed of 25 m s-1. The system of the van and the trailer is modelled as two particles connected by a light inextensible cable. There is a constant resistance to motion of 300 N on the van and 100 N on the trailer.
(i) Find the power of the van’s engine.
(ii) Write down the tension in the cable.
The van reaches the bottom of a hill inclined at 4° to the horizontal with speed 25 m s-1. The power of the van’s engine is increased to 25 000 W.
(iii) Assuming that the resistance forces remain the same, find the new tension in the cable at the instant when the speed of the van up the hill is 20 m s-1.
The motion of a car of mass 1400 kg is resisted by a constant force of magnitude 650 N.
A car of mass 1100 kg is moving on a road against a constant force of 1550 N resisting the motion.
(i) The car moves along a straight horizontal road at a constant speed of 40 m s-1.
(ii) The car now travels at constant speed up a straight road inclined at 8° to the horizontal, with the engine working at 80 kW. Assuming the resistance force remains the same, find this constant speed. [3]
A car of mass 1000 kg is moving along a straight horizontal road against resistances of total magnitude 300 N.
(i) Find, in kW, the rate at which the engine of the car is working when the car has a constant speed of 40 m s-1.
(ii) Find the acceleration of the car when its speed is 25 m s-1 and the engine is working at 90% of the power found in part (i).
A constant resistance of magnitude 1350 N acts on a car of mass 1200 kg.
A cyclist and his bicycle have a total mass of 90 kg. The cyclist starts to move with speed 3 m s-1 from the top of a straight hill, of length 500 m, which is inclined at an angle of sin-1 0.05 to the horizontal. The cyclist moves with constant acceleration until he reaches the bottom of the hill with speed 5 m s-1. The cyclist generates 420 W of power while moving down the hill. The resistance to the motion of the cyclist and his bicycle, R N, and the cyclist’s speed, v m s-1, both vary.
A lorry of mass 24,000 kg is travelling up a hill which is inclined at 3° to the horizontal. The power developed by the lorry’s engine is constant, and there is a constant resistance to motion of 3200 N.
A weightlifter performs an exercise in which he raises a mass of 200 kg from rest vertically through a distance of 0.7 m and holds it at that height.
(i) Find the work done by the weightlifter.
(ii) Given that the time taken to raise the mass is 1.2 s, find the average power developed by the weightlifter.
A car of mass 860 kg travels along a straight horizontal road. The power provided by the car’s engine is \(P\) W and the resistance to the car’s motion is \(R\) N. The car passes through one point with speed 4.5 m s\(^{-1}\) and acceleration 4 m s\(^{-2}\). The car passes through another point with speed 22.5 m s\(^{-1}\) and acceleration 0.3 m s\(^{-2}\). Find the values of \(P\) and \(R\).
A block is pulled along a horizontal floor by a horizontal rope. The tension in the rope is 500 N and the block moves at a constant speed of 2.75 m s-1. Find the work done by the tension in 40 s and find the power applied by the tension.
A crate of mass 200 kg is being pulled at constant speed along horizontal ground by a horizontal rope attached to a winch. The winch is working at a constant rate of 4.5 kW and there is a constant resistance to the motion of the crate of magnitude 600 N.
(a) Find the time that it takes for the crate to move a distance of 15 m.
The rope breaks after the crate has moved 15 m.
(b) Find the time taken, after the rope breaks, for the crate to come to rest.
The total mass of a cyclist and his cycle is 80 kg. The resistance to motion is zero.
A cyclist and her bicycle have a total mass of 84 kg. She works at a constant rate of \(P \, W\) while moving on a straight road which is inclined to the horizontal at an angle \(\theta\), where \(\sin \theta = 0.1\). When moving uphill, the cyclist’s acceleration is \(1.25 \, \text{m/s}^2\) at an instant when her speed is \(3 \, \text{m/s}\). When moving downhill, the cyclist’s acceleration is \(1.25 \, \text{m/s}^2\) at an instant when her speed is \(10 \, \text{m/s}\). The resistance to the cyclist’s motion, whether the cyclist is moving uphill or downhill, is \(R \, N\). Find the values of \(P\) and \(R\).
A car of mass 1400 kg moves on a horizontal straight road. The resistance to the car’s motion is constant and equal to 800 N and the power of the car’s engine is constant and equal to \(P\) W. At an instant when the car’s speed is 18 m s-1 its acceleration is 0.5 m s-2.
(i) Find the value of \(P\).
The car continues and passes through another point with speed 25 m s-1.
(ii) Find the car’s acceleration at this point.
A train of mass 200,000 kg moves on a horizontal straight track. It passes through a point A with speed 28 m/s and later it passes through a point B. The power of the train’s engine at B is 1.2 times the power of the train’s engine at A. The driving force of the train’s engine at B is 0.96 times the driving force of the train’s engine at A.
(i) Show that the speed of the train at B is 35 m/s.
(ii) For the motion from A to B, find the work done by the train’s engine given that the work done against the resistance to the train’s motion is 2.3 × 106 J.
A car of mass 800 kg is moving on a straight horizontal road with its engine working at a rate of 22.5 kW. Find the resistance to the car’s motion at an instant when the car’s speed is 18 m/s and its acceleration is 1.2 m/s2.
A car of mass 1250 kg travels up a straight hill inclined at an angle \(\alpha\) to the horizontal, where \(\sin \alpha = 0.02\). The power provided by the car’s engine is 23 kW. The resistance to motion is constant and equal to 600 N. Find the speed of the car at an instant when its acceleration is \(0.5 \text{ m/s}^2\).
A car of mass 600 kg travels along a straight horizontal road. The resistance to the car’s motion is constant and equal to \(R\) N.
(i) Find the value of \(R\), given that the car’s acceleration is \(1.4 \, \text{m/s}^2\) at an instant when the car’s speed is \(18 \, \text{m/s}\) and its engine is working at a rate of \(22.5 \, \text{kW}\).
(ii) Find the rate of working of the car’s engine when the car is moving with a constant speed of \(15 \, \text{m/s}\).
A train is moving at constant speed \(V \text{ m s}^{-1}\) along a horizontal straight track. Given that the power of the train’s engine is 1330 kW and the total resistance to the train’s motion is 28 kN, find the value of \(V\).
A lorry of mass 12,500 kg travels along a road from A to C passing through a point B. The resistance to motion of the lorry is 4800 N for the whole journey from A to C.
(i) The section AB of the road is straight and horizontal. On this section of the road the power of the lorry’s engine is constant and equal to 144 kW. The speed of the lorry at A is 16 m s-1 and its acceleration at B is 0.096 m s-2. Find the acceleration of the lorry at A and show that its speed at B is 24 m s-1.
(ii) The section BC of the road has length 500 m, is straight and inclined upwards towards C. On this section of the road the lorry’s driving force is constant and equal to 5800 N. The speed of the lorry at C is 16 m s-1. Find the height of C above the level of AB.
The resistance to motion acting on a runner of mass 70 kg is \(kv\) N, where \(v \text{ m s}^{-1}\) is the runner's speed and \(k\) is a constant. The greatest power the runner can exert is 100 W. The runner's greatest steady speed on horizontal ground is \(4 \text{ m s}^{-1}\).
A car of mass 1750 kg is pulling a caravan of mass 500 kg. The car and the caravan are connected by a light rigid tow-bar. The resistances to the motion of the car and caravan are 650 N and 150 N respectively.
(a) The car and caravan are moving along a straight horizontal road at a constant speed of 24 m s-1.
(b) The car and caravan now travel up a straight hill, inclined at an angle sin-1 0.14 to the horizontal, at a constant speed of v m s-1. The car’s engine is working at 31 kW. The resistances to the motion of the car and caravan are unchanged.
Find v.
A car has mass 800 kg. The engine of the car generates constant power \(P\) kW as the car moves along a straight horizontal road. The resistance to motion is constant and equal to \(R\) N. When the car's speed is 14 m s\(^{-1}\) its acceleration is 1.4 m s\(^{-2}\), and when the car's speed is 25 m s\(^{-1}\) its acceleration is 0.33 m s\(^{-2}\). Find the values of \(P\) and \(R\).
A car of mass 1000 kg is travelling on a straight horizontal road. The power of its engine is constant and equal to \(P\) kW. The resistance to motion of the car is 600 N. At an instant when the car’s speed is 25 m s\(^{-1}\), its acceleration is 0.2 m s\(^{-2}\). Find
A train of mass 400,000 kg is moving on a straight horizontal track. The power of the engine is constant and equal to 1500 kW and the resistance to the train’s motion is 30,000 N. Find
A car of mass 1200 kg moves in a straight line along horizontal ground. The resistance to motion of the car is constant and has magnitude 960 N. The car’s engine works at a rate of 17 280 W.
The car passes through the points A and B. While the car is moving between A and B it has constant speed V m s-1.
At the instant that the car reaches B the engine is switched off and subsequently provides no energy. The car continues along the straight line until it comes to rest at the point C. The time taken for the car to travel from A to C is 52.5 s.
A car of mass 1230 kg increases its speed from 4 m/s to 21 m/s in 24.5 s. The table below shows corresponding values of time \(t\) s and speed \(v\) m/s.
| \(t\) | 0 | 0.5 | 16.3 | 24.5 |
|---|---|---|---|---|
| \(v\) | 4 | 6 | 19 | 21 |
(i) Using the values in the table, find the average acceleration of the car for \(0 < t < 0.5\) and for \(16.3 < t < 24.5\).
While the car is increasing its speed the power output of its engine is constant and equal to \(P\) W, and the resistance to the car’s motion is constant and equal to \(R\) N.
(ii) Assuming that the values obtained in part (i) are approximately equal to the accelerations at \(v = 5\) and at \(v = 20\), find approximations for \(P\) and \(R\).
A car of mass 880 kg travels along a straight horizontal road with its engine working at a constant rate of \(P\) W. The resistance to motion is 700 N. At an instant when the car's speed is 16 m s-1 its acceleration is 0.625 m s-2. Find the value of \(P\).
A car of mass 600 kg travels along a straight horizontal road starting from a point A. The resistance to motion of the car is 750 N.
A racing cyclist, whose mass with his cycle is 75 kg, works at a rate of 720 W while moving on a straight horizontal road. The resistance to the cyclist’s motion is constant and equal to \(R N\).
A car of mass 1250 kg is travelling along a straight horizontal road with its engine working at a constant rate of \(P\) W. The resistance to the car’s motion is constant and equal to \(R\) N. When the speed of the car is 19 m s\(^{-1}\) its acceleration is 0.6 m s\(^{-2}\), and when the speed of the car is 30 m s\(^{-1}\) its acceleration is 0.16 m s\(^{-2}\). Find the values of \(P\) and \(R\).
A load is pulled along horizontal ground for a distance of 76 m, using a rope. The rope is inclined at 5° above the horizontal and the tension in the rope is 65 N.
(i) Find the work done by the tension.
At an instant during the motion the velocity of the load is 1.5 m s-1.
(ii) Find the rate of working of the tension at this instant.
A car of mass 1200 kg is travelling along a straight horizontal road AB. There is a constant resistance force of magnitude 500 N. When the car passes point A, it has a speed of 15 m/s and an acceleration of 0.8 m/s2.
(a) Find the power of the car’s engine at the point A.
The car continues to work with this power as it travels from A to B. The car takes 53 seconds to travel from A to B and the speed of the car at B is 32 m/s-1.
(b) Show that the distance AB is 1362.6 m.
A load of mass 1250 kg is raised by a crane from rest on horizontal ground, to rest at a height of 1.54 m above the ground. The work done against the resistance to motion is 5750 J.
A car of mass 700 kg is travelling along a straight horizontal road. The resistance to motion is constant and equal to 600 N.
A car of mass 1250 kg travels along a horizontal straight road. The power of the car’s engine is constant and equal to 24 kW and the resistance to the car’s motion is constant and equal to \(R\) N. The car passes through the point \(A\) on the road with speed 20 m/s and acceleration 0.32 m/s2.
The car continues with increasing speed, passing through the point \(B\) on the road with speed 29.9 m/s. The car subsequently passes through the point \(C\).
The work done by the car’s engine during the motion from \(B\) to \(C\) is 1200 kJ.
A cyclist, working at a constant rate of 400 W, travels along a straight road which is inclined at 2° to the horizontal. The total mass of the cyclist and his cycle is 80 kg. Ignoring any resistance to motion, find, correct to 1 decimal place, the acceleration of the cyclist when he is travelling
A car of mass 600 kg travels along a horizontal straight road, with its engine working at a rate of 40 kW. The resistance to motion of the car is constant and equal to 800 N. The car passes through the point A on the road with speed 25 m s-1. The car’s acceleration at the point B on the road is half its acceleration at A. Find the speed of the car at B.
A car of mass 1150 kg travels up a straight hill inclined at 1.2° to the horizontal. The resistance to motion of the car is 975 N. Find the acceleration of the car at an instant when it is moving with speed 16 m s-1 and the engine is working at a power of 35 kW.
A car of mass 1250 kg travels along a horizontal straight road with increasing speed. The power provided by the car’s engine is constant and equal to 24 kW. The resistance to the car’s motion is constant and equal to 600 N.
(i) Show that the speed of the car cannot exceed 40 m s-1.
(ii) Find the acceleration of the car at an instant when its speed is 15 m s-1.
A car of mass 1200 kg is travelling on a horizontal straight road and passes through a point A with speed 25 m s-1. The power of the car’s engine is 18 kW and the resistance to the car’s motion is 900 N.
(i) Find the deceleration of the car at A.
(ii) Show that the speed of the car does not fall below 20 m s-1 while the car continues to move with the engine exerting a constant power of 18 kW.
A block is being pulled along a horizontal floor by a rope inclined at 20° to the horizontal. The tension in the rope is 851 N and the block moves at a constant speed of 2.5 m s-1.
(i) Show that the work done on the block in 12 s is approximately 24 kJ.
(ii) Hence find the power being applied to the block, giving your answer to the nearest kW.
A car of mass 900 kg travels along a horizontal straight road with its engine working at a constant rate of \(P\) kW. The resistance to motion of the car is 550 N. Given that the acceleration of the car is 0.2 m s\(^{-2}\) at an instant when its speed is 30 m s\(^{-1}\), find the value of \(P\).
A constant resistance of magnitude 1400 N acts on a car of mass 1250 kg.
A car travels along a horizontal straight road with increasing speed until it reaches its maximum speed of 30 m s-1. The resistance to motion is constant and equal to RN, and the power provided by the car's engine is 18 kW.
A cyclist travels along a straight road working at a constant rate of 420 W. The total mass of the cyclist and her cycle is 75 kg. Ignoring any resistance to motion, find the acceleration of the cyclist at an instant when she is travelling at 5 m/s-1,
A car of mass 1250 kg travels down a straight hill with the engine working at a power of 22 kW. The hill is inclined at 3° to the horizontal and the resistance to motion of the car is 1130 N. Find the speed of the car at an instant when its acceleration is 0.2 m/s-2.
A car of mass 1200 kg travels along a horizontal straight road. The power of the car's engine is 20 kW. The resistance to the car's motion is 400 N.
The work done by the car’s engine as the car travels from a point A to a point B is 1500 kJ.
A motorcycle of mass 100 kg is travelling on a horizontal straight road. Its engine is working at a rate of 8 kW. At an instant when the speed of the motorcycle is 25 m s-1 its acceleration is 0.5 m s-2. Find, at this instant,
A crate of mass 800 kg is lifted vertically, at constant speed, by the cable of a crane. Find
A car of mass 1000 kg travels along a horizontal straight road with its engine working at a constant rate of 20 kW. The resistance to motion of the car is 600 N. Find the acceleration of the car at an instant when its speed is 25 m s-1.
The total mass of a cyclist and her bicycle is 70 kg. The cyclist is riding with constant power of 180 W up a straight hill inclined at an angle \(\alpha\) to the horizontal, where \(\sin \alpha = 0.05\). At an instant when the cyclist’s speed is 6 m s\(^{-1}\), her acceleration is \(-0.2 \text{ m s}^{-2}\). There is a constant resistance to motion of magnitude \(F \text{ N}\).
(a) Find the value of \(F\).
(b) Find the steady speed that the cyclist could maintain up the hill when working at this power.
(a) Use standard results from the list of formulae (MF19) to show that
\(\sum_{r=1}^{n} (2-3r)(5-3r) = an^3 + bn^2 + cn,\)
where \(a, b\) and \(c\) are integers to be determined.
(b) Use the method of differences to find \(\sum_{r=1}^{n} \frac{1}{(2-3r)(5-3r)}\) in terms of \(n\).
(c) Deduce the value of \(\sum_{r=1}^{\infty} \frac{1}{(2-3r)(5-3r)}\).
The cubic equation \(x^3 + 2x + 1 = 0\) has roots \(\alpha, \beta, \gamma\).
The sequence \(u_1, u_2, u_3, \ldots\) is such that \(u_1 = 5\) and \(u_{n+1} = 6u_n + 5\) for \(n \geq 1\).
(a) Prove by induction that \(u_n = 6^n - 1\) for all positive integers \(n\).
(b) Deduce that \(u_{2n}\) is divisible by \(u_n\) for \(n \geq 1\).
The matrix \(\mathbf{M}\) is given by \(\mathbf{M} = \begin{pmatrix} 1 & 2 \\ 0 & 1 \end{pmatrix} \begin{pmatrix} \cos \theta & -\sin \theta \\ \sin \theta & \cos \theta \end{pmatrix}\), where \(0 < \theta < 2\pi\).
(a) The matrix \(\mathbf{M}\) represents a sequence of two geometrical transformations in the \(x-y\) plane. State the type of each transformation, and make clear the order in which they are applied.
(b) Find the value of \(\theta\) for which the transformation represented by \(\mathbf{M}\) has a line of invariant points.
The curve C has polar equation \(r = \theta e^{\frac{1}{8}\theta}\), for \(0 \leq \theta \leq 2\pi\).
(a) Sketch C.
(b) Find the area of the region bounded by C and the initial line, giving your answer in the form \((p\pi^2 + q\pi + r)e^{\frac{1}{2}\pi} + s\), where \(p, q, r\) and \(s\) are integers to be determined.
(c) Show that, at the point of C furthest from the initial line,
\(\theta \cos \theta + \left( \frac{1}{8} \theta + 1 \right) \sin \theta = 0\)
and verify that this equation has a root between 5 and 5.05.
The points A, B, C have position vectors
\(\mathbf{i} - 2\mathbf{k}, \quad \mathbf{i} + 2\mathbf{j} + 2\mathbf{k}, \quad 2\mathbf{i} - \mathbf{j} - \mathbf{k},\)
respectively.
(a) Find the equation of the plane ABC, giving your answer in the form \(ax + by + cz = d\).
A point D has position vector \(\mathbf{i} + t\mathbf{k}\), where \(t \neq -2\).
(b) Find the acute angle between the planes ABC and ABD.
(c) Find the values of \(t\) such that the shortest distance between the lines AB and CD is \(\sqrt{2}\).
The curve \(C\) has equation \(y = \frac{2x^2 - 5x}{2x^2 - 7x - 4}\).
(a) Use standard results from the list of formulae (MF19) to show that
\(\sum_{r=1}^{n} (2-3r)(5-3r) = an^3 + bn^2 + cn,\)
where \(a, b\) and \(c\) are integers to be determined.
(b) Use the method of differences to find \(\sum_{r=1}^{n} \frac{1}{(2-3r)(5-3r)}\) in terms of \(n\).
(c) Deduce the value of \(\sum_{r=1}^{\infty} \frac{1}{(2-3r)(5-3r)}\).
The cubic equation \(x^3 + 2x + 1 = 0\) has roots \(\alpha, \beta, \gamma\).
The sequence \(u_1, u_2, u_3, \ldots\) is such that \(u_1 = 5\) and \(u_{n+1} = 6u_n + 5\) for \(n \geq 1\).
(a) Prove by induction that \(u_n = 6^n - 1\) for all positive integers \(n\).
(b) Deduce that \(u_{2n}\) is divisible by \(u_n\) for \(n \geq 1\).
The matrix M is given by \(\mathbf{M} = \begin{pmatrix} 1 & 2 \\ 0 & 1 \end{pmatrix} \begin{pmatrix} \cos \theta & -\sin \theta \\ \sin \theta & \cos \theta \end{pmatrix}\), where \(0 < \theta < 2\pi\).
(a) The matrix M represents a sequence of two geometrical transformations in the x–y plane. State the type of each transformation, and make clear the order in which they are applied.
(b) Find the value of \(\theta\) for which the transformation represented by M has a line of invariant points.
The curve C has polar equation \(r = \theta e^{\frac{1}{8} \theta}\), for \(0 \leq \theta \leq 2\pi\).
The points A, B, C have position vectors \(\mathbf{i} - 2\mathbf{k}, \mathbf{i} + 2\mathbf{j} + 2\mathbf{k}, 2\mathbf{i} - \mathbf{j} - \mathbf{k}\), respectively.
(a) Find the equation of the plane ABC, giving your answer in the form \(ax + by + cz = d\).
A point D has position vector \(\mathbf{i} + t\mathbf{k}\), where \(t \neq -2\).
(b) Find the acute angle between the planes ABC and ABD.
(c) Find the values of \(t\) such that the shortest distance between the lines AB and CD is \(\sqrt{2}\).
The curve C has equation \(y = \frac{2x^2 - 5x}{2x^2 - 7x - 4}\).
The matrix M represents the sequence of two transformations in the x-y plane given by a stretch parallel to the x-axis, scale factor 14, followed by a rotation anticlockwise about the origin through angle \(\frac{1}{3} \pi\).
(a) Show that \(2\mathbf{M} = \begin{pmatrix} 14 & -\sqrt{3} \\ 14\sqrt{3} & 1 \end{pmatrix}\).
(b) Find the equations of the invariant lines, through the origin, of the transformation in the x-y plane represented by M.
The unit square S in the x-y plane is transformed by M onto the rectangle P.
(c) Find the matrix which transforms P onto S.
Prove by mathematical induction that \(2025^n + 47^n - 2\) is divisible by 46 for all positive integers \(n\).
The quartic equation \(x^4 + 7x^2 + 3x + 22 = 0\) has roots \(\alpha, \beta, \gamma, \delta\).
(a) Find the value of \(\alpha^2 + \beta^2 + \gamma^2 + \delta^2\).
(b) Find the value of \(\alpha^4 + \beta^4 + \gamma^4 + \delta^4\).
(c) Use standard results from the list of formulae (MF19) to find the value of \(\sum_{r=1}^{10} ((\alpha^2 + r)^2 + (\beta^2 + r)^2 + (\gamma^2 + r)^2 + (\delta^2 + r)^2)\).
Let \(w_r = r(r+1)(r+2)\ldots(r+9)\).
(a) Show that \(w_{r+1} - w_r = 10(r+1)(r+2)\ldots(r+9)\).
(b) Given that \(u_r = (r+1)(r+2)\ldots(r+9)\), find \(\sum_{r=1}^{n} u_r\) in terms of \(n\).
(c) Given that \(v_r = x^{w_{r+1}} - x^{w_r}\), find the set of values of \(x\) for which the infinite series \(v_1 + v_2 + v_3 + \ldots\) is convergent and give the sum to infinity when this exists.
The plane \(\Pi\) has equation \(\mathbf{r} = 2\mathbf{i} + 3\mathbf{j} - 2\mathbf{k} + \lambda (\mathbf{i} - 2\mathbf{j} - \mathbf{k}) + \mu (3\mathbf{i} + 2\mathbf{j} - 2\mathbf{k})\).
(a) Find a Cartesian equation of \(\Pi\), giving your answer in the form \(ax + by + cz = d\).
The point \(P\) has position vector \(4\mathbf{i} + 2\mathbf{j} + 9\mathbf{k}\).
(b) Find the position vector of the foot of the perpendicular from \(P\) to \(\Pi\).
The line \(l\) is parallel to the vector \(3\mathbf{i} + 5\mathbf{j} - \mathbf{k}\).
(c) Find the acute angle between \(l\) and \(\Pi\).
The curve C has equation \(y = \frac{x^2 + a}{x + a}\), where \(a\) is a positive constant.
The curve C has polar equation \(r^2 = e^{\sin \theta} \cos \theta\), for \(-\frac{1}{2}\pi \leq \theta \leq \frac{1}{2}\pi\).
Prove by mathematical induction that, for every integer \(n \geq 2\),
\(\frac{d^n}{dx^n}(x \ln x) = (-1)^n (n-2)! x^{1-n}.\)
The points A, B and C have position vectors
\(2\mathbf{j} + 3\mathbf{k}, \quad -5\mathbf{i} + 3\mathbf{j} + \mathbf{k} \quad \text{and} \quad \mathbf{i} + 2\mathbf{j} + 5\mathbf{k}\)
respectively, relative to the origin O.
(a) Find the equation of the plane ABC, giving your answer in the form \(ax + by + cz = d\).
(b) Find the perpendicular distance from O to the plane ABC.
(c) Find the acute angle between the line OA and the plane ABC.
The cubic equation \(x^3 + bx^2 + cx - 1 = 0\), where \(b\) and \(c\) are constants, has roots \(\alpha, \beta, \gamma\).
It is given that the matrix \(\begin{pmatrix} 1 & \alpha & \beta \\ \alpha & 1 & \gamma \\ \beta & \gamma & 1 \end{pmatrix}\) is singular.
(a) Show that \(\alpha^2 + \beta^2 + \gamma^2 = 3\).
(b) It is given that \(\alpha^3 + \beta^3 + \gamma^3 = 3\) and that the constants \(b\) and \(c\) are positive.
Find the values of \(b\) and \(c\).
The matrix M represents a sequence of two transformations in the x-y plane given by a one-way stretch in the x-direction, scale factor 3, followed by a reflection in the line y = x.
(a) Find M.
(b) Give full details of the geometrical transformation in the x-y plane represented by M-1.
The matrix N is such that MN = \(\begin{pmatrix} 1 & 2 \\ 3 & 2 \end{pmatrix}\).
(c) Find N.
\((d) Find the equations of the invariant lines, through the origin, of the transformation in the x-y plane represented by MN.\)
The curve C has polar equation \(r = a \tan\left(\frac{1}{8}\theta\right)\), where \(a\) is a positive constant and \(0 \leq \theta \leq 2\pi\).
(a) Sketch C and state, in terms of \(a\), the greatest distance of a point on C from the pole.
(b) Find, in terms of \(a\), the area of the region bounded by C and the initial line.
(c) Show that, at the point on C furthest from the initial line,
\(4 \sin\left(\frac{1}{4}\theta\right)\cos\theta + \sin\theta = 0\)
and verify that this equation has a root between 4.95 and 5.
The curve \(C\) has equation \(y = \frac{x^2 + x - 4}{x^2 + x + 2}\).
The matrix M represents the sequence of two transformations in the x-y plane given by a stretch parallel to the x-axis, scale factor k (k ≠ 0), followed by a shear, x-axis fixed, with (0, 1) mapped to (k, 1).
(a) Show that M = \(\begin{pmatrix} k & k \\ 0 & 1 \end{pmatrix}\).
\((b) The transformation represented by M has a line of invariant points. Find, in terms of k, the equation of this line.\)
The unit square S in the x-y plane is transformed by M onto the parallelogram P.
(c) Find, in terms of k, a matrix which transforms P onto S.
(d) Given that the area of P is \(3k^2\) units\(^2\), find the possible values of k.
Prove by mathematical induction that, for all positive integers n,
\(\frac{d^n}{dx^n}(\arctan x) = P_n(x)(1+x^2)^{-n},\)
where \(P_n(x)\) is a polynomial of degree \(n-1\).
The quartic equation \(x^4 + 2x^3 - 1 = 0\) has roots \(\alpha, \beta, \gamma, \delta\).
(a) Find a quartic equation whose roots are \(\alpha^4, \beta^4, \gamma^4, \delta^4\) and state the value of \(\alpha^4 + \beta^4 + \gamma^4 + \delta^4\).
(b) Find the value of \(\alpha^5 + \beta^5 + \gamma^5 + \delta^5\).
(c) Find the value of \(\alpha^8 + \beta^8 + \gamma^8 + \delta^8\).
(a) Use the method of differences to find \(\sum_{r=1}^{n} \frac{5k}{(5r+k)(5r+5+k)}\) in terms of \(n\) and \(k\), where \(k\) is a positive constant.
It is given that \(\sum_{r=1}^{\infty} \frac{5k}{(5r+k)(5r+5+k)} = \frac{1}{3}\).
(b) Find the value of \(k\).
(c) Hence find \(\sum_{r=n}^{n^2} \frac{5k}{(5r+k)(5r+5+k)}\) in terms of \(n\).
(a) Show that the curve with Cartesian equation \((x^2 + y^2)^2 = 6xy\) has polar equation \(r^2 = 3 \sin 2\theta\).
The curve \(C\) has polar equation \(r^2 = 3 \sin 2\theta\), for \(0 \leq \theta \leq \frac{1}{2}\pi\).
(b) Sketch \(C\) and state the maximum distance of a point on \(C\) from the pole.
(c) Find the area of the region enclosed by \(C\).
(d) Find the maximum distance of a point on \(C\) from the initial line.
The curve C has equation \(y = \frac{4x^2 + x + 1}{2x^2 - 7x + 3}\).
The lines \(l_1\) and \(l_2\) have equations \(\mathbf{r} = \mathbf{i} + 3\mathbf{j} - 2\mathbf{k} + \lambda(2\mathbf{i} + \mathbf{j} + \mathbf{k})\) and \(\mathbf{r} = \mathbf{i} - 2\mathbf{j} + 9\mathbf{k} + \mu(\mathbf{i} - 4\mathbf{j} + 2\mathbf{k})\) respectively. The plane \(\Pi_1\) contains \(l_1\) and is parallel to \(l_2\).
(a) Find the equation of \(\Pi_1\), giving your answer in the form \(ax + by + cz = d\).
The plane \(\Pi_2\) contains \(l_2\) and the point with coordinates \((2, -1, 7)\).
(b) Find the acute angle between \(\Pi_1\) and \(\Pi_2\).
The point \(P\) on \(l_1\) and the point \(Q\) on \(l_2\) are such that \(PQ\) is perpendicular to both \(l_1\) and \(l_2\).
(c) Find a vector equation for \(PQ\).
The sequence \(u_1, u_2, u_3, \ldots\) is such that \(u_1 = 4\) and \(u_{n+1} = 3u_n - 2\) for \(n \geq 1\).
Prove by induction that \(u_n = 3^n + 1\) for all positive integers \(n\).
The line \(l_1\) has equation \(\mathbf{r} = \mathbf{i} + 3\mathbf{j} - \mathbf{k} + \lambda (\mathbf{i} - \mathbf{j} - 4\mathbf{k})\).
The plane \(\Pi\) contains \(l_1\) and is parallel to the vector \(2\mathbf{i} + 5\mathbf{j} - 4\mathbf{k}\).
(a) Find the equation of \(\Pi\), giving your answer in the form \(ax + by + cz = d\).
The line \(l_2\) is parallel to the vector \(5\mathbf{i} - 5\mathbf{j} - 2\mathbf{k}\).
(b) Find the acute angle between \(l_2\) and \(\Pi\).
It is given that
\(\alpha + \beta + \gamma + \delta = 2,\)
\(\alpha^2 + \beta^2 + \gamma^2 + \delta^2 = 3,\)
\(\alpha^3 + \beta^3 + \gamma^3 + \delta^3 = 4.\)
(a) Find the value of \(\alpha \beta + \alpha \gamma + \alpha \delta + \beta \gamma + \beta \delta + \gamma \delta.\)
(b) Find the value of \(\alpha^2 \beta + \alpha^2 \gamma + \alpha^2 \delta + \beta^2 \alpha + \beta^2 \gamma + \beta^2 \delta + \gamma^2 \alpha + \gamma^2 \beta + \gamma^2 \delta + \delta^2 \alpha + \delta^2 \beta + \delta^2 \gamma.\)
(c) It is given that \(\alpha, \beta, \gamma, \delta\) are the roots of the equation
\(6x^4 - 12x^3 + 3x^2 + 2x + 6 = 0.\)
(i) Find the value of \(\alpha^4 + \beta^4 + \gamma^4 + \delta^4.\)
(ii) Find the value of \(\alpha^5 + \beta^5 + \gamma^5 + \delta^5.\)
The matrices A, B and C are given by
\(A = \begin{pmatrix} 1 & 2 & 3 \\ 2 & 1 & 3 \\ 3 & 2 & 5 \end{pmatrix}, \ B = \begin{pmatrix} 0 & -2 \\ -1 & 3 \\ 0 & 0 \end{pmatrix} \text{ and } C = \begin{pmatrix} -2 & -1 \\ 1 & 1 \end{pmatrix}.\)
(a) Show that \(CAB = \begin{pmatrix} 3 & -7 \\ -9 & 3 \end{pmatrix}.\) [3]
(b) Find the equations of the invariant lines, through the origin, of the transformation in the \(x-y\) plane represented by \(CAB.\) [5]
Let \(M = \begin{pmatrix} 3 & 0 \\ 0 & 1 \end{pmatrix}.\)
(c) Give full details of the transformation represented by \(M.\) [2]
(d) Find the matrix \(N\) such that \(NM = CAB.\) [3]
It is given that \(S_n = \sum_{r=1}^{n} u_r\), where \(u_r = x^{f(r)} - x^{f(r+1)}\) and \(x > 0\).
(a) Find \(S_n\) in terms of \(n, x\) and the function \(f\).
(b) Given that \(f(r) = \ln r\), find the set of values of \(x\) for which the infinite series \(u_1 + u_2 + u_3 + \ldots\) is convergent and give the sum to infinity when this exists.
(c) Given instead that \(f(r) = 2 \log_x r\) where \(x \neq 1\), use standard results from the List of formulae (MF19) to find \(\sum_{n=1}^{N} S_n\) in terms of \(N\). Fully factorise your answer.
The curve C has equation \(y = \frac{x^2 + 3}{x^2 + 1}\).
The curve \(C_1\) has polar equation \(r = a(\cos \theta + \sin \theta)\) for \(-\frac{1}{4}\pi \leq \theta \leq \frac{3}{4}\pi\), where \(a\) is a positive constant.
The curve \(C_2\) with polar equation \(r = a\theta\) intersects \(C_1\) at the pole and the point with polar coordinates \((a\phi, \phi)\).
\(\frac{1}{2}a^2 \left( \frac{3}{4}\pi + \frac{1}{3}\phi^3 - \phi + \frac{1}{2}\cos 2\phi \right)\)
and deduce, in terms of \(a\) and \(\phi\), the area of the larger region enclosed by \(C_1\) and \(C_2\).
The matrix M represents the sequence of two transformations in the x-y plane given by a stretch parallel to the x-axis, scale factor k (k \neq 0), followed by a shear, x-axis fixed, with (0, 1) mapped to (k, 1).
(a) Show that M = \(\begin{pmatrix} k & k \\ 0 & 1 \end{pmatrix}\).
\((b) The transformation represented by M has a line of invariant points. Find, in terms of k, the equation of this line.\)
The unit square S in the x-y plane is transformed by M onto the parallelogram P.
(c) Find, in terms of k, a matrix which transforms P onto S.
(d) Given that the area of P is \(3k^2\) units\(^2\), find the possible values of k.
Prove by mathematical induction that, for all positive integers n,
\(\frac{d^n}{dx^n} \left( \arctan x \right) = P_n(x) (1 + x^2)^{-n},\)
where \(P_n(x)\) is a polynomial of degree \(n - 1\).
The quartic equation \(x^4 + 2x^3 - 1 = 0\) has roots \(\alpha, \beta, \gamma, \delta\).
(a) Find a quartic equation whose roots are \(\alpha^4, \beta^4, \gamma^4, \delta^4\) and state the value of \(\alpha^4 + \beta^4 + \gamma^4 + \delta^4\).
(b) Find the value of \(\alpha^5 + \beta^5 + \gamma^5 + \delta^5\).
(c) Find the value of \(\alpha^8 + \beta^8 + \gamma^8 + \delta^8\).
(a) Use the method of differences to find \(\sum_{r=1}^{n} \frac{5k}{(5r+k)(5r+5+k)}\) in terms of \(n\) and \(k\), where \(k\) is a positive constant.
It is given that \(\sum_{r=1}^{\infty} \frac{5k}{(5r+k)(5r+5+k)} = \frac{1}{3}\).
(b) Find the value of \(k\).
(c) Hence find \(\sum_{r=n}^{n^2} \frac{5k}{(5r+k)(5r+5+k)}\) in terms of \(n\).
(a) Show that the curve with Cartesian equation \((x^2 + y^2)^2 = 6xy\) has polar equation \(r^2 = 3 \sin 2\theta\).
The curve \(C\) has polar equation \(r^2 = 3 \sin 2\theta\), for \(0 \leq \theta \leq \frac{1}{2}\pi\).
(b) Sketch \(C\) and state the maximum distance of a point on \(C\) from the pole.
(c) Find the area of the region enclosed by \(C\).
(d) Find the maximum distance of a point on \(C\) from the initial line.
The curve C has equation \(y = \frac{4x^2 + x + 1}{2x^2 - 7x + 3}\).
The lines \(l_1\) and \(l_2\) have equations \(\mathbf{r} = \mathbf{i} + 3\mathbf{j} - 2\mathbf{k} + \lambda (2\mathbf{i} + \mathbf{j} + \mathbf{k})\) and \(\mathbf{r} = \mathbf{i} - 2\mathbf{j} + 9\mathbf{k} + \mu (\mathbf{i} - 4\mathbf{j} + 2\mathbf{k})\) respectively. The plane \(\Pi_1\) contains \(l_1\) and is parallel to \(l_2\).
(a) Find the equation of \(\Pi_1\), giving your answer in the form \(ax + by + cz = d\).
The plane \(\Pi_2\) contains \(l_2\) and the point with coordinates \((2, -1, 7)\).
(b) Find the acute angle between \(\Pi_1\) and \(\Pi_2\).
The point \(P\) on \(l_1\) and the point \(Q\) on \(l_2\) are such that \(PQ\) is perpendicular to both \(l_1\) and \(l_2\).
(c) Find a vector equation for \(PQ\).
The cubic equation \(2x^3 + x^2 - px - 5 = 0\), where \(p\) is a positive constant, has roots \(\alpha, \beta, \gamma\).
(a) State, in terms of \(p\), the value of \(\alpha\beta + \beta\gamma + \gamma\alpha\).
(b) Find the value of \(\alpha^2\beta\gamma + \alpha\beta^2\gamma + \alpha\beta\gamma^2\).
(c) Deduce a cubic equation whose roots are \(\alpha\beta, \beta\gamma, \alpha\gamma\).
(d) Given that \(\alpha^2 + \beta^2 + \gamma^2 = \frac{1}{3}\), find the value of \(p\).
Prove by mathematical induction that \(6^{4n} + 38^n - 2\) is divisible by 74 for all positive integers \(n\). [6]
(a) Use standard results from the list of formulae (MF19) to show that
\(\sum_{r=1}^{N} r(r+1)(3r+4) = \frac{1}{12}N(N+1)(N+2)(9N+19).\)
(b) Express \(\frac{3r+4}{r(r+1)}\) in partial fractions and hence use the method of differences to find
\(\sum_{r=1}^{N} \frac{3r+4}{r(r+1)} \left( \frac{1}{4} \right)^{r+1}\)
in terms of \(N\).
(c) Deduce the value of
\(\sum_{r=1}^{\infty} \frac{3r+4}{r(r+1)} \left( \frac{1}{4} \right)^{r+1}.\)
The matrix M is given by \(\mathbf{M} = \begin{pmatrix} \frac{1}{2} & -\frac{1}{2}\sqrt{3} & \begin{pmatrix} 14 & 0 \\ 0 & 1 \end{pmatrix} \\ \frac{1}{2}\sqrt{3} & \frac{1}{2} & \end{pmatrix}\).
The points A, B, C have position vectors
\(2\mathbf{i} + 2\mathbf{j} + 4\mathbf{k}, \quad 2\mathbf{i} + 4\mathbf{j} - \mathbf{k}, \quad -3\mathbf{i} - 3\mathbf{j} + 4\mathbf{k},\)
respectively, relative to the origin O.
(a) Find the equation of the plane ABC, giving your answer in the form \(ax + by + cz = d\).
The point D has position vector \(2\mathbf{i} + \mathbf{j} + 3\mathbf{k}\).
(b) Find the perpendicular distance from D to the plane ABC.
(c) Find the shortest distance between the lines AB and CD.
The curve C has equation \(y = \frac{x^2 + ax + 1}{x + 2}\), where \(a > \frac{5}{2}\).
The curve C has polar equation \(r^2 = (\pi - \theta) \arctan(\pi - \theta)\), for \(0 \leq \theta \leq \pi\).
(a) Sketch C and state the polar coordinates of the point of C furthest from the pole. [3]
(b) Using the substitution \(u = \pi - \theta\), or otherwise, find the area of the region enclosed by C and the initial line. [7]
(c) Show that, at the point of C furthest from the initial line,
\(2(\pi - \theta) \arctan(\pi - \theta) \cot \theta - \frac{\pi - \theta}{1 + (\pi - \theta)^2} - \arctan(\pi - \theta) = 0\)
and verify that this equation has a root for \(\theta\) between 1.2 and 1.3. [5]
The cubic equation \(2x^3 + x^2 - px - 5 = 0\), where \(p\) is a positive constant, has roots \(\alpha, \beta, \gamma\).
Prove by mathematical induction that \(6^{4n} + 38^n - 2\) is divisible by 74 for all positive integers \(n\).
(a) Use standard results from the list of formulae (MF19) to show that
\(\sum_{r=1}^{N} r(r+1)(3r+4) = \frac{1}{12}N(N+1)(N+2)(9N+19).\)
(b) Express \(\frac{3r+4}{r(r+1)}\) in partial fractions and hence use the method of differences to find
\(\sum_{r=1}^{N} \frac{3r+4}{r(r+1)} \left( \frac{1}{4} \right)^{r+1}\)
in terms of \(N\).
(c) Deduce the value of
\(\sum_{r=1}^{\infty} \frac{3r+4}{r(r+1)} \left( \frac{1}{4} \right)^{r+1}.\)
The matrix M is given by \(\mathbf{M} = \begin{pmatrix} \frac{1}{2} & -\frac{1}{2}\sqrt{3} \\ \frac{1}{2}\sqrt{3} & \frac{1}{2} \end{pmatrix} \begin{pmatrix} 14 & 0 \\ 0 & 1 \end{pmatrix}\).
(a) The matrix M represents a sequence of two geometrical transformations in the x-y plane. Give full details of each transformation, and make clear the order in which they are applied. [4]
(b) Write \(\mathbf{M}^{-1}\) as the product of two matrices, neither of which is I. [2]
\((c) Find the equations of the invariant lines, through the origin, of the transformation represented by M. [5]\)
(d) The triangle ABC in the x-y plane is transformed by M onto triangle DEF. Given that the area of triangle DEF is 28 cm2, find the area of triangle ABC. [2]
The points A, B, C have position vectors
\(2\mathbf{i} + 2\mathbf{j} + 4\mathbf{k}, \quad 2\mathbf{i} + 4\mathbf{j} - \mathbf{k}, \quad -3\mathbf{i} - 3\mathbf{j} + 4\mathbf{k},\)
respectively, relative to the origin O.
(a) Find the equation of the plane ABC, giving your answer in the form \(ax + by + cz = d\).
The point D has position vector \(2\mathbf{i} + \mathbf{j} + 3\mathbf{k}\).
(b) Find the perpendicular distance from D to the plane ABC.
(c) Find the shortest distance between the lines AB and CD.
The curve \(C\) has equation \(y = \frac{x^2 + ax + 1}{x + 2}\), where \(a > \frac{5}{2}\).
The curve C has polar equation \(r^2 = (\pi - \theta) \arctan(\pi - \theta)\), for \(0 \leq \theta \leq \pi\).
(a) Sketch C and state the polar coordinates of the point of C furthest from the pole. [3]
(b) Using the substitution \(u = \pi - \theta\), or otherwise, find the area of the region enclosed by C and the initial line. [7]
(c) Show that, at the point of C furthest from the initial line,
\(2(\pi - \theta) \arctan(\pi - \theta) \cot \theta - \frac{\pi - \theta}{1 + (\pi - \theta)^2} - \arctan(\pi - \theta) = 0\)
and verify that this equation has a root for \(\theta\) between 1.2 and 1.3. [5]
The matrix A is given by
\(A = \begin{pmatrix} k & 1 & 0 \\ 6 & 5 & 2 \\ -1 & 3 & -k \end{pmatrix}\),
where \(k\) is a real constant.
(a) Show that A is non-singular.
(b) Given that \(A^{-1} = \begin{pmatrix} 3 & 0 & -1 \\ 1 & 0 & 0 \\ -\frac{23}{2} & \frac{1}{2} & 3 \end{pmatrix}\), find the value of \(k\).
The cubic equation \(x^3 + 2x^2 + 3x + 1 = 0\) has roots \(\alpha, \beta, \gamma\).
(a) Find a cubic equation whose roots are \(\alpha^2 + 1, \beta^2 + 1, \gamma^2 + 1\).
(b) Find the value of \((\alpha^2 + 1)^2 + (\beta^2 + 1)^2 + (\gamma^2 + 1)^2\).
(c) Find the value of \((\alpha^2 + 1)^3 + (\beta^2 + 1)^3 + (\gamma^2 + 1)^3\).
The matrix \(\mathbf{M}\) is given by \(\mathbf{M} = \begin{pmatrix} 1 & 2 \\ 0 & 1 \end{pmatrix} \begin{pmatrix} 7 & 0 \\ 0 & 1 \end{pmatrix}\).
(a) The matrix \(\mathbf{M}\) represents a sequence of two geometrical transformations in the \(x-y\) plane. Give full details of each transformation, and make clear the order in which they are applied.
(b) Find the equations of the invariant lines, through the origin, of the transformation represented by \(\mathbf{M}\).
The triangle \(DEF\) in the \(x-y\) plane is transformed by \(\mathbf{M}\) onto triangle \(PQR\).
(c) Given that the area of triangle \(PQR\) is \(35 \text{ cm}^2\), find the area of triangle \(DEF\).
(a) Prove by mathematical induction that, for all positive integers \(n\),
\(\sum_{r=1}^{n} r^2 = \frac{1}{6}n(n+1)(2n+1).\)
The sum \(S_n\) is defined by \(S_n = \sum_{r=1}^{n} r^4\).
(b) Using the identity
\((2r+1)^5 - (2r-1)^5 \equiv 160r^4 + 80r^2 + 2,\)
show that \(S_n = \frac{1}{30}n(n+1)(2n+1)(3n^2 + 3n - 1).\)
(c) Find the value of \(\lim_{n \to \infty} \left( n^{-5}S_n \right).\)
The lines \(l_1\) and \(l_2\) have equations \(\mathbf{r} = \mathbf{i} + 4\mathbf{j} - \mathbf{k} + \lambda (\mathbf{j} - 2\mathbf{k})\) and \(\mathbf{r} = -3\mathbf{i} + 4\mathbf{j} + \mu (\mathbf{i} + 2\mathbf{j} + \mathbf{k})\) respectively.
(a) Find the shortest distance between \(l_1\) and \(l_2\).
The plane \(\Pi_1\) contains \(l_1\) and is parallel to \(l_2\).
(b) Obtain an equation of \(\Pi_1\) in the form \(px + qy + rz = s\).
(c) The point \((1, 1, 1)\) lies on the plane \(\Pi_2\).
It is given that the line of intersection of the planes \(\Pi_1\) and \(\Pi_2\) passes through the point \((0, 0, 2)\) and is parallel to the vector \(\mathbf{i} + 4\mathbf{j} - 3\mathbf{k}\).
Obtain an equation of \(\Pi_2\) in the form \(ax + by + cz = d\).
The curve \(C\) has equation \(y = \frac{x+1}{x^2+3}\).
The curve C has polar equation \(r^2 = \sin 2\theta \cos \theta\), for \(0 \leq \theta \leq \pi\).
(a) By considering \((r+1)^2 - r^2\), use the method of differences to prove that
\(\sum_{r=1}^{n} r = \frac{1}{2} n(n+1).\)
(b) Given that \(\sum_{r=1}^{n} (r+a) = n\), find \(a\) in terms of \(n\).
Prove by mathematical induction that, for all positive integers \(n\),
\(1 + 2x + 3x^2 + \ldots + nx^{n-1} = \frac{1 - (n+1)x^n + nx^{n+1}}{(1-x)^2}.\)
The quartic equation \(x^4 + bx^3 + cx^2 + dx - 2 = 0\) has roots \(\alpha, \beta, \gamma, \delta\). It is given that
\(\alpha + \beta + \gamma + \delta = 3,\)
\(\alpha^2 + \beta^2 + \gamma^2 + \delta^2 = 5,\)
\(\alpha^{-1} + \beta^{-1} + \gamma^{-1} + \delta^{-1} = 6.\)
(a) Find the values of \(b, c\) and \(d\).
(b) Given also that \(\alpha^3 + \beta^3 + \gamma^3 + \delta^3 = -27\), find the value of \(\alpha^4 + \beta^4 + \gamma^4 + \delta^4\).
The lines \(l_1\) and \(l_2\) have equations
\(\mathbf{r} = -2\mathbf{i} - 3\mathbf{j} - 5\mathbf{k} + \lambda(-4\mathbf{i} + 3\mathbf{j} + 5\mathbf{k})\)
and
\(\mathbf{r} = 2\mathbf{i} - 2\mathbf{j} + 3\mathbf{k} + \mu(2\mathbf{i} - 3\mathbf{j} + \mathbf{k})\)
respectively.
(a) Find the shortest distance between \(l_1\) and \(l_2\).
The plane \(\Pi\) contains \(l_1\) and the point with position vector \(-\mathbf{i} - 3\mathbf{j} - 4\mathbf{k}\).
(b) Find an equation of \(\Pi\), giving your answer in the form \(ax + by + cz = d\).
Let k be a constant. The matrices A, B and C are given by
\(\mathbf{A} = \begin{pmatrix} 1 & k & 3 \\ 2 & 1 & 3 \\ 3 & 2 & 5 \end{pmatrix}, \quad \mathbf{B} = \begin{pmatrix} 0 & -2 \\ -1 & 3 \\ 0 & 0 \end{pmatrix} \quad \text{and} \quad \mathbf{C} = \begin{pmatrix} -2 & -1 & 1 \\ 1 & 1 & 3 \end{pmatrix}.\)
It is given that A is singular.
(a) Show that \(\mathbf{CAB} = \begin{pmatrix} 3 & -7 \\ -9 & 3 \end{pmatrix}\).
(b) Find the equations of the invariant lines, through the origin, of the transformation in the x–y plane represented by CAB.
(c) The matrices D, E and F represent geometrical transformations in the x–y plane.
Given that \(\mathbf{CAB} = \mathbf{D} - 9\mathbf{EF}\), find D, E and F.
(a) Show that the curve with Cartesian equation \(\left( x - \frac{1}{2} \right)^2 + y^2 = \frac{1}{4}\) has polar equation \(r = \cos \theta\).
The curves \(C_1\) and \(C_2\) have polar equations \(r = \cos \theta\) and \(r = \sin 2\theta\) respectively, where \(0 \leq \theta \leq \frac{1}{2} \pi\). The curves \(C_1\) and \(C_2\) intersect at the pole and at another point \(P\).
(b) Find the polar coordinates of \(P\).
(c) In a single diagram sketch \(C_1\) and \(C_2\), clearly identifying each curve, and mark the point \(P\).
(d) The region \(R\) is enclosed by \(C_1\) and \(C_2\) and includes the line \(OP\). Find, in exact form, the area of \(R\).
The curve C has equation \(y = f(x)\), where \(f(x) = \frac{x^2 + 2}{x^2 - x - 2}\).
(a) Use standard results from the list of formulae (MF19) to find \(\sum_{r=1}^{n} (3r^2 + 3r + 1)\) in terms of \(n\), simplifying your answer.
(b) Show that \(\frac{1}{r^3} - \frac{1}{(r+1)^3} = \frac{3r^2 + 3r + 1}{r^3 (r+1)^3}\) and hence use the method of differences to find \(\sum_{r=1}^{n} \frac{3r^2 + 3r + 1}{r^3 (r+1)^3}\).
(c) Deduce the value of \(\sum_{r=1}^{\infty} \frac{3r^2 + 3r + 1}{r^3 (r+1)^3}\).
Prove by mathematical induction that, for all positive integers n,
\(\frac{d^n}{dx^n} \left( x^2 e^x \right) = \left( x^2 + 2nx + n(n-1) \right) e^x.\)
The matrix \(\mathbf{M}\) is given by \(\mathbf{M} = \begin{pmatrix} k & 0 \\ 0 & 1 \end{pmatrix} \begin{pmatrix} 1 & 0 \\ 1 & 1 \end{pmatrix}\), where \(k\) is a constant and \(k \neq 0\) and \(k \neq 1\).
(a) The matrix \(\mathbf{M}\) represents a sequence of two geometrical transformations. State the type of each transformation, and make clear the order in which they are applied. [2]
The unit square in the \(x-y\) plane is transformed by \(\mathbf{M}\) onto parallelogram \(OPQR\).
(b) Find, in terms of \(k\), the area of parallelogram \(OPQR\) and the matrix which transforms \(OPQR\) onto the unit square. [3]
(c) Show that the line through the origin with gradient \(\frac{1}{k-1}\) is invariant under the transformation in the \(x-y\) plane represented by \(\mathbf{M}\). [3]
The cubic equation \(27x^3 + 18x^2 + 6x - 1 = 0\) has roots \(\alpha, \beta, \gamma\).
(a) Show that a cubic equation with roots \(3\alpha + 1, 3\beta + 1, 3\gamma + 1\) is \(y^3 - y^2 + y - 2 = 0\).
The sum \((3\alpha + 1)^n + (3\beta + 1)^n + (3\gamma + 1)^n\) is denoted by \(S_n\).
(b) Find the values of \(S_2\) and \(S_3\).
(c) Find the values of \(S_{-1}\) and \(S_{-2}\).
The plane \(\Pi_1\) has equation \(\mathbf{r} = \mathbf{i} - \mathbf{j} - 2\mathbf{k} + \lambda (\mathbf{i} - 2\mathbf{j} - 3\mathbf{k}) + \mu (3\mathbf{i} - \mathbf{k})\).
(a) Find an equation for \(\Pi_1\) in the form \(ax + by + cz = d\).
The line \(l\), which does not lie in \(\Pi_1\), has equation \(\mathbf{r} = -3\mathbf{i} + \mathbf{k} + t(\mathbf{i} + \mathbf{j} + \mathbf{k})\).
(b) Show that \(l\) is parallel to \(\Pi_1\).
(c) Find the distance between \(l\) and \(\Pi_1\).
(d) The plane \(\Pi_2\) has equation \(3x + 3y + 2z = 1\).
Find a vector equation of the line of intersection of \(\Pi_1\) and \(\Pi_2\).
The curve C has polar equation \(r = e^{-\theta} - e^{-\frac{1}{2}\pi}\), where \(0 \leq \theta \leq \frac{1}{2}\pi\).
The curve C has equation \(y = f(x)\), where \(f(x) = \frac{x^2}{x+1}\).
(a) By considering \((r+1)^2 - r^2\), use the method of differences to prove that
\(\sum_{r=1}^{n} r = \frac{1}{2} n(n+1).\)
(b) Given that \(\sum_{r=1}^{n} (r+a) = n\), find \(a\) in terms of \(n\).
Prove by mathematical induction that, for all positive integers \(n\),
\(1 + 2x + 3x^2 + \ldots + nx^{n-1} = \frac{1 - (n+1)x^n + nx^{n+1}}{(1-x)^2}.\)
The quartic equation \(x^4 + bx^3 + cx^2 + dx - 2 = 0\) has roots \(\alpha, \beta, \gamma, \delta\). It is given that
\(\alpha + \beta + \gamma + \delta = 3\),
\(\alpha^2 + \beta^2 + \gamma^2 + \delta^2 = 5\),
\(\alpha^{-1} + \beta^{-1} + \gamma^{-1} + \delta^{-1} = 6\).
(a) Find the values of \(b, c\) and \(d\).
(b) Given also that \(\alpha^3 + \beta^3 + \gamma^3 + \delta^3 = -27\), find the value of \(\alpha^4 + \beta^4 + \gamma^4 + \delta^4\).
The lines \(l_1\) and \(l_2\) have equations
\(\mathbf{r} = -2\mathbf{i} - 3\mathbf{j} - 5\mathbf{k} + \lambda(-4\mathbf{i} + 3\mathbf{j} + 5\mathbf{k})\) and \(\mathbf{r} = 2\mathbf{i} - 2\mathbf{j} + 3\mathbf{k} + \mu(2\mathbf{i} - 3\mathbf{j} + \mathbf{k})\)
respectively.
(a) Find the shortest distance between \(l_1\) and \(l_2\).
The plane \(\Pi\) contains \(l_1\) and the point with position vector \(-\mathbf{i} - 3\mathbf{j} - 4\mathbf{k}\).
(b) Find an equation of \(\Pi\), giving your answer in the form \(ax + by + cz = d\).
Let k be a constant. The matrices A, B and C are given by
\(\mathbf{A} = \begin{pmatrix} 1 & k & 3 \\ 2 & 1 & 3 \\ 3 & 2 & 5 \end{pmatrix}, \quad \mathbf{B} = \begin{pmatrix} 0 & -2 \\ -1 & 3 \\ 0 & 0 \end{pmatrix} \text{ and } \mathbf{C} = \begin{pmatrix} -2 & -1 \\ 1 & 1 \\ 1 & 3 \end{pmatrix}.\)
It is given that A is singular.
(a) Show that \(\mathbf{CAB} = \begin{pmatrix} 3 & -7 \\ -9 & 3 \end{pmatrix}.\)
(b) Find the equations of the invariant lines, through the origin, of the transformation in the x–y plane represented by CAB.
(c) The matrices D, E and F represent geometrical transformations in the x–y plane.
Given that \(\mathbf{CAB} = \mathbf{D} - 9\mathbf{EF},\) find D, E and F.
(a) Show that the curve with Cartesian equation \(\left( x - \frac{1}{2} \right)^2 + y^2 = \frac{1}{4}\) has polar equation \(r = \cos \theta\).
The curves \(C_1\) and \(C_2\) have polar equations \(r = \cos \theta\) and \(r = \sin 2\theta\) respectively, where \(0 \leq \theta \leq \frac{1}{2} \pi\). The curves \(C_1\) and \(C_2\) intersect at the pole and at another point \(P\).
(b) Find the polar coordinates of \(P\).
(c) In a single diagram sketch \(C_1\) and \(C_2\), clearly identifying each curve, and mark the point \(P\).
(d) The region \(R\) is enclosed by \(C_1\) and \(C_2\) and includes the line \(OP\). Find, in exact form, the area of \(R\).
The curve C has equation \(y = f(x)\), where \(f(x) = \frac{x^2 + 2}{x^2 - x - 2}\).
Let \(\mathbf{A} = \begin{pmatrix} 3 & 0 \\ 1 & 1 \end{pmatrix}\).
(a) Prove by mathematical induction that, for all positive integers \(n\),
\(2\mathbf{A}^n = \begin{pmatrix} 2 \times 3^n & 0 \\ 3^n - 1 & 2 \end{pmatrix}.\)
(b) Find, in terms of \(n\), the inverse of \(\mathbf{A}^n\).
The cubic equation \(x^3 + 4x^2 + 6x + 1 = 0\) has roots \(\alpha, \beta, \gamma\).
(a) Find the value of \(\alpha^2 + \beta^2 + \gamma^2\).
(b) Use standard results from the list of formulae (MF19) to show that
\(\sum_{r=1}^{n} ((\alpha + r)^2 + (\beta + r)^2 + (\gamma + r)^2) = n(n^2 + an + b),\)
where \(a\) and \(b\) are constants to be determined.
3 (a) Use the method of differences to find \(\sum_{r=1}^{n} \frac{1}{(kr+1)(kr-k+1)}\) in terms of \(n\) and \(k\), where \(k\) is a positive constant.
(b) Deduce the value of \(\sum_{r=1}^{\infty} \frac{1}{(kr+1)(kr-k+1)}\).
(c) Find also \(\sum_{r=n}^{n^2} \frac{1}{(kr+1)(kr-k+1)}\) in terms of \(n\) and \(k\).
The matrix M is given by \(\mathbf{M} = \begin{pmatrix} a & b^2 \\ c^2 & a \end{pmatrix}\), where \(a, b, c\) are real constants and \(b \neq 0\).
It is given that M represents the sequence of two transformations in the x–y plane given by an enlargement, centre the origin, scale factor 5 followed by a shear, x-axis fixed, with (0, 1) mapped to (5, 1).
The curve \(C\) has polar equation \(r^2 = \frac{1}{\theta^2 + 1}\), for \(0 \leq \theta \leq \pi\).
The curve C has equation \(y = \frac{x^2 + 2x - 15}{x - 2}\).
The plane \(\Pi_1\) has equation \(\mathbf{r} = -4\mathbf{j} - 3\mathbf{k} + \lambda (\mathbf{i} - \mathbf{j} + \mathbf{k}) + \mu (\mathbf{i} + \mathbf{j} - \mathbf{k})\).
Let \(A = \begin{pmatrix} 3 & 0 \\ 1 & 1 \end{pmatrix}\).
(a) Prove by mathematical induction that, for all positive integers \(n\),
\(2A^n = \begin{pmatrix} 2 \times 3^n & 0 \\ 3^n - 1 & 2 \end{pmatrix}.\)
(b) Find, in terms of \(n\), the inverse of \(A^n\).
The cubic equation \(x^3 + 4x^2 + 6x + 1 = 0\) has roots \(\alpha, \beta, \gamma\).
(a) Find the value of \(\alpha^2 + \beta^2 + \gamma^2\).
(b) Use standard results from the list of formulae (MF19) to show that
\(\sum_{r=1}^{n} ((\alpha + r)^2 + (\beta + r)^2 + (\gamma + r)^2) = n(n^2 + an + b),\)
where \(a\) and \(b\) are constants to be determined.
3 (a) Use the method of differences to find \(\sum_{r=1}^{n} \frac{1}{(kr+1)(kr-k+1)}\) in terms of \(n\) and \(k\), where \(k\) is a positive constant.
(b) Deduce the value of \(\sum_{r=1}^{\infty} \frac{1}{(kr+1)(kr-k+1)}\).
(c) Find also \(\sum_{r=n}^{n^2} \frac{1}{(kr+1)(kr-k+1)}\) in terms of \(n\) and \(k\).
The matrix \(\mathbf{M}\) is given by \(\mathbf{M} = \begin{pmatrix} a & b^2 \\ c^2 & a \end{pmatrix}\), where \(a, b, c\) are real constants and \(b \neq 0\).
The curve C has polar equation \(r^2 = \frac{1}{\theta^2 + 1}\), for \(0 \leq \theta \leq \pi\).
The curve \(C\) has equation \(y = \frac{x^2 + 2x - 15}{x - 2}\).
The plane \(\Pi_1\) has equation \(\mathbf{r} = -4\mathbf{j} - 3\mathbf{k} + \lambda (\mathbf{i} - \mathbf{j} + \mathbf{k}) + \mu (\mathbf{i} + \mathbf{j} - \mathbf{k})\).
(a) Obtain an equation of \(\Pi_1\) in the form \(px + qy + rz = d\).
(b) The plane \(\Pi_2\) has equation \(\mathbf{r} \cdot (-5\mathbf{i} + 3\mathbf{j} + 5\mathbf{k}) = 4\).
Find a vector equation of the line of intersection of \(\Pi_1\) and \(\Pi_2\).
The line \(l\) passes through the point \(A\) with position vector \(a\mathbf{i} + a\mathbf{j} + (a-7)\mathbf{k}\) and is parallel to \((1-b)\mathbf{i} + b\mathbf{j} + b\mathbf{k}\), where \(a\) and \(b\) are positive constants.
(c) Given that the perpendicular distance from \(A\) to \(\Pi_1\) is \(\sqrt{2}\), find the value of \(a\).
(d) Given that the obtuse angle between \(l\) and \(\Pi_1\) is \(\frac{3}{4}\pi\), find the exact value of \(b\).
Prove by mathematical induction that, for all positive integers n, \(5^{3n} + 32^n - 33\) is divisible by 31.
2 (a) Use standard results from the list of formulae (MF19) to show that
\(\sum_{r=1}^{n} (6r^2 + 6r - 5) = an^3 + bn^2 + cn\),
where \(a, b\) and \(c\) are integers to be determined.
(b) Use the method of differences to find \(\sum_{r=1}^{n} \frac{6r^2 + 6r - 5}{r^2 + r}\) in terms of \(n\).
(c) Find also \(\sum_{r=n+1}^{2n} \frac{6r^2 + 6r - 5}{r^2 + r}\) in terms of \(n\).
The equation \(x^4 - x^2 + 2x + 5 = 0\) has roots \(\alpha, \beta, \gamma, \delta\).
(a) Find a quartic equation whose roots are \(\alpha^2, \beta^2, \gamma^2, \delta^2\) and state the value of \(\alpha^2 + \beta^2 + \gamma^2 + \delta^2\).
(b) Find the value of \(\frac{1}{\alpha^2} + \frac{1}{\beta^2} + \frac{1}{\gamma^2} + \frac{1}{\delta^2}\).
(c) Find the value of \(\alpha^4 + \beta^4 + \gamma^4 + \delta^4\).
The matrix M is given by M = \(\begin{pmatrix} \cos 2\theta & -\sin 2\theta \\ \sin 2\theta & \cos 2\theta \end{pmatrix} \begin{pmatrix} 1 & k \\ 0 & 1 \end{pmatrix}\), where \(0 < \theta < \pi\) and \(k\) is a non-zero constant. The matrix M represents a sequence of two geometrical transformations, one of which is a shear.
(a) Show that the curve with Cartesian equation \(x^2 - y^2 = a\), where \(a\) is a positive constant, has polar equation \(r^2 = a \sec 2\theta\).
The curve \(C\) has polar equation \(r^2 = a \sec 2\theta\), where \(a\) is a positive constant, for \(0 \leq \theta < \frac{1}{4}\pi\).
(b) Sketch \(C\) and state the minimum distance of \(C\) from the pole.
The points A, B, C have position vectors \(\mathbf{i} + \mathbf{j}, \ -\mathbf{i} + 2\mathbf{j} + 4\mathbf{k}, \ -2\mathbf{i} + \mathbf{j} + 3\mathbf{k}\), respectively, relative to the origin O.
(a) Find the equation of the plane ABC, giving your answer in the form \(ax + by + cz = d\).
(b) Find the perpendicular distance from O to the plane ABC.
(c) Find a vector equation of the common perpendicular to the lines OC and AB.
The curve C has equation \(y = \frac{x^2 + 2x + 1}{x - 3}\).
Let \(a\) be a positive constant.
(a) Use the method of differences to find \(\sum_{r=1}^{n} \frac{1}{(ar+1)(ar+a+1)}\) in terms of \(n\) and \(a\).
(b) Find the value of \(a\) for which \(\sum_{r=1}^{\infty} \frac{1}{(ar+1)(ar+a+1)} = \frac{1}{6}\).
The points A, B, C have position vectors
\(4\mathbf{i} - 4\mathbf{j} + \mathbf{k}\),\( \quad -4\mathbf{i} + 3\mathbf{j} - 4\mathbf{k}\), \(\quad 4\mathbf{i} - \mathbf{j} - 2\mathbf{k}\),
respectively, relative to the origin O.
(a) Find the equation of the plane ABC, giving your answer in the form \(ax + by + cz = d\).
(b) Find the perpendicular distance from O to the plane ABC.
(c) The point D has position vector \(2\mathbf{i} + 3\mathbf{j} - 3\mathbf{k}\).
Find the coordinates of the point of intersection of the line OD with the plane ABC.
The sequence of positive numbers \(u_1, u_2, u_3, \ldots\) is such that \(u_1 > 4\) and, for \(n \geq 1\),
\(u_{n+1} = \frac{u_n^2 + u_n + 12}{2u_n}.\)
(a) By considering \(u_{n+1} - 4\), or otherwise, prove by mathematical induction that \(u_n > 4\) for all positive integers \(n\). [5]
(b) Show that \(u_{n+1} < u_n\) for \(n \geq 1\). [3]
The cubic equation \(2x^3 + 5x^2 - 6 = 0\) has roots \(\alpha, \beta, \gamma\).
(a) Find a cubic equation whose roots are \(\frac{1}{\alpha^3}, \frac{1}{\beta^3}, \frac{1}{\gamma^3}\).
(b) Find the value of \(\frac{1}{\alpha^6} + \frac{1}{\beta^6} + \frac{1}{\gamma^6}\).
(c) Find also the value of \(\frac{1}{\alpha^9} + \frac{1}{\beta^9} + \frac{1}{\gamma^9}\).
The curve C has equation \(y = \frac{2x^2 - x - 1}{x^2 + x + 1}\).
The curve C has polar equation \(r^2 = \arctan\left(\frac{1}{2}\theta\right)\), where \(0 \leq \theta \leq 2\).
(a) Sketch C and state, in exact form, the greatest distance of a point on C from the pole.
(b) Find the exact value of the area of the region bounded by C and the half-line \(\theta = 2\).
Now consider the part of C where \(0 \leq \theta \leq \frac{1}{2}\pi\).
(c) Show that, at the point furthest from the half-line \(\theta = \frac{1}{2}\pi\),
\((\theta^2 + 4)\arctan\left(\frac{1}{2}\theta\right)\sin\theta - \cos\theta = 0\)
and verify that this equation has a root between 0.6 and 0.7.
The matrix \(A\) is given by \(A = \begin{pmatrix} 1 & 2 & 3 \\ 4 & k & 6 \\ 7 & 8 & 9 \end{pmatrix}\).
(a) Sketch the curve with equation \(y = \frac{x+1}{x-1}\).
(b) Sketch the curve with equation \(y = \frac{|x|+1}{|x|-1}\) and find the set of values of \(x\) for which \(\frac{|x|+1}{|x|-1} < -2\).
The cubic equation \(x^3 + 5x^2 + 10x - 2 = 0\) has roots \(\alpha, \beta, \gamma\).
(a) Find the value of \(\alpha^2 + \beta^2 + \gamma^2\).
(b) Show that the matrix \(\begin{pmatrix} 1 & \alpha & \beta \\ \alpha & 1 & \gamma \\ \beta & \gamma & 1 \end{pmatrix}\) is singular.
A curve \(C\) has equation \(y = \frac{ax^2 + x - 1}{x - 1}\), where \(a\) is a positive constant.
Let \(u_r = e^{rx}(e^{2x} - 2e^x + 1)\).
(a) Using the method of differences, or otherwise, find \(\sum_{r=1}^{n} u_r\) in terms of \(n\) and \(x\).
(b) Deduce the set of non-zero values of \(x\) for which the infinite series \(u_1 + u_2 + u_3 + \ldots\) is convergent and give the sum to infinity when this exists.
(c) Using a standard result from the list of formulae (MF19), find \(\sum_{r=1}^{n} \ln u_r\) in terms of \(n\) and \(x\).
Let \(\mathbf{A} = \begin{pmatrix} 1 & a \\ 0 & 1 \end{pmatrix}\), where \(a\) is a positive constant.
(a) State the type of the geometrical transformation in the \(x-y\) plane represented by \(\mathbf{A}\). [1]
(b) Prove by mathematical induction that, for all positive integers \(n\),
\(\mathbf{A}^n = \begin{pmatrix} 1 & na \\ 0 & 1 \end{pmatrix}.\) [5]
Let \(\mathbf{B} = \begin{pmatrix} b & b \\ a^{-1} & a^{-1} \end{pmatrix}\), where \(b\) is a positive constant.
(c) Find the equations of the invariant lines, through the origin, of the transformation in the \(x-y\) plane represented by \(\mathbf{A}^n \mathbf{B}\). [6]
The curve C has Cartesian equation \(x^2 + xy + y^2 = a\), where \(a\) is a positive constant.
(a) Show that the polar equation of C is \(r^2 = \frac{2a}{2 + \sin 2\theta}\).
(b) Sketch the part of C for \(0 \leq \theta \leq \frac{1}{4}\pi\).
The region R is enclosed by this part of C, the initial line and the half-line \(\theta = \frac{1}{4}\pi\).
(c) It is given that \(\sin 2\theta\) may be expressed as \(\frac{2 \tan \theta}{1 + \tan^2 \theta}\). Use this result to show that the area of R is
\(\frac{1}{2} a \int_{0}^{\frac{1}{4}\pi} \frac{1 + \tan^2 \theta}{1 + \tan \theta + \tan^2 \theta} \, d\theta\)
and use the substitution \(t = \tan \theta\) to find the exact value of this area.
The position vectors of the points A, B, C, D are
\(7\mathbf{i} + 4\mathbf{j} - \mathbf{k}, \quad 11\mathbf{i} + 3\mathbf{j}, \quad 2\mathbf{i} + 6\mathbf{j} + 3\mathbf{k}, \quad 2\mathbf{i} + 7\mathbf{j} + \lambda \mathbf{k}\)
respectively.
(a) Given that the shortest distance between the line AB and the line CD is 3, show that \(\lambda^2 - 5\lambda + 4 = 0\).
Let \(\Pi_1\) be the plane ABD when \(\lambda = 1\).
Let \(\Pi_2\) be the plane ABD when \(\lambda = 4\).
(b) (i) Write down an equation of \(\Pi_1\), giving your answer in the form \(\mathbf{r} = \mathbf{a} + s\mathbf{b} + t\mathbf{c}\).
(ii) Find an equation of \(\Pi_2\), giving your answer in the form \(ax + by + cz = d\).
(c) Find the acute angle between \(\Pi_1\) and \(\Pi_2\).
The cubic equation \(x^3 + bx^2 + d = 0\) has roots \(\alpha, \beta, \gamma\), where \(\alpha = \beta\) and \(d \neq 0\).
(a) Show that \(4b^3 + 27d = 0\).
(b) Given that \(2\alpha^2 + \gamma^2 = 3b\), find the values of \(b\) and \(d\).
Prove by mathematical induction that, for all positive integers n, \(7^{2n} + 97^n - 50\) is divisible by 48. [6]
(a) By considering \((2r+1)^3 - (2r-1)^3\), use the method of differences to prove that \(\sum_{r=1}^{n} r^2 = \frac{1}{6}n(n+1)(2n+1)\).
Let \(S_n = 1^2 + 3 \times 2^2 + 3^2 + 3 \times 4^2 + 5^2 + 3 \times 6^2 + \ldots + \left(2 + (-1)^n\right)n^2\).
(b) Show that \(S_{2n} = \frac{1}{3}n(2n+1)(an+b)\), where \(a\) and \(b\) are integers to be determined.
(c) State the value of \(\lim_{n \to \infty} \frac{S_{2n}}{n^3}\).
The plane \(\Pi\) contains the lines \(\mathbf{r} = 3\mathbf{i} - 2\mathbf{j} + \mathbf{k} + \lambda(-\mathbf{i} + 2\mathbf{j} + \mathbf{k})\) and \(\mathbf{r} = 4\mathbf{i} + 4\mathbf{j} + 2\mathbf{k} + \mu(3\mathbf{i} + 2\mathbf{j} - \mathbf{k})\).
(a) Find a Cartesian equation of \(\Pi\), giving your answer in the form \(ax + by + cz = d\). [4]
The line \(l\) passes through the point \(P\) with position vector \(2\mathbf{i} + 3\mathbf{j} + \mathbf{k}\) and is parallel to the vector \(\mathbf{j} + \mathbf{k}\).
(b) Find the acute angle between \(l\) and \(\Pi\). [3]
(c) Find the position vector of the foot of the perpendicular from \(P\) to \(\Pi\). [4]
The matrix M is given by \(M = \begin{pmatrix} \frac{1}{2}\sqrt{2} & -\frac{1}{2}\sqrt{2} \\ \frac{1}{2} & \frac{1}{2}\sqrt{2} \end{pmatrix} \begin{pmatrix} 1 & k \\ 0 & 1 \end{pmatrix}\), where \(k\) is a constant.
(a) The matrix M represents a sequence of two geometrical transformations. State the type of each transformation, and make clear the order in which they are applied.
(b) The triangle ABC in the \(x-y\) plane is transformed by M onto triangle DEF. Find, in terms of \(k\), the single matrix which transforms triangle DEF onto triangle ABC.
(c) Find the set of values of \(k\) for which the transformation represented by M has no invariant lines through the origin.
(a) Show that the curve with Cartesian equation \((x^2 + y^2)^2 = 36(x^2 - y^2)\) has polar equation \(r^2 = 36 \cos 2\theta\).
The curve \(C\) has polar equation \(r^2 = 36 \cos 2\theta\), for \(-\frac{1}{4}\pi \leq \theta \leq \frac{1}{4}\pi\).
(b) Sketch \(C\) and state the maximum distance of a point on \(C\) from the pole.
(c) Find the area of the region enclosed by \(C\).
(d) Find the maximum distance of a point on \(C\) from the initial line, giving the answer in exact form.
The curve \(C\) has equation \(y = \frac{5x^2}{5x-2}\).
(a) Use the list of formulae (MF19) to find \(\sum_{r=1}^{n} r(r+2)\) in terms of \(n\), simplifying your answer.
(b) Express \(\frac{1}{r(r+2)}\) in partial fractions and hence find \(\sum_{r=1}^{n} \frac{1}{r(r+2)}\) in terms of \(n\).
(c) Deduce the value of \(\sum_{r=1}^{\infty} \frac{1}{r(r+2)}\).
The equation \(x^4 + 3x^2 + 2x + 6 = 0\) has roots \(\alpha, \beta, \gamma, \delta\).
(a) Find a quartic equation whose roots are \(\frac{1}{\alpha^2}, \frac{1}{\beta^2}, \frac{1}{\gamma^2}, \frac{1}{\delta^2}\) and state the value of \(\frac{1}{\alpha^2} + \frac{1}{\beta^2} + \frac{1}{\gamma^2} + \frac{1}{\delta^2}\).
(b) Find the value of \(\beta^2 \gamma^2 \delta^2 + \alpha^2 \gamma^2 \delta^2 + \alpha^2 \beta^2 \delta^2 + \alpha^2 \beta^2 \gamma^2\).
(c) Find the value of \(\frac{1}{\alpha^4} + \frac{1}{\beta^4} + \frac{1}{\gamma^4} + \frac{1}{\delta^4}\).
The matrix M is given by M = \(\begin{pmatrix} 1 & 0 \\ 0 & k \end{pmatrix} \begin{pmatrix} 1 & 0 \\ k & 1 \end{pmatrix}\), where \(k\) is a constant and \(k \neq 0\) or 1.
(a) The matrix M represents a sequence of two geometrical transformations. State the type of each transformation, and make clear the order in which they are applied. [2]
(b) Write M-1 as the product of two matrices, neither of which is I. [2]
(c) Show that the invariant points of the transformation represented by M lie on the line \(y = \frac{k^2}{1-k}x\). [4]
(d) The triangle ABC in the x-y plane is transformed by M onto triangle DEF. Find the value of \(k\) for which the area of triangle DEF is equal to the area of triangle ABC. [2]
The function \(f\) is such that \(f''(x)= f(x)\)
Prove by mathematical induction that, for every positive integer n,
\(\frac{d^{2n-1}}{dx^{2n-1}}(xf(x)) = xf'(x) + (2n-1)f(x).\)
The curve C has polar equation \(r = a \sec^2 \theta\), where \(a\) is a positive constant and \(0 \leq \theta \leq \frac{1}{4} \pi\).
The lines \(l_1\) and \(l_2\) have equations \(\mathbf{r} = 2\mathbf{i} + \mathbf{k} + \lambda(\mathbf{i} - \mathbf{j} + 2\mathbf{k})\) and \(\mathbf{r} = 2\mathbf{j} + 6\mathbf{k} + \mu(\mathbf{i} + 2\mathbf{j} - 2\mathbf{k})\) respectively.
The point \(P\) on \(l_1\) and the point \(Q\) on \(l_2\) are such that \(PQ\) is perpendicular to both \(l_1\) and \(l_2\).
(a) Find the length \(PQ\). [5]
The plane \(\Pi_1\) contains \(PQ\) and \(l_1\).
The plane \(\Pi_2\) contains \(PQ\) and \(l_2\).
(b) (i) Write down an equation of \(\Pi_1\), giving your answer in the form \(\mathbf{r} = \mathbf{a} + s\mathbf{b} + t\mathbf{c}\). [1]
(ii) Find an equation of \(\Pi_2\), giving your answer in the form \(ax + by + cz = d\). [4]
(c) Find the acute angle between \(\Pi_1\) and \(\Pi_2\). [5]
The curve C has equation \(y = \frac{x^2 - x}{x + 1}\).
Prove by mathematical induction that \(2^{4n} + 3^{1n} - 2\) is divisible by 15 for all positive integers \(n\).
(a) Use standard results from the List of formulae (MF19) to find \(\sum_{r=1}^{n} (1 - r - r^2)\) in terms of \(n\), simplifying your answer.
(b) Show that \(\frac{1 - r - r^2}{(r^2 + 2r + 2)(r^2 + 1)} = \frac{r + 1}{(r+1)^2 + 1} - \frac{r}{r^2 + 1}\) and hence use the method of differences to find \(\sum_{r=1}^{n} \frac{1 - r - r^2}{(r^2 + 2r + 2)(r^2 + 1)}\).
The equation \(x^4 - 2x^3 - 1 = 0\) has roots \(\alpha, \beta, \gamma, \delta\).
(a) Find a quartic equation whose roots are \(\alpha^3, \beta^3, \gamma^3, \delta^3\) and state the value of \(\alpha^3 + \beta^3 + \gamma^3 + \delta^3\).
(b) Find the value of \(\frac{1}{\alpha^3} + \frac{1}{\beta^3} + \frac{1}{\gamma^3} + \frac{1}{\delta^3}\).
(c) Find the value of \(\alpha^4 + \beta^4 + \gamma^4 + \delta^4\).
The matrix \(\mathbf{M}\) represents the sequence of two transformations in the \(x\)-\(y\) plane given by a rotation of \(60^\circ\) anticlockwise about the origin followed by a one-way stretch in the \(x\)-direction with scale factor \(d\) \((d \neq 0)\).
The curve C has polar equation \(r = a \cot\left(\frac{1}{3}\pi - \theta\right)\), where \(a\) is a positive constant and \(0 \leq \theta \leq \frac{1}{6}\pi\).
It is given that the greatest distance of a point on C from the pole is \(2\sqrt{3}\).
Let \(t\) be a positive constant.
The line \(l_1\) passes through the point with position vector \(t\mathbf{i} + \mathbf{j}\) and is parallel to the vector \(-2\mathbf{i} - \mathbf{j}\).
The line \(l_2\) passes through the point with position vector \(\mathbf{j} + t\mathbf{k}\) and is parallel to the vector \(-2\mathbf{j} + \mathbf{k}\).
It is given that the shortest distance between the lines \(l_1\) and \(l_2\) is \(\sqrt{21}\).
(a) Find the value of \(t\). [5]
The plane \(\Pi_1\) contains \(l_1\) and is parallel to \(l_2\).
(b) Write down an equation of \(\Pi_1\), giving your answer in the form \(\mathbf{r} = \mathbf{a} + \lambda \mathbf{b} + \mu \mathbf{c}\).
The plane \(\Pi_2\) has Cartesian equation \(5x - 6y + 7z = 0\).
(c) Find the acute angle between \(l_2\) and \(\Pi_2\). [3]
(d) Find the acute angle between \(\Pi_1\) and \(\Pi_2\). [3]
The curve C has equation \(y = \frac{x^2 + x + 9}{x + 1}\).
(a) Find the equations of the asymptotes of C.
(b) Find the coordinates of the stationary points on C.
(a) Show that \(\tan(r+1) - \tan r = \frac{\sin 1}{\cos(r+1)\cos r}\).
Let \(u_r = \frac{1}{\cos(r+1)\cos r}\).
(b) Use the method of differences to find \(\sum_{r=1}^{n} u_r\).
(c) Explain why the infinite series \(u_1 + u_2 + u_3 + \ldots\) does not converge.
The cubic equation \(2x^3 - 4x^2 + 3 = 0\) has roots \(\alpha, \beta, \gamma\). Let \(S_n = \alpha^n + \beta^n + \gamma^n\).
(a) Prove by mathematical induction that, for all positive integers \(n\),
\(\sum_{r=1}^{n} (5r^4 + r^2) = \frac{1}{2} n^2 (n+1)^2 (2n+1).\)
(b) Use the result given in part (a) together with the List of formulae (MF19) to find \(\sum_{r=1}^{n} r^4\) in terms of \(n\), fully factorising your answer.
The matrices A, B and C are given by
\(A = \begin{pmatrix} 2 & k & k \\ 5 & -1 & 3 \\ 1 & 0 & 1 \end{pmatrix}, \quad B = \begin{pmatrix} 1 & 0 \\ 0 & 1 \\ 1 & 0 \end{pmatrix} \quad \text{and} \quad C = \begin{pmatrix} 0 & 1 & 1 \\ -1 & 2 & 0 \end{pmatrix},\)
where \(k\) is a real constant.
The curve C has polar equation \(r = \frac{1}{\pi - \theta} - \frac{1}{\pi}\), where \(0 \leq \theta \leq \frac{1}{2}\pi\).
(a) Sketch C.
(b) Show that the area of the region bounded by the half-line \(\theta = \frac{1}{2}\pi\) and C is \(\frac{3 - 4 \ln 2}{4\pi}\).
The lines \(l_1\) and \(l_2\) have equations \(\mathbf{r} = -\mathbf{i} - 2\mathbf{j} + \mathbf{k} + s(2\mathbf{i} - 3\mathbf{j})\) and \(\mathbf{r} = 3\mathbf{i} - 2\mathbf{k} + t(3\mathbf{i} - \mathbf{j} + 3\mathbf{k})\) respectively.
The plane \(\Pi_1\) contains \(l_1\) and the point \(P\) with position vector \(-2\mathbf{i} - 2\mathbf{j} + 4\mathbf{k}\).
The curve \(C\) has equation \(y = \frac{x^2 - x - 3}{1 + x - x^2}\).
It is given that
\(\alpha + \beta + \gamma = 3, \quad \alpha^2 + \beta^2 + \gamma^2 = 5, \quad \alpha^3 + \beta^3 + \gamma^3 = 6.\)
The cubic equation \(x^3 + bx^2 + cx + d = 0\) has roots \(\alpha, \beta, \gamma\).
Find the values of \(b, c\) and \(d\).
(a) Use standard results from the list of formulae (MF19) to find \(\sum_{r=1}^{n} r(r+1)(r+2)\) in terms of \(n\), fully factorising your answer.
(b) Express \(\frac{1}{r(r+1)(r+2)}\) in partial fractions and hence use the method of differences to find \(\sum_{r=1}^{n} \frac{1}{r(r+1)(r+2)}\).
(c) Deduce the value of \(\sum_{r=1}^{\infty} \frac{1}{r(r+1)(r+2)}\).
The sequence of real numbers \(a_1, a_2, a_3, \ldots\) is such that \(a_1 = 1\) and
\(a_{n+1} = \left( a_n + \frac{1}{a_n} \right)^3.\)
(a) Prove by mathematical induction that \(\ln a_n \geq 3^{n-1} \ln 2\) for all integers \(n \geq 2\).
[You may use the fact that \(\ln \left( x + \frac{1}{x} \right) > \ln x\) for \(x > 0\).]
(b) Show that \(\ln a_{n+1} - \ln a_n > 3^{n-1} \ln 4\) for \(n \geq 2\).
The matrix M is given by \(\mathbf{M} = \begin{pmatrix} \cos \theta & -\sin \theta \\ \sin \theta & \cos \theta \end{pmatrix} \begin{pmatrix} 3 & 0 \\ 0 & 1 \end{pmatrix}\).
(a) The matrix M represents a sequence of two geometrical transformations. State the type of each transformation, and make clear the order in which they are applied. [2]
(b) Find the values of \(\theta\), for \(0 \leq \theta \leq \pi\), for which the transformation represented by M has exactly one invariant line through the origin, giving your answers in terms of \(\pi\). [9]
The plane \(\Pi\) has equation \(\mathbf{r} = -2\mathbf{i} + 3\mathbf{j} + 3\mathbf{k} + \lambda (\mathbf{i} + \mathbf{k}) + \mu (2\mathbf{i} + 3\mathbf{j})\).
The curve C has polar equation \(r = 2 \cos \theta (1 + \sin \theta)\), for \(0 \leq \theta \leq \frac{1}{2} \pi\).
The curve \(C\) has equation \(y = \frac{4x+5}{4-4x^2}\).
(a) Give full details of the geometrical transformation in the x-y plane represented by the matrix \(\begin{pmatrix} 6 & 0 \\ 0 & 6 \end{pmatrix}\).
Let \(\mathbf{A} = \begin{pmatrix} 3 & 4 \\ 2 & 2 \end{pmatrix}\).
(b) The triangle DEF in the x-y plane is transformed by \(\mathbf{A}\) onto triangle PQR. Given that the area of triangle DEF is 13 cm2, find the area of triangle PQR.
(c) Find the matrix \(\mathbf{B}\) such that \(\mathbf{AB} = \begin{pmatrix} 6 & 0 \\ 0 & 6 \end{pmatrix}\).
(d) Show that the origin is the only invariant point of the transformation in the x-y plane represented by \(\mathbf{A}\).
It is given that \(y = xe^{ax}\), where \(a\) is a constant.
Prove by mathematical induction that, for all positive integers \(n\),
\(\frac{d^n y}{dx^n} = \left( a^n x + na^{n-1} \right) e^{ax}.\)
Let \(S_n = \sum_{r=1}^{n} \ln \frac{r(r+2)}{(r+1)^2}\).
(a) Using the method of differences, or otherwise, show that \(S_n = \ln \frac{n+2}{2(n+1)}\).
Let \(S = \sum_{r=1}^{\infty} \ln \frac{r(r+2)}{(r+1)^2}\).
(b) Find the least value of \(n\) such that \(S_n - S < 0.01\).
The cubic equation \(x^3 + 2x^2 + 3x + 3 = 0\) has roots \(\alpha, \beta, \gamma\).
(a) Find the value of \(\alpha^2 + \beta^2 + \gamma^2\).
(b) Show that \(\alpha^3 + \beta^3 + \gamma^3 = 1\).
(c) Use standard results from the list of formulae (MF19) to show that
\(\sum_{r=1}^{n} ((\alpha + r)^3 + (\beta + r)^3 + (\gamma + r)^3) = n + \frac{1}{4}n(n+1)(an^2 + bn + c),\)
where \(a, b, c\) are constants to be determined.
The curve C has polar equation \(r = 3 + 2 \sin \theta\), for \(-\pi < \theta \leq \pi\).
(a) The diagram shows part of C. Sketch the rest of C on the diagram.
The straight line l has polar equation \(r \sin \theta = 2\).
(b) Add l to the diagram in part (a) and find the polar coordinates of the points of intersection of C and l.
(c) The region R is enclosed by C and l, and contains the pole. Find the area of R, giving your answer in exact form.

The curve C has equation \(y = \frac{x^2}{x-3}\).
The points A, B, C have position vectors
\(2\mathbf{i} + 2\mathbf{j}, \quad -\mathbf{j} + \mathbf{k} \quad \text{and} \quad 2\mathbf{i} + \mathbf{j} - 7\mathbf{k}\)
respectively, relative to the origin O.
(a) Find an equation of the plane OAB, giving your answer in the form \(\mathbf{r} \cdot \mathbf{n} = p\).
The plane \(\Pi\) has equation \(x - 3y - 2z = 1\).
(b) Find the perpendicular distance of \(\Pi\) from the origin.
(c) Find the acute angle between the planes OAB and \(\Pi\).
(d) Find an equation for the common perpendicular to the lines OC and AB.
The function \(f\) is defined by \(f(x) = (4x + 2)^{-2}\) for \(x > -\frac{1}{2}\).
Find \(\int_{1}^{\infty} f(x) \, dx\).
Find \(\int \left( 4x + \frac{6}{x^2} \right) \, dx\).
Find \(\int_{1}^{\infty} \frac{1}{(3x - 2)^{\frac{3}{2}}} \, dx\).
A curve has equation \(y = \frac{1}{k} x^{\frac{1}{2}} + x^{-\frac{1}{2}} + \frac{1}{k^2}\) where \(x > 0\) and \(k\) is a positive constant.
It is given instead that \(\int_{\frac{1}{4}k^2}^{k^2} \left( \frac{1}{k} x^{\frac{1}{2}} + x^{-\frac{1}{2}} + \frac{1}{k^2} \right) \, dx = \frac{13}{12}\).
Find the value of \(k\).
Showing all necessary working, find \(\int_{1}^{4} \left( \sqrt{x} + \frac{2}{\sqrt{x}} \right) \, dx\).
Find \(\int \frac{2}{\sqrt{5x - 6}} \, dx\) and hence evaluate \(\int_{2}^{3} \frac{2}{\sqrt{5x - 6}} \, dx\).
Find \(\int (3x - 2)^5 \, dx\) and hence find the value of \(\int_0^1 (3x - 2)^5 \, dx\).
Find \(\int \left( x^3 + \frac{1}{x^3} \right) \, dx\).
Find \(\int \left( x + \frac{1}{x} \right)^2 \, dx\).
Evaluate \(\int_{0}^{1} \sqrt{3x + 1} \, dx\).
A curve is such that its gradient at a point \((x, y)\) is given by \(\frac{dy}{dx} = x - 3x^{-\frac{1}{2}}\). It is given that the curve passes through the point \((4, 1)\).
Find the equation of the curve.
The equation of a curve is such that \(\frac{dy}{dx} = 12\left(\frac{1}{2}x - 1\right)^{-4}\). It is given that the curve passes through the point \(P(6, 4)\).
(a) Find the equation of the tangent to the curve at \(P\).
(b) Find the equation of the curve.
The equation of a curve is such that \(\frac{dy}{dx} = 3(4x - 7)^{\frac{1}{2}} - 4x^{-\frac{1}{2}}\). It is given that the curve passes through the point \((4, \frac{5}{2})\).
Find the equation of the curve.
The equation of a curve is such that \(\frac{d^2y}{dx^2} = 6x^2 - \frac{4}{x^3}\). The curve has a stationary point at \((-1, \frac{9}{2})\).
(a) Determine the nature of the stationary point at \((-1, \frac{9}{2})\).
(b) Find the equation of the curve.
(c) Show that the curve has no other stationary points.
(d) A point \(A\) is moving along the curve and the \(y\)-coordinate of \(A\) is increasing at a rate of 5 units per second. Find the rate of increase of the \(x\)-coordinate of \(A\) at the point where \(x = 1\).
A curve with equation \(y = f(x)\) is such that \(f'(x) = 2x^{-\frac{1}{3}} - x^{\frac{1}{3}}\). It is given that \(f(8) = 5\).
Find \(f(x)\).
A curve is such that \(\frac{dy}{dx} = \frac{8}{(3x + 2)^2}\). The curve passes through the point \((2, 5\frac{2}{3})\).
Find the equation of the curve.
A curve with equation \(y = f(x)\) is such that \(f'(x) = 6x^2 - \frac{8}{x^2}\). It is given that the curve passes through the point \((2, 7)\).
Find \(f(x)\).
The gradient of a curve is given by \(\frac{dy}{dx} = 6(3x-5)^3 - kx^2\), where \(k\) is a constant. The curve has a stationary point at \((2, -3.5)\).
(a) Find the value of \(k\).
(b) Find the equation of the curve.
The equation of a curve is such that \(\frac{dy}{dx} = \frac{3}{x^4} + 32x^3\). It is given that the curve passes through the point \(\left( \frac{1}{2}, 4 \right)\).
Find the equation of the curve.
A curve is such that \(\frac{dy}{dx} = \frac{6}{(3x - 2)^3}\) and \(A(1, -3)\) lies on the curve.
Find the equation of the curve.
The function \(f\) is defined by \(f(x) = \frac{2}{(x+2)^2}\) for \(x > -2\).
(a) Find \(\int_{1}^{\infty} f(x) \, dx\).
(b) The equation of a curve is such that \(\frac{dy}{dx} = f(x)\). It is given that the point \((-1, -1)\) lies on the curve.
Find the equation of the curve.
The equation of a curve is such that \(\frac{dy}{dx} = \frac{1}{2}x + \frac{72}{x^4}\). The curve passes through the point \(P(2, 8)\).
(a) Find the equation of the normal to the curve at \(P\).
(b) Find the equation of the curve.
The point (4, 7) lies on the curve \(y = f(x)\) and it is given that \(f'(x) = 6x^{-\frac{1}{2}} - 4x^{-\frac{3}{2}}\).
Find the equation of the curve.
The equation of a curve is such that \(\frac{dy}{dx} = \frac{1}{(x-3)^2} + x\). It is given that the curve passes through the point (2, 7).
Find the equation of the curve.
The equation of a curve is such that \(\frac{dy}{dx} = 3x^{\frac{1}{2}} - 3x^{-\frac{1}{2}}\). It is given that the point (4, 7) lies on the curve.
Find the equation of the curve.
A curve is such that \(\frac{dy}{dx} = x^3 - \frac{4}{x^2}\). The point \(P(2, 9)\) lies on the curve.
Find the equation of the curve.
A curve is such that \(\frac{dy}{dx} = \frac{12}{(2x+1)^2}\). The point (1, 1) lies on the curve. Find the coordinates of the point at which the curve intersects the x-axis.
A curve passes through the point (4, -6) and has an equation for which \(\frac{dy}{dx} = x^{-\frac{1}{2}} - 3\). Find the equation of the curve.
A curve is such that \(\frac{dy}{dx} = -x^2 + 5x - 4\).
Given that the curve passes through the point (6, 2), find the equation of the curve.
A curve is such that \(\frac{dy}{dx} = \frac{8}{\sqrt{4x + 1}}\). The point \((2, 5)\) lies on the curve. Find the equation of the curve.
A curve is such that \(\frac{dy}{dx} = \frac{8}{(5 - 2x)^2}\). Given that the curve passes through (2, 7), find the equation of the curve.
A curve for which \(\frac{dy}{dx} = 3x^2 - \frac{2}{x^3}\) passes through \((-1, 3)\). Find the equation of the curve.
A curve has a stationary point at \((2, -10)\) and is such that \(\frac{d^2y}{dx^2} = 6x\).
\((a) Find \(\frac{dy}{dx}\>.\)
(b) Find the equation of the curve.
(c) Find the coordinates of the other stationary point and determine its nature.
(d) Find the equation of the tangent to the curve at the point where the curve crosses the y-axis.
The function \(f\) is such that \(f'(x) = 3x^2 - 7\) and \(f(3) = 5\). Find \(f(x)\).
A curve is such that \(\frac{dy}{dx} = (2x + 1)^{\frac{1}{2}}\) and the point \((4, 7)\) lies on the curve. Find the equation of the curve.
The function \(f\) is such that \(f'(x) = 5 - 2x^2\) and \((3, 5)\) is a point on the curve \(y = f(x)\). Find \(f(x)\).
A curve has equation \(y = f(x)\). It is given that \(f'(x) = x^{-\frac{3}{2}} + 1\) and that \(f(4) = 5\). Find \(f(x)\).
A curve has equation \(y = f(x)\). It is given that \(f'(x) = \frac{1}{\sqrt{x+6}} + \frac{6}{x^2}\) and that \(f(3) = 1\). Find \(f(x)\). [5]
A curve is such that \(\frac{dy}{dx} = \sqrt{2x + 5}\) and \((2, 5)\) is a point on the curve. Find the equation of the curve.
A curve is such that \(\frac{dy}{dx} = \frac{6}{x^2}\) and \((2, 9)\) is a point on the curve. Find the equation of the curve.
A curve has equation \(y = f(x)\) and is such that \(f'(x) = 3x^{\frac{1}{2}} + 3x^{-\frac{1}{2}} - 10\).
It is given that the curve \(y = f(x)\) passes through the point \((4, -7)\). Find \(f(x)\).
A curve is such that \(\frac{dy}{dx} = 2(3x + 4)^{\frac{3}{2}} - 6x - 8\).
It is now given that the stationary point on the curve has coordinates \((-1, 5)\). Find the equation of the curve.
A curve is such that \(\frac{dy}{dx} = -\frac{8}{x^3} - 1\) and the point (2, 4) lies on the curve. Find the equation of the curve.
A curve which passes through (0, 3) has equation \(y = f(x)\). It is given that \(f'(x) = 1 - \frac{2}{(x-1)^3}\).
(a) Find the equation of the curve.
The tangent to the curve at (0, 3) intersects the curve again at one other point, \(P\).
(b) Show that the \(x\)-coordinate of \(P\) satisfies the equation \((2x + 1)(x - 1)^2 - 1 = 0\).
(c) Verify that \(x = \frac{3}{2}\) satisfies this equation and hence find the \(y\)-coordinate of \(P\).
A curve is such that \(\frac{dy}{dx} = \frac{2}{\sqrt{x}} - 1\) and \(P(9, 5)\) is a point on the curve.
Find the equation of the curve.
A curve has equation \(y = f(x)\). It is given that \(f'(x) = 3x^2 + 2x - 5\).
Given that the curve passes through \((1, 3)\), find \(f(x)\).
The equation of a curve is such that \(\frac{dy}{dx} = \frac{3}{\sqrt{x}} - x\). Given that the curve passes through the point (4, 6), find the equation of the curve.
A curve is such that \(\frac{dy}{dx} = 2x^2 - 5\). Given that the point \((3, 8)\) lies on the curve, find the equation of the curve.
The equation of a curve is such that \(\frac{dy}{dx} = \frac{4}{(x-3)^3}\) for \(x > 3\). The curve passes through the point (4, 5).
Find the equation of the curve.
The equation of a curve is such that \(\frac{dy}{dx} = 6x^2 - 30x + 6a\), where \(a\) is a positive constant. The curve has a stationary point at \((a, -15)\).
(a) Find the value of \(a\).
(b) Determine the nature of this stationary point.
(c) Find the equation of the curve.
(d) Find the coordinates of any other stationary points on the curve.
At the point (4, -1) on a curve, the gradient of the curve is \(-\frac{3}{2}\). It is given that \(\frac{dy}{dx} = x^{-\frac{1}{2}} + k\), where \(k\) is a constant.
(a) Show that \(k = -2\).
(b) Find the equation of the curve.
(c) Find the coordinates of the stationary point.
(d) Determine the nature of the stationary point.
The curve \(y = f(x)\) is such that \(f'(x) = \frac{-3}{(x+2)^4}\).
(a) The tangent at a point on the curve where \(x = a\) has gradient \(-\frac{16}{27}\). Find the possible values of \(a\).
(b) Find \(f(x)\) given that the curve passes through the point \((-1, 5)\).
The equation of a curve is such that \(\frac{dy}{dx} = 3x^{\frac{1}{2}} - 3x^{-\frac{1}{2}}\). The curve passes through the point \((3, 5)\).
(a) Find the equation of the curve.
(b) Find the \(x\)-coordinate of the stationary point.
(c) State the set of values of \(x\) for which \(y\) increases as \(x\) increases.
The diagram shows part of the curve with equation \(y = x + \frac{2}{(2x-1)^2}\). The lines \(x = 1\) and \(x = 2\) intersect the curve at \(P\) and \(Q\) respectively and \(R\) is the stationary point on the curve.
(a) Verify that the \(x\)-coordinate of \(R\) is \(\frac{3}{2}\) and find the \(y\)-coordinate of \(R\). [4]
(b) Find the exact value of the area of the shaded region. [6]

The diagram shows the curve with equation \(y = (3x - 2)^{\frac{1}{2}}\) and the line \(y = \frac{1}{2}x + 1\). The curve and the line intersect at points \(A\) and \(B\).
(a) Find the coordinates of \(A\) and \(B\).
(b) Hence find the area of the region enclosed between the curve and the line.

The diagram shows the curves with equations \(y = x^{-\frac{1}{2}}\) and \(y = \frac{5}{2} - x^{-\frac{1}{2}}\). The curves intersect at the points \(A \left( \frac{1}{4}, 2 \right)\) and \(B \left( 4, \frac{1}{2} \right)\).
(a) Find the area of the region between the two curves.
(b) The normal to the curve \(y = x^{-\frac{1}{2}}\) at the point \((1, 1)\) intersects the y-axis at the point \((0, p)\).
Find the value of \(p\).

The diagram shows the line \(x = \frac{5}{2}\), part of the curve \(y = \frac{1}{2}x + \frac{7}{10} - \frac{1}{(x-2)^{\frac{1}{3}}}\) and the normal to the curve at the point \(A \left(3, \frac{6}{5}\right)\).
(a) Find the \(x\)-coordinate of the point where the normal to the curve meets the \(x\)-axis. [5]
(b) Find the area of the shaded region, giving your answer correct to 2 decimal places. [6]

The diagram shows part of the curve with equation \(y = x^{\frac{1}{2}} + k^2 x^{-\frac{1}{2}}\), where \(k\) is a positive constant.
(a) Find the coordinates of the minimum point of the curve, giving your answer in terms of \(k\).
The tangent at the point on the curve where \(x = 4k^2\) intersects the y-axis at \(P\).
(b) Find the y-coordinate of \(P\) in terms of \(k\).
The shaded region is bounded by the curve, the x-axis and the lines \(x = \frac{9}{4}k^2\) and \(x = 4k^2\).
(c) Find the area of the shaded region in terms of \(k\).

The equation of a curve is \(y = 2\sqrt{3x+4} - x\).
Find the exact area of the region bounded by the curve, the x-axis and the lines \(x = 0\) and \(x = 4\).
The diagram shows the curve with equation \(y = 9(x^{-\frac{1}{2}} - 4x^{-\frac{3}{2}})\). The curve crosses the x-axis at the point A.
(a) Find the x-coordinate of A.
(b) Find the equation of the tangent to the curve at A.
(c) Find the x-coordinate of the maximum point of the curve.
(d) Find the area of the region bounded by the curve, the x-axis and the line \(x = 9\).

The diagram shows part of the curve \(y = \frac{2}{(3 - 2x)^2} - x\) and its minimum point \(M\), which lies on the \(x\)-axis.
(a) Find expressions for \(\frac{dy}{dx}\), \(\frac{d^2y}{dx^2}\) and \(\int y \, dx\).
(b) Find, by calculation, the \(x\)-coordinate of \(M\).
(c) Find the area of the shaded region bounded by the curve and the coordinate axes.

The diagram shows a curve with equation \(y = 4x^{\frac{1}{2}} - 2x\) for \(x \geq 0\), and a straight line with equation \(y = 3 - x\). The curve crosses the x-axis at \(A(4, 0)\) and crosses the straight line at \(B\) and \(C\).
(a) Find, by calculation, the x-coordinates of \(B\) and \(C\).
(b) Show that \(B\) is a stationary point on the curve.
(c) Find the area of the shaded region.

The diagram shows part of the curve with equation \(y = x^3 - 2bx^2 + b^2x\) and the line \(OA\), where \(A\) is the maximum point on the curve. The \(x\)-coordinate of \(A\) is \(a\) and the curve has a minimum point at \((b, 0)\), where \(a\) and \(b\) are positive constants.
(a) Show that \(b = 3a\).
(b) Show that the area of the shaded region between the line and the curve is \(ka^4\), where \(k\) is a fraction to be found.

The diagram shows part of the curve \(y = 1 - \frac{4}{(2x+1)^2}\). The curve intersects the x-axis at \(A\). The normal to the curve at \(A\) intersects the y-axis at \(B\).
(i) Obtain expressions for \(\frac{dy}{dx}\) and \(\int y \, dx\).
(ii) Find the coordinates of \(B\).
(iii) Find, showing all necessary working, the area of the shaded region.

The diagram shows curves with equations \(y = 2x^{\frac{1}{2}} + 13x^{-\frac{1}{2}}\) and \(y = 3x^{-\frac{1}{2}} + 12\). The curves intersect at points \(A\) and \(B\).
(a) Find the coordinates of \(A\) and \(B\).
(b) Hence find the area of the shaded region.

The diagram shows part of the curve with equation \(y = (3x + 4)^{\frac{1}{2}}\) and the tangent to the curve at the point A. The \(x\)-coordinate of A is 4.
(i) Find the equation of the tangent to the curve at A.
(ii) Find, showing all necessary working, the area of the shaded region.
(iii) A point is moving along the curve. At the point P the \(y\)-coordinate is increasing at half the rate at which the \(x\)-coordinate is increasing. Find the \(x\)-coordinate of P.

The diagram shows part of the curve \(y = \sqrt{4x+1} + \frac{9}{\sqrt{4x+1}}\) and the minimum point \(M\).
(i) Find expressions for \(\frac{dy}{dx}\) and \(\int y \, dx\).
(ii) Find the coordinates of \(M\).
The shaded region is bounded by the curve, the \(y\)-axis and the line through \(M\) parallel to the \(x\)-axis.
(iii) Find, showing all necessary working, the area of the shaded region.

The diagram shows part of the curve \(y = \frac{3}{\sqrt{1 + 4x}}\) and a point \(P(2, 1)\) lying on the curve. The normal to the curve at \(P\) intersects the \(x\)-axis at \(Q\).
(i) Show that the \(x\)-coordinate of \(Q\) is \(\frac{16}{9}\).
(ii) Find, showing all necessary working, the area of the shaded region.

The diagram shows part of the curve \(y = 3\sqrt{4x + 1} - 2x\). The curve crosses the y-axis at \(A\) and the stationary point on the curve is \(M\).
(i) Obtain expressions for \(\frac{dy}{dx}\) and \(\int y \, dx\).
(ii) Find the coordinates of \(M\).
(iii) Find, showing all necessary working, the area of the shaded region.

The diagram shows part of the curve with equation \(y = k(x^3 - 7x^2 + 12x)\) for some constant \(k\). The curve intersects the line \(y = x\) at the origin \(O\) and at the point \(A (2, 2)\).

The curve with equation \(y = x^3 - 2x^2 + 5x\) passes through the origin.
Showing all necessary working, find the area of the region enclosed by the curve, the \(x\)-axis and the line \(x = 6\).
The diagram shows part of the curve \(y = 1 - 2x - (1 - 2x)^3\) intersecting the x-axis at the origin \(O\) and at \(A \left( \frac{1}{2}, 0 \right)\). The line \(AB\) intersects the y-axis at \(B\) and has equation \(y = 1 - 2x\).
(i) Show that \(AB\) is the tangent to the curve at \(A\).
(ii) Show that the area of the shaded region can be expressed as \(\int_0^{\frac{1}{2}} (1 - 2x)^3 \, dx\).
(iii) Hence, showing all necessary working, find the area of the shaded region.

The diagram shows parts of the graphs of \(y = 3 - 2x\) and \(y = 4 - \frac{3}{\sqrt{x}}\) intersecting at points \(A\) and \(B\).
(i) Find by calculation the \(x\)-coordinates of \(A\) and \(B\).
(ii) Find, showing all necessary working, the area of the shaded region.

The diagram shows part of the curve \(y = \sqrt{5x - 1}\) and the normal to the curve at the point \(P(2, 3)\). This normal meets the x-axis at \(Q\).
(i) Find the equation of the normal at \(P\).
(ii) Find, showing all necessary working, the area of the shaded region.

The diagram shows the curve \(y = f(x)\) defined for \(x > 0\). The curve has a minimum point at \(A\) and crosses the \(x\)-axis at \(B\) and \(C\). It is given that \(\frac{dy}{dx} = 2x - \frac{2}{x^3}\) and that the curve passes through the point \(\left(4, \frac{189}{16}\right)\).
(i) Find the \(x\)-coordinate of \(A\).
(ii) Find \(f(x)\).
(iii) Find the \(x\)-coordinates of \(B\) and \(C\).
(iv) Find, showing all necessary working, the area of the shaded region.

The diagram shows the curves with equations \(y = 2(2x - 3)^4\) and \(y = (2x - 3)^2 + 1\) meeting at points \(A\) and \(B\).
(a) By using the substitution \(u = 2x - 3\), find, by calculation, the coordinates of \(A\) and \(B\). [4]
(b) Find the exact area of the shaded region. [5]

The diagram shows parts of the curves \(y = (2x - 1)^2\) and \(y^2 = 1 - 2x\), intersecting at points \(A\) and \(B\).
(i) State the coordinates of \(A\).
(ii) Find, showing all necessary working, the area of the shaded region.

The diagram shows part of the curve \(y = \frac{1}{16}(3x-1)^2\), which touches the \(x\)-axis at the point \(P\). The point \(Q (3, 4)\) lies on the curve and the tangent to the curve at \(Q\) crosses the \(x\)-axis at \(R\).
(i) State the \(x\)-coordinate of \(P\).
Showing all necessary working, find by calculation
(ii) the \(x\)-coordinate of \(R\),
(iii) the area of the shaded region \(PQR\).

The points \(A\left(-\frac{1}{2}, 3\right)\) and \(B\left(1, 2\frac{1}{4}\right)\) lie on the curve \(y = 2x + (x+1)^{-2}\), as shown in the diagram.
(ii) Find the distance \(AB\).
(iii) Find, showing all necessary working, the area of the shaded region.

Points A (2, 9) and B (3, 0) lie on the curve \(y = 9 + 6x - 3x^2\), as shown in the diagram. The tangent at A intersects the x-axis at C. Showing all necessary working,
(i) find the equation of the tangent AC and hence find the x-coordinate of C,
(ii) find the area of the shaded region ABC.

The diagram shows part of the curve \(y = \frac{8}{\sqrt{3x+4}}\). The curve intersects the y-axis at \(A (0, 4)\). The normal to the curve at \(A\) intersects the line \(x = 4\) at the point \(B\).
(i) Find the coordinates of \(B\).
(ii) Show, with all necessary working, that the areas of the regions marked \(P\) and \(Q\) are equal.

The diagram shows parts of the graphs of \(y = x + 2\) and \(y = 3\sqrt{x}\) intersecting at points \(A\) and \(B\).

The diagram shows parts of the curves \(y = (4x + 1)^{\frac{1}{2}}\) and \(y = \frac{1}{2}x^2 + 1\) intersecting at points \(P(0, 1)\) and \(Q(2, 3)\). The angle between the tangents to the two curves at \(Q\) is \(\alpha\).
(i) Find \(\alpha\), giving your answer in degrees correct to 3 significant figures.
(ii) Find by integration the area of the shaded region.

The diagram shows the curve \(y = -x^2 + 12x - 20\) and the line \(y = 2x + 1\). Find, showing all necessary working, the area of the shaded region.

The diagram shows part of the curve \(y = 8 - \sqrt{4 - x}\) and the tangent to the curve at \(P(3, 7)\).
(i) Find expressions for \(\frac{dy}{dx}\) and \(\int y \, dx\).
(ii) Find the equation of the tangent to the curve at \(P\) in the form \(y = mx + c\).
(iii) Find, showing all necessary working, the area of the shaded region.

A line has equation \(y = 2x + c\) and a curve has equation \(y = 8 - 2x - x^2\).
For the case where \(c = 11\), find the \(x\)-coordinates of the points of intersection of the line and the curve. Find also, by integration, the area of the region between the line and the curve.
The diagram shows the points \(A \left(1\frac{1}{2}, 5\frac{1}{2}\right)\) and \(B \left(7\frac{1}{2}, 3\frac{1}{2}\right)\) lying on the curve with equation \(y = 9x - (2x + 1)^{\frac{3}{2}}\).
(a) Find the coordinates of the maximum point of the curve.
(b) Verify that the line \(AB\) is the normal to the curve at \(A\).
(c) Find the area of the shaded region.

The diagram shows the curve \(y = (3 - 2x)^3\) and the tangent to the curve at the point \(\left( \frac{1}{2}, 8 \right)\).
(i) Find the equation of this tangent, giving your answer in the form \(y = mx + c\).
(ii) Find the area of the shaded region.

The diagram shows part of the curve \(y = \frac{8}{\sqrt{x}} - x\) and points \(A (1, 7)\) and \(B (4, 0)\) which lie on the curve. The tangent to the curve at \(B\) intersects the line \(x = 1\) at the point \(C\).
(i) Find the coordinates of \(C\).
(ii) Find the area of the shaded region.

The diagram shows the curve \(y = \sqrt{1 + 4x}\), which intersects the x-axis at \(A\) and the y-axis at \(B\). The normal to the curve at \(B\) meets the x-axis at \(C\). Find
(i) the equation of \(BC\),
(ii) the area of the shaded region.

The diagram shows part of the curve \(y = (x - 2)^4\) and the point \(A (1, 1)\) on the curve. The tangent at \(A\) cuts the \(x\)-axis at \(B\) and the normal at \(A\) cuts the \(y\)-axis at \(C\).

The diagram shows the curve with equation \(y = x(x - 2)^2\). The minimum point on the curve has coordinates \((a, 0)\) and the \(x\)-coordinate of the maximum point is \(b\), where \(a\) and \(b\) are constants.

The diagram shows the curve \(y^2 = 2x - 1\) and the straight line \(3y = 2x - 1\). The curve and straight line intersect at \(x = \frac{1}{2}\) and \(x = a\), where \(a\) is a constant.
(i) Show that \(a = 5\).
(ii) Find, showing all necessary working, the area of the shaded region.

The diagram shows part of the curve \(y = -x^2 + 8x - 10\) which passes through the points \(A\) and \(B\). The curve has a maximum point at \(A\) and the gradient of the line \(BA\) is 2.
(i) Find the coordinates of \(A\) and \(B\).
(ii) Find \(\int y \, dx\) and hence evaluate the area of the shaded region.

The diagram shows parts of the curves \(y = 9 - x^3\) and \(y = \frac{8}{x^3}\) and their points of intersection \(P\) and \(Q\). The \(x\)-coordinates of \(P\) and \(Q\) are \(a\) and \(b\) respectively.
(i) Show that \(x = a\) and \(x = b\) are roots of the equation \(x^6 - 9x^3 + 8 = 0\). Solve this equation and hence state the value of \(a\) and the value of \(b\).
(ii) Find the area of the shaded region between the two curves.
(iii) The tangents to the two curves at \(x = c\) (where \(a < c < b\)) are parallel to each other. Find the value of \(c\).

The diagram shows the curve \(y = (x-2)^2\) and the line \(y + 2x = 7\), which intersect at points \(A\) and \(B\). Find the area of the shaded region.

The diagram shows the curve \(y = 6x - x^2\) and the line \(y = 5\). Find the area of the shaded region.

The diagram shows the curve with equation \(y = 10x^{\frac{1}{2}} - \frac{5}{2}x^{\frac{3}{2}}\) for \(x > 0\). The curve meets the x-axis at the points \((0, 0)\) and \((4, 0)\).
Find the area of the shaded region.

The equation of a curve is \(y = x^4 + 4x + 9\).
(i) Find the coordinates of the stationary point on the curve and determine its nature.
(ii) Find the area of the region enclosed by the curve, the x-axis and the lines \(x = 0\) and \(x = 1\).
The diagram shows the curve \(y = x^3 - 6x^2 + 9x\) for \(x \geq 0\). The curve has a maximum point at \(A\) and a minimum point on the \(x\)-axis at \(B\). The normal to the curve at \(C (2, 2)\) meets the normal to the curve at \(B\) at the point \(D\).
(i) Find the coordinates of \(A\) and \(B\).
(ii) Find the equation of the normal to the curve at \(C\).
(iii) Find the area of the shaded region.

The diagram shows a curve for which \(\frac{dy}{dx} = -\frac{k}{x^3}\), where \(k\) is a constant. The curve passes through the points \((1, 18)\) and \((4, 3)\).
(i) Show, by integration, that the equation of the curve is \(y = \frac{16}{x^2} + 2\).
The point \(P\) lies on the curve and has \(x\)-coordinate 1.6.
(ii) Find the area of the shaded region.

Find the area of the region enclosed by the curve \(y = 2\sqrt{x}\), the x-axis and the lines \(x = 1\) and \(x = 4\).
The equation of a curve is \(y = 2x + \frac{8}{x^2}\).
Find the area of the region enclosed by the curve, the x-axis and the lines \(x = 1\) and \(x = 2\).
The diagram shows the curve \(y = x(x-1)(x-2)\), which crosses the x-axis at the points \(O(0, 0)\), \(A(1, 0)\), and \(B(2, 0)\).
(i) The tangents to the curve at the points \(A\) and \(B\) meet at the point \(C\). Find the x-coordinate of \(C\).
(ii) Show by integration that the area of the shaded region \(R_1\) is the same as the area of the shaded region \(R_2\).

The diagram shows the curve \(y = x^3 - 3x^2 - 9x + k\), where \(k\) is a constant. The curve has a minimum point on the \(x\)-axis.
(i) Find the value of \(k\).
(iv) Find the area of the shaded region.

A curve is such that \(\frac{dy}{dx} = \frac{16}{x^3}\), and \((1, 4)\) is a point on the curve.
(i) Find the equation of the curve. [4]
(ii) A line with gradient \(-\frac{1}{2}\) is a normal to the curve. Find the equation of this normal, giving your answer in the form \(ax + by = c\). [4]
(iii) Find the area of the region enclosed by the curve, the \(x\)-axis and the lines \(x = 1\) and \(x = 2\). [4]
A curve has equation \(y = \frac{4}{\sqrt{x}}\).
Find the area of the region enclosed by the curve, the x-axis and the lines \(x = 1\) and \(x = 4\).
The equation of a curve is \(y = \sqrt{5x + 4}\).
Find the area enclosed by the curve, the \(x\)-axis, the \(y\)-axis and the line \(x = 1\).
The diagram shows the curves with equations \(y = \frac{9}{4}x^2 - 12x + 18\) and \(y = 18 - \frac{3}{8}x^{\frac{5}{2}}\). The curves intersect at the points (0, 18) and (4, 6).
Find the area of the shaded region.

The diagram shows the points A (1, 2) and B (4, 4) on the curve \(y = 2\sqrt{x}\). The line BC is the normal to the curve at B, and C lies on the x-axis. Lines AD and BE are perpendicular to the x-axis.
(i) Find the equation of the normal BC.
(ii) Find the area of the shaded region.

The diagram shows the curve \(y = 3\sqrt{x}\) and the line \(y = x\) intersecting at \(O\) and \(P\). Find
(i) the coordinates of \(P\),
(ii) the area of the shaded region.

Curves with equations \(y = 2x^{\frac{1}{2}} + 1\) and \(y = \frac{1}{2}x^2 - x + 1\) intersect at \(A(0, 1)\) and \(B(4, 5)\), as shown in the diagram.
(a) Find the area of the region between the two curves.
The acute angle between the two tangents at \(B\) is denoted by \(\alpha^\circ\), and the scales on the axes are the same.
(b) Find \(\alpha\).

The diagram shows the curve with equation \(y = x^{\frac{1}{2}} + 4x^{-\frac{1}{2}}\). The line \(y = 5\) intersects the curve at the points \(A(1, 5)\) and \(B(16, 5)\).
(a) Find the equation of the tangent to the curve at the point \(A\).
(b) Calculate the area of the shaded region.

The diagram shows the curve with equation \(y = 5x^{\frac{1}{2}}\) and the line with equation \(y = 2x + 2\).
Find the exact area of the shaded region which is bounded by the line and the curve.

The diagram shows part of the curve with equation \(y = \frac{4}{(2x-1)^2}\) and parts of the lines \(x = 1\) and \(y = 1\). The curve passes through the points \(A(1, 4)\) and \(B\left( \frac{3}{2}, 1 \right)\).
(a) Find the exact volume generated when the shaded region is rotated through 360° about the x-axis.
(b) A triangle is formed from the tangent to the curve at \(B\), the normal to the curve at \(B\) and the x-axis. Find the area of this triangle.

The diagram shows part of the curve \(y = (x-1)^{-2} + 2\), and the lines \(x = 1\) and \(x = 3\). The point \(A\) on the curve has coordinates \((2, 3)\). The normal to the curve at \(A\) crosses the line \(x = 1\) at \(B\).
(i) Show that the normal \(AB\) has equation \(y = \frac{1}{2}x + 2\).
(ii) Find, showing all necessary working, the volume of revolution obtained when the shaded region is rotated through 360° about the \(x\)-axis.

The diagram shows a shaded region bounded by the y-axis, the line \(y = -1\) and the part of the curve \(y = x^2 + 4x + 3\) for which \(x \geq -2\).
(i) Express \(y = x^2 + 4x + 3\) in the form \(y = (x + a)^2 + b\), where \(a\) and \(b\) are constants. Hence, for \(x \geq -2\), express \(x\) in terms of \(y\).
(ii) Hence, showing all necessary working, find the volume obtained when the shaded region is rotated through 360° about the y-axis.

The diagram shows part of the curve with equation \(y = \sqrt{x^3 + x^2}\). The shaded region is bounded by the curve, the x-axis and the line \(x = 3\).
(i) Find, showing all necessary working, the volume obtained when the shaded region is rotated through 360° about the x-axis. [4]
(ii) \(P\) is the point on the curve with x-coordinate 3. Find the y-coordinate of the point where the normal to the curve at \(P\) crosses the y-axis. [6]

The diagram shows part of the curve \(y = 2(3x - 1)^{-\frac{1}{3}}\) and the lines \(x = \frac{2}{3}\) and \(x = 3\). The curve and the line \(x = \frac{2}{3}\) intersect at the point \(A\).
(i) Find, showing all necessary working, the volume obtained when the shaded region is rotated through \(360^\circ\) about the \(x\)-axis.
(ii) Find the equation of the normal to the curve at \(A\), giving your answer in the form \(y = mx + c\).

The diagram shows part of the curve \(y = (x+1)^2 + (x+1)^{-1}\) and the line \(x = 1\). The point \(A\) is the minimum point on the curve.
(i) Show that the \(x\)-coordinate of \(A\) satisfies the equation \(2(x+1)^3 = 1\) and find the exact value of \(\frac{d^2y}{dx^2}\) at \(A\).
(ii) Find, showing all necessary working, the volume obtained when the shaded region is rotated through 360° about the \(x\)-axis.

The diagram shows part of the curve \(y = \frac{x}{2} + \frac{6}{x}\). The line \(y = 4\) intersects the curve at the points \(P\) and \(Q\).
(i) Show that the tangents to the curve at \(P\) and \(Q\) meet at a point on the line \(y = x\).
(ii) Find, showing all necessary working, the volume obtained when the shaded region is rotated through 360° about the \(x\)-axis. Give your answer in terms of \(\pi\).

The diagram shows part of the curve \(y = \frac{1}{2}(x^4 - 1)\), defined for \(x \geq 0\).
(i) Find, showing all necessary working, the area of the shaded region.
(ii) Find, showing all necessary working, the volume obtained when the shaded region is rotated through 360° about the x-axis.
(iii) Find, showing all necessary working, the volume obtained when the shaded region is rotated through 360° about the y-axis.

Fig. 1 shows part of the curve \(y = x^2 - 1\) and the line \(y = h\), where \(h\) is a constant.
(i) The shaded region is rotated through 360° about the \(y\)-axis. Show that the volume of revolution, \(V\), is given by \(V = \pi \left( \frac{1}{2}h^2 + h \right)\).
(ii) Find, showing all necessary working, the area of the shaded region when \(h = 3\).

The diagram shows the straight line x + y = 5 intersecting the curve y = \frac{4}{x} at the points A (1, 4) and B (4, 1). Find, showing all necessary working, the volume obtained when the shaded region is rotated through 360° about the x-axis.

The diagram shows part of the curve \(y = \frac{4}{5 - 3x}\).
(i) Find the equation of the normal to the curve at the point where \(x = 1\) in the form \(y = mx + c\), where \(m\) and \(c\) are constants.
The shaded region is bounded by the curve, the coordinate axes and the line \(x = 1\).
(ii) Find, showing all necessary working, the volume obtained when this shaded region is rotated through 360° about the \(x\)-axis.

The diagram shows the curve with equation \(x = y^2 + 1\). The points \(A(5, 2)\) and \(B(2, -1)\) lie on the curve.
(a) Find an equation of the line \(AB\).
(b) Find the volume of revolution when the region between the curve and the line \(AB\) is rotated through 360° about the \(y\)-axis.

A curve has equation \(y = (kx - 3)^{-1} + (kx - 3)\), where \(k\) is a non-zero constant.
(i) Find the \(x\)-coordinates of the stationary points in terms of \(k\), and determine the nature of each stationary point, justifying your answers.
(ii) The diagram shows part of the curve for the case when \(k = 1\). Showing all necessary working, find the volume obtained when the region between the curve, the \(x\)-axis, the \(y\)-axis and the line \(x = 2\), shown shaded in the diagram, is rotated through 360° about the \(x\)-axis.

The diagram shows part of the curve \(y = (x^3 + 1)^{\frac{1}{2}}\) and the point \(P(2, 3)\) lying on the curve. Find, showing all necessary working, the volume obtained when the shaded region is rotated through 360° about the x-axis.

The diagram shows the part of the curve \(y = \frac{8}{x} + 2x\) for \(x > 0\), and the minimum point \(M\).
(i) Find expressions for \(\frac{dy}{dx}\), \(\frac{d^2y}{dx^2}\) and \(\int y^2 \, dx\). [5]
(ii) Find the coordinates of \(M\) and determine the coordinates and nature of the stationary point on the part of the curve for which \(x < 0\). [5]
(iii) Find the volume obtained when the region bounded by the curve, the \(x\)-axis and the lines \(x = 1\) and \(x = 2\) is rotated through 360° about the \(x\)-axis. [2]

The diagram shows part of the curve \(x = \frac{12}{y^2} - 2\). The shaded region is bounded by the curve, the y-axis and the lines \(y = 1\) and \(y = 2\). Showing all necessary working, find the volume, in terms of \(\pi\), when this shaded region is rotated through 360° about the y-axis.

The diagram shows part of the curve \(y = \sqrt{9 - 2x^2}\). The point \(P(2, 1)\) lies on the curve and the normal to the curve at \(P\) intersects the \(x\)-axis at \(A\) and the \(y\)-axis at \(B\).
(i) Show that \(B\) is the mid-point of \(AP\).
The shaded region is bounded by the curve, the \(y\)-axis and the line \(y = 1\).
(ii) Find, showing all necessary working, the exact volume obtained when the shaded region is rotated through 360° about the \(y\)-axis.

The diagram shows part of the curve \(y = (1 + 4x)^{\frac{1}{2}}\) and a point \(P(6, 5)\) lying on the curve. The line \(PQ\) intersects the \(x\)-axis at \(Q(8, 0)\).
(i) Show that \(PQ\) is a normal to the curve. [5]
(ii) Find, showing all necessary working, the exact volume of revolution obtained when the shaded region is rotated through \(360^\circ\) about the \(x\)-axis. [7]
[In part (ii) you may find it useful to apply the fact that the volume, \(V\), of a cone of base radius \(r\) and vertical height \(h\), is given by \(V = \frac{1}{3} \pi r^2 h\).]

The equation of a curve is \(y = \frac{4}{2x-1}\).
(i) Find, showing all necessary working, the volume obtained when the region bounded by the curve, the \(x\)-axis and the lines \(x = 1\) and \(x = 2\) is rotated through 360° about the \(x\)-axis.
(ii) Given that the line \(2y = x + c\) is a normal to the curve, find the possible values of the constant \(c\).
The diagram shows part of the curve \(y = x^2 + 1\). Find the volume obtained when the shaded region is rotated through 360° about the y-axis.

The diagram shows the curve \(y = \sqrt{x^4 + 4x + 4}\).
The region shaded in the diagram is rotated through 360° about the x-axis. Find the volume of revolution.

The diagram shows part of the curve \(y = \frac{8}{x} + 2x\) and three points \(A, B\) and \(C\) on the curve with \(x\)-coordinates 1, 2 and 5 respectively.
Find the volume obtained when the shaded region is rotated through 360° about the \(x\)-axis.

The diagram shows the circle \(x^2 + y^2 = 2\) and the straight line \(y = 2x - 1\) intersecting at the points \(A\) and \(B\). The point \(D\) on the \(x\)-axis is such that \(AD\) is perpendicular to the \(x\)-axis.
(a) Find the coordinates of \(A\).
(b) Find the volume of revolution when the shaded region is rotated through 360° about the \(x\)-axis. Give your answer in the form \(\frac{\pi}{a}(b\sqrt{c} - d)\), where \(a, b, c\) and \(d\) are integers.
(c) Find an exact expression for the perimeter of the shaded region.

The diagram shows the region enclosed by the curve \(y = \frac{6}{2x-3}\), the x-axis and the lines \(x = 2\) and \(x = 3\). Find, in terms of \(\pi\), the volume obtained when this region is rotated through 360° about the x-axis.

The diagram shows the line \(y = 1\) and part of the curve \(y = \frac{2}{\sqrt{x+1}}\).
(i) Show that the equation \(y = \frac{2}{\sqrt{x+1}}\) can be written in the form \(x = \frac{4}{y^2} - 1\). [1]
(ii) Find \(\int \left( \frac{4}{y^2} - 1 \right) \, dy\). Hence find the area of the shaded region. [5]
(iii) The shaded region is rotated through 360° about the \(y\)-axis. Find the exact value of the volume of revolution obtained. [5]

The diagram shows the line \(y = x + 1\) and the curve \(y = \sqrt{(x+1)}\), meeting at \((-1, 0)\) and \((0, 1)\).
(i) Find the area of the shaded region.
(ii) Find the volume obtained when the shaded region is rotated through 360° about the y-axis.

The equation of a curve is \(y = \sqrt{(8x - x^2)}\). Find
The diagram shows the curve \(y = \sqrt{1 + 2x}\) meeting the \(x\)-axis at \(A\) and the \(y\)-axis at \(B\). The \(y\)-coordinate of the point \(C\) on the curve is 3.

The diagram shows part of the curve \(y = 4\sqrt{x} - x\). The curve has a maximum point at \(M\) and meets the \(x\)-axis at \(O\) and \(A\).
(i) Find the coordinates of \(A\) and \(M\).
(ii) Find the volume obtained when the shaded region is rotated through 360° about the \(x\)-axis, giving your answer in terms of \(\pi\).

(i) Sketch the curve \(y = (x - 2)^2\).
(ii) The region enclosed by the curve, the \(x\)-axis and the \(y\)-axis is rotated through \(360^\circ\) about the \(x\)-axis. Find the volume obtained, giving your answer in terms of \(\pi\).
The diagram shows part of the curve \(y = \frac{1}{(3x+1)^{\frac{1}{4}}}\). The curve cuts the y-axis at \(A\) and the line \(x = 5\) at \(B\).
(i) Show that the equation of the line \(AB\) is \(y = -\frac{1}{10}x + 1\). [4]
(ii) Find the volume obtained when the shaded region is rotated through 360° about the x-axis. [9]

The diagram shows the circle with equation \((x-2)^2 + y^2 = 8\). The chord \(AB\) of the circle intersects the positive \(y\)-axis at \(A\) and is parallel to the \(x\)-axis.
(a) Find, by calculation, the coordinates of \(A\) and \(B\).
(b) Find the volume of revolution when the shaded segment, bounded by the circle and the chord \(AB\), is rotated through 360° about the \(x\)-axis.

The equation of a curve is \(y = \frac{9}{2-x}\).
Find the volume obtained when the region bounded by the curve, the coordinate axes and the line \(x = 1\) is rotated through 360° about the x-axis.
The diagram shows part of the curve \(y = x + \frac{4}{x}\) which has a minimum point at \(M\). The line \(y = 5\) intersects the curve at the points \(A\) and \(B\).
(i) Find the coordinates of \(A, B\) and \(M\).
(ii) Find the volume obtained when the shaded region is rotated through 360° about the x-axis.

The diagram shows part of the curve \(y = \frac{a}{x}\), where \(a\) is a positive constant. Given that the volume obtained when the shaded region is rotated through 360° about the x-axis is \(24\pi\), find the value of \(a\).

The function \(f\) is such that \(f(x) = \frac{3}{2x+5}\) for \(x \in \mathbb{R}, x \neq -2.5\).
A curve has the equation \(y = f(x)\). Find the volume obtained when the region bounded by the curve, the coordinate axes and the line \(x = 2\) is rotated through 360° about the \(x\)-axis.
The diagram shows part of the curve \(y = \frac{6}{3x - 2}\).
(i) Find the gradient of the curve at the point where \(x = 2\).
(ii) Find the volume obtained when the shaded region is rotated through 360° about the x-axis, giving your answer in terms of \(\pi\).

The diagram shows the curve \(y = \sqrt{3x + 1}\) and the points \(P(0, 1)\) and \(Q(1, 2)\) on the curve. The shaded region is bounded by the curve, the \(y\)-axis and the line \(y = 2\).
(i) Find the area of the shaded region.
(ii) Find the volume obtained when the shaded region is rotated through \(360^\circ\) about the \(x\)-axis.
Tangents are drawn to the curve at the points \(P\) and \(Q\).
(iii) Find the acute angle, in degrees correct to 1 decimal place, between the two tangents.

The diagram shows the curve \(y = 3x^{\frac{1}{4}}\). The shaded region is bounded by the curve, the \(x\)-axis and the lines \(x = 1\) and \(x = 4\). Find the volume of the solid obtained when this shaded region is rotated completely about the \(x\)-axis, giving your answer in terms of \(\pi\).

The equation of a curve is \(y = \frac{6}{5 - 2x}\).
The region between the curve, the x-axis and the lines \(x = 0\) and \(x = 1\) is rotated through 360° about the x-axis. Show that the volume obtained is \(\frac{12}{5} \pi\).
A curve has equation \(y = x^2 + \frac{2}{x}\).
Find the volume of the solid formed when the region enclosed by the curve, the x-axis and the lines \(x = 1\) and \(x = 2\) is rotated completely about the x-axis.
The diagram shows part of the graph of \(y = \frac{18}{x}\) and the normal to the curve at \(P(6, 3)\). This normal meets the \(x\)-axis at \(R\). The point \(Q\) on the \(x\)-axis and the point \(S\) on the curve are such that \(PQ\) and \(SR\) are parallel to the \(y\)-axis.
(i) Find the equation of the normal at \(P\) and show that \(R\) is the point \(\left(4\frac{1}{2}, 0\right)\).
(ii) Show that the volume of the solid obtained when the shaded region \(PQRS\) is rotated through \(360^\circ\) about the \(x\)-axis is \(18\pi\).

The diagram shows the curve with equation \(y = \frac{1}{(3x - 2)^{\frac{3}{2}}}\). The shaded region is bounded by the curve, the x-axis and the lines \(x = 1\) and \(x = 2\). The shaded region is rotated through 360° about the x-axis.
(b) Find the volume of revolution.
The normal to the curve at the point \((1, 1)\) crosses the y-axis at the point \(A\).
(c) Find the y-coordinate of \(A\).

The diagram shows points A (0, 4) and B (2, 1) on the curve \(y = \frac{8}{3x + 2}\). The tangent to the curve at B crosses the x-axis at C. The point D has coordinates (2, 0).
(i) Find the equation of the tangent to the curve at B and hence show that the area of triangle BDC is \(\frac{4}{3}\).
(ii) Show that the volume of the solid formed when the shaded region ODBA is rotated completely about the x-axis is \(8\pi\).

The diagram shows part of the curve with equation \(y^2 = x - 2\) and the lines \(x = 5\) and \(y = 1\). The shaded region enclosed by the curve and the lines is rotated through 360° about the x-axis.
Find the volume obtained.

The diagram shows part of the curve \(y = \frac{6}{x}\). The points \((1, 6)\) and \((3, 2)\) lie on the curve. The shaded region is bounded by the curve and the lines \(y = 2\) and \(x = 1\).
(a) Find the volume generated when the shaded region is rotated through 360° about the \(y\)-axis. [5]
(b) The tangent to the curve at a point \(X\) is parallel to the line \(y + 2x = 0\). Show that \(X\) lies on the line \(y = 2x\). [3]

The diagram shows part of the curve \(y = \frac{8}{x+2}\) and the line \(2y + x = 8\), intersecting at points \(A\) and \(B\). The point \(C\) lies on the curve and the tangent to the curve at \(C\) is parallel to \(AB\).
(a) Find, by calculation, the coordinates of \(A\), \(B\) and \(C\). [6]
(b) Find the volume generated when the shaded region, bounded by the curve and the line, is rotated through 360° about the \(x\)-axis. [6]

The diagram shows part of the curve with equation \(y = x^2 + 1\). The shaded region enclosed by the curve, the \(y\)-axis and the line \(y = 5\) is rotated through 360° about the \(y\)-axis.
Find the volume obtained.

A curve has equation \(y = f(x)\) and it is given that
\(f'(x) = \left( \frac{1}{2}x + k \right)^{-2} - (1 + k)^{-2}\),
where \(k\) is a constant. The curve has a minimum point at \(x = 2\).
(a) Find \(f''(x)\) in terms of \(k\) and \(x\), and hence find the set of possible values of \(k\).
It is now given that \(k = -3\) and the minimum point is at \((2, 3\frac{1}{2})\).
(b) Find \(f(x)\).
(c) Find the coordinates of the other stationary point and determine its nature.
A curve passes through (0, 11) and has an equation for which \(\frac{dy}{dx} = ax^2 + bx - 4\), where \(a\) and \(b\) are constants.
(i) Find the equation of the curve in terms of \(a\) and \(b\).
(ii) It is now given that the curve has a stationary point at (2, 3). Find the values of \(a\) and \(b\).
A curve has a stationary point at \((3, 9\frac{1}{2})\) and has an equation for which \(\frac{dy}{dx} = ax^2 + a^2 x\), where \(a\) is a non-zero constant.
A curve with equation \(y = f(x)\) passes through the point \(A(3, 1)\) and crosses the y-axis at \(B\). It is given that \(f'(x) = (3x - 1)^{-\frac{1}{3}}\). Find the y-coordinate of \(B\).
A curve is such that \(\frac{dy}{dx} = \sqrt{4x + 1}\) and \((2, 5)\) is a point on the curve.
(i) Find the equation of the curve. [4]
(ii) A point \(P\) moves along the curve in such a way that the \(y\)-coordinate is increasing at a constant rate of 0.06 units per second. Find the rate of change of the \(x\)-coordinate when \(P\) passes through \((2, 5)\). [2]
(iii) Show that \(\frac{d^2y}{dx^2} \times \frac{dy}{dx}\) is constant. [2]
A curve has equation \(y = f(x)\) and it is given that \(f'(x) = ax^2 + bx\), where \(a\) and \(b\) are positive constants.
(i) Find, in terms of \(a\) and \(b\), the non-zero value of \(x\) for which the curve has a stationary point and determine, showing all necessary working, the nature of the stationary point.
(ii) It is now given that the curve has a stationary point at \((-2, -3)\) and that the gradient of the curve at \(x = 1\) is 9. Find \(f(x)\).
The function \(f\) is defined for \(x \geq 0\). It is given that \(f\) has a minimum value when \(x = 2\) and that \(f''(x) = (4x + 1)^{-\frac{1}{2}}\).
(i) Find \(f'(x)\).
It is now given that \(f''(0), f'(0)\) and \(f(0)\) are the first three terms respectively of an arithmetic progression.
(ii) Find the value of \(f(0)\).
(iii) Find \(f(x)\), and hence find the minimum value of \(f\).
A curve for which \(\frac{dy}{dx} = 7 - x^2 - 6x\) passes through the point \((3, -10)\).
(i) Find the equation of the curve.
(ii) Express \(7 - x^2 - 6x\) in the form \(a - (x + b)^2\), where \(a\) and \(b\) are constants.
(iii) Find the set of values of \(x\) for which the gradient of the curve is positive.
A curve is such that \(\frac{dy}{dx} = \frac{2}{a}x^{-\frac{1}{2}} + ax^{-\frac{3}{2}}\), where \(a\) is a positive constant. The point \(A(a^2, 3)\) lies on the curve. Find, in terms of \(a\),
It is now given that \(B(16, 8)\) also lies on the curve.
A curve has equation \(y = f(x)\) and it is given that \(f'(x) = 3x^{\frac{1}{2}} - 2x^{-\frac{1}{2}}\). The point \(A\) is the only point on the curve at which the gradient is \(-1\).
(i) Find the \(x\)-coordinate of \(A\).
(ii) Given that the curve also passes through the point \((4, 10)\), find the \(y\)-coordinate of \(A\), giving your answer as a fraction.
A curve is such that \(\frac{dy}{dx} = 6x^2 + \frac{k}{x^3}\) and passes through the point \(P(1, 9)\). The gradient of the curve at \(P\) is 2.
(i) Find the value of the constant \(k\).
(ii) Find the equation of the curve.
A curve has equation \(y = f(x)\), and it is given that \(f'(x) = 2x^2 - 7 - \frac{4}{x^2}\).
(a) Given that \(f(1) = -\frac{1}{3}\), find \(f(x)\).
(b) Find the coordinates of the stationary points on the curve.
(c) Find \(f''(x)\).
(d) Hence, or otherwise, determine the nature of each of the stationary points.
A curve is such that \(\frac{dy}{dx} = 2 - 8(3x + 4)^{-\frac{1}{2}}\).
The curve intersects the y-axis where \(y = \frac{4}{3}\).
Find the equation of the curve.
A curve passes through the point A (4, 6) and is such that \(\frac{dy}{dx} = 1 + 2x^{-\frac{1}{2}}\). A point P is moving along the curve in such a way that the x-coordinate of P is increasing at a constant rate of 3 units per minute.
(i) Find the rate at which the y-coordinate of P is increasing when P is at A.
(ii) Find the equation of the curve.
(iii) The tangent to the curve at A crosses the x-axis at B and the normal to the curve at A crosses the x-axis at C. Find the area of triangle ABC.
The curve \(y = f(x)\) has a stationary point at \((2, 10)\) and it is given that \(f''(x) = \frac{12}{x^3}\).
(i) Find \(f(x)\).
(ii) Find the coordinates of the other stationary point.
(iii) Find the nature of each of the stationary points.
A curve \(y = f(x)\) has a stationary point at \((3, 7)\) and is such that \(f''(x) = 36x^{-3}\).
(i) State, with a reason, whether this stationary point is a maximum or a minimum.
(ii) Find \(f'(x)\) and \(f(x)\).
A curve is such that \(\frac{d^2y}{dx^2} = \frac{24}{x^3} - 4\). The curve has a stationary point at \(P\) where \(x = 2\).
The function f is defined for x > 0 and is such that f'(x) = 2x - \(\frac{2}{x^2}\). The curve y = f(x) passes through the point P (2, 6).
A curve is such that \(\frac{dy}{dx} = \frac{12}{\sqrt{4x + a}}\), where \(a\) is a constant. The point \(P(2, 14)\) lies on the curve and the normal to the curve at \(P\) is \(3y + x = 5\).
(i) Show that \(a = 8\).
(ii) Find the equation of the curve.
The equation of a curve is such that \(\frac{d^2y}{dx^2} = 2x - 1\). Given that the curve has a minimum point at (3, -10), find the coordinates of the maximum point.
A curve is such that \(\frac{dy}{dx} = x^{\frac{1}{2}} - x^{-\frac{1}{2}}\). The curve passes through the point \((4, \frac{2}{3})\).
(i) Find the equation of the curve.
(ii) Find \(\frac{d^2y}{dx^2}\).
(iii) Find the coordinates of the stationary point and determine its nature.
A curve is defined for \(x > 0\) and is such that \(\frac{dy}{dx} = x + \frac{4}{x^2}\). The point \(P(4, 8)\) lies on the curve.
(i) Find the equation of the curve.
(ii) Show that the gradient of the curve has a minimum value when \(x = 2\) and state this minimum value.
The gradient of a curve at the point \((x, y)\) is given by \(\frac{dy}{dx} = 2(x + 3)^{\frac{1}{2}} - x\). The curve has a stationary point at \((a, 14)\), where \(a\) is a positive constant.
(a) Find the value of \(a\).
(b) Determine the nature of the stationary point.
(c) Find the equation of the curve.
A curve is such that \(\frac{d^2y}{dx^2} = -4x\). The curve has a maximum point at (2, 12).
(i) Find the equation of the curve.
A point \(P\) moves along the curve in such a way that the \(x\)-coordinate is increasing at 0.05 units per second.
(ii) Find the rate at which the \(y\)-coordinate is changing when \(x = 3\), stating whether the \(y\)-coordinate is increasing or decreasing.
A curve \(y = f(x)\) has a stationary point at \(P(3, -10)\). It is given that \(f'(x) = 2x^2 + kx - 12\), where \(k\) is a constant.
A curve is such that \(\frac{dy}{dx} = 5 - \frac{8}{x^2}\). The line \(3y + x = 17\) is the normal to the curve at the point \(P\) on the curve. Given that the \(x\)-coordinate of \(P\) is positive, find
A function f is defined for x ∈ ℝ and is such that f'(x) = 2x − 6. The range of the function is given by f(x) ≥ −4.
A curve is such that \(\frac{dy}{dx} = \frac{3}{(1 + 2x)^2}\) and the point \((1, \frac{1}{2})\) lies on the curve.
(i) Find the equation of the curve.
(ii) Find the set of values of \(x\) for which the gradient of the curve is less than \(\frac{1}{3}\).
The equation of a curve is such that \(\frac{dy}{dx} = \frac{6}{\sqrt{3x - 2}}\). Given that the curve passes through the point \(P(2, 11)\), find
(i) the equation of the normal to the curve at \(P\),
(ii) the equation of the curve.
A curve is such that \(\frac{dy}{dx} = 3x^{\frac{1}{2}} - 6\) and the point (9, 2) lies on the curve.
(i) Find the equation of the curve.
(ii) Find the \(x\)-coordinate of the stationary point on the curve and determine the nature of the stationary point.
A curve is such that \(\frac{dy}{dx} = k - 2x\), where \(k\) is a constant.
(i) Given that the tangents to the curve at the points where \(x = 2\) and \(x = 3\) are perpendicular, find the value of \(k\). [4]
(ii) Given also that the curve passes through the point (4, 9), find the equation of the curve. [3]
A curve is such that \(\frac{dy}{dx} = 4 - x\) and the point \(P(2, 9)\) lies on the curve. The normal to the curve at \(P\) meets the curve again at \(Q\). Find
A curve is such that \(\frac{dy}{dx} = \frac{4}{\sqrt{6 - 2x}}\), and \(P(1, 8)\) is a point on the curve.
(i) The normal to the curve at the point \(P\) meets the coordinate axes at \(Q\) and at \(R\). Find the coordinates of the mid-point of \(QR\).
(ii) Find the equation of the curve.
A function \(f\) is defined for \(x > \frac{1}{2}\) and is such that \(f'(x) = 3(2x-1)^{\frac{1}{2}} - 6\).
A curve is such that \(\frac{dy}{dx} = \frac{6}{\sqrt{4x - 3}}\) and \(P(3, 3)\) is a point on the curve.
(i) Find the equation of the normal to the curve at \(P\), giving your answer in the form \(ax + by = c\).
(ii) Find the equation of the curve.
A curve is such that \(\frac{dy}{dx} = 3x^2 - 4x + 1\). The curve passes through the point (1, 5).
(i) Find the equation of the curve.
(ii) Find the set of values of \(x\) for which the gradient of the curve is positive.
The gradient at any point \((x, y)\) on a curve is \(\sqrt{1 + 2x}\). The curve passes through the point \((4, 11)\). Find
(i) the equation of the curve,
(ii) the point at which the curve intersects the y-axis.
A curve is such that \(\frac{dy}{dx} = \frac{12}{(2x+1)^2}\) and \(P(1, 5)\) is a point on the curve.
(i) The normal to the curve at \(P\) crosses the x-axis at \(Q\). Find the coordinates of \(Q\).
(ii) Find the equation of the curve.
(iii) A point is moving along the curve in such a way that the \(x\)-coordinate is increasing at a constant rate of 0.3 units per second. Find the rate of increase of the \(y\)-coordinate when \(x = 1\).
A curve is such that \(\frac{dy}{dx} = \frac{k}{\sqrt{x}}\), where \(k\) is a constant. The points \(P(1, -1)\) and \(Q(4, 4)\) lie on the curve. Find the equation of the curve.
A curve for which \(\frac{dy}{dx} = (5x - 1)^{\frac{1}{2}} - 2\) passes through the point (2, 3).
(i) Find the equation of the curve. [4]
(ii) Find \(\frac{d^2y}{dx^2}\). [2]
(iii) Find the coordinates of the stationary point on the curve and, showing all necessary working, determine the nature of this stationary point. [4]
A curve is such that \(\frac{dy}{dx} = 3x^2 + ax + b\). The curve has stationary points at \((-1, 2)\) and \((3, k)\). Find the values of the constants \(a, b\) and \(k\).
A curve for which \(\frac{d^2y}{dx^2} = 2x - 5\) has a stationary point at (3, 6).
A curve with equation \(y = f(x)\) passes through the points \((0, 2)\) and \((3, -1)\). It is given that \(f'(x) = kx^2 - 2x\), where \(k\) is a constant. Find the value of \(k\).
The line l has equation \(\mathbf{r} = \mathbf{i} - 2\mathbf{j} - 3\mathbf{k} + \lambda\bigl(-\mathbf{i} + \mathbf{j} + 2\mathbf{k}\bigr)\). The points A and B have position vectors \(-2\mathbf{i} + 2\mathbf{j} - \mathbf{k}\) and \(3\mathbf{i} - \mathbf{j} + \mathbf{k}\) respectively.
(a) Find a unit vector in the direction of l.
The line m passes through the points A and B.
(b) Find a vector equation for m.
(c) Determine whether lines l and m are parallel, intersect or are skew.
The points A and B have position vectors \(2\mathbf{i} + \mathbf{j} + \mathbf{k}\) and \(\mathbf{i} - 2\mathbf{j} + 2\mathbf{k}\) respectively. The line \(l\) has vector equation \(\mathbf{r} = \mathbf{i} + 2\mathbf{j} - 3\mathbf{k} + \mu(\mathbf{i} - 3\mathbf{j} - 2\mathbf{k})\).
(a) Find a vector equation for the line through A and B.
(b) Find the acute angle between the directions of \(AB\) and \(l\), giving your answer in degrees.
(c) Show that the line through A and B does not intersect the line \(l\).
With respect to the origin O, the position vectors of the points A and B are given by \(\overrightarrow{OA} = \begin{pmatrix} 1 \\ 2 \\ -1 \end{pmatrix}\) and \(\overrightarrow{OB} = \begin{pmatrix} 0 \\ 3 \\ 1 \end{pmatrix}\).
(a) Find a vector equation for the line l through A and B.
(b) The point C lies on l and is such that \(\overrightarrow{AC} = 3\overrightarrow{AB}\). Find the position vector of C.
(c) Find the possible position vectors of the point P on l such that \(OP = \sqrt{14}\).
Two lines l and m have equations r = 3i + 2j + 5k + s(4i - j + 3k) and r = i - j - 2k + t(-i + 2j + 2k) respectively.
(a) Show that l and m are perpendicular.
(b) Show that l and m intersect and state the position vector of the point of intersection.
(c) Show that the length of the perpendicular from the origin to the line m is \(\frac{1}{3}\sqrt{5}\).
The quadrilateral ABCD is a trapezium in which AB and DC are parallel. With respect to the origin O, the position vectors of A, B, and C are given by \(\overrightarrow{OA} = -\mathbf{i} + 2\mathbf{j} + 3\mathbf{k}\), \(\overrightarrow{OB} = \mathbf{i} + 3\mathbf{j} + \mathbf{k}\), and \(\overrightarrow{OC} = 2\mathbf{i} + 2\mathbf{j} - 3\mathbf{k}\).
(a) Given that \(\overrightarrow{DC} = 3\overrightarrow{AB}\), find the position vector of D.
(b) State a vector equation for the line through A and B.
(c) Find the distance between the parallel sides and hence find the area of the trapezium.
With respect to the origin \(O\), the points \(A\) and \(B\) have position vectors given by \(\overrightarrow{OA} = \begin{pmatrix} 1 \\ 2 \\ 1 \end{pmatrix}\) and \(\overrightarrow{OB} = \begin{pmatrix} 3 \\ 1 \\ -2 \end{pmatrix}\). The line \(l\) has equation \(\mathbf{r} = \begin{pmatrix} 2 \\ 3 \\ 1 \end{pmatrix} + \lambda \begin{pmatrix} 1 \\ -2 \\ 1 \end{pmatrix}\).
(a) Find the acute angle between the directions of \(AB\) and \(l\).
(b) Find the position vector of the point \(P\) on \(l\) such that \(AP = BP\).
Two lines have equations \(\mathbf{r} = \begin{pmatrix} 1 \\ 3 \\ 2 \end{pmatrix} + s \begin{pmatrix} 2 \\ -1 \\ 3 \end{pmatrix}\) and \(\mathbf{r} = \begin{pmatrix} 2 \\ 1 \\ 4 \end{pmatrix} + t \begin{pmatrix} 1 \\ -1 \\ 4 \end{pmatrix}\).
(a) Show that the lines are skew.
(b) Find the acute angle between the directions of the two lines.
In the diagram, \(OABCD\) is a pyramid with vertex \(D\). The horizontal base \(OABC\) is a square of side 4 units. The edge \(OD\) is vertical and \(OD = 4\) units. The unit vectors \(\mathbf{i}, \mathbf{j}\) and \(\mathbf{k}\) are parallel to \(OA, OC\) and \(OD\) respectively.
The midpoint of \(AB\) is \(M\) and the point \(N\) on \(CD\) is such that \(DN = 3NC\).
(a) Find a vector equation for the line through \(M\) and \(N\).
(b) Show that the length of the perpendicular from \(O\) to \(MN\) is \(\frac{1}{3}\sqrt{82}\).

With respect to the origin O, the position vectors of the points A, B, C and D are given by
\(\overrightarrow{OA} = \begin{pmatrix} 2 \\ 1 \\ 5 \end{pmatrix}, \quad \overrightarrow{OB} = \begin{pmatrix} 4 \\ -1 \\ 1 \end{pmatrix}, \quad \overrightarrow{OC} = \begin{pmatrix} 1 \\ 1 \\ 2 \end{pmatrix} \quad \text{and} \quad \overrightarrow{OD} = \begin{pmatrix} 3 \\ 2 \\ 3 \end{pmatrix}.\)
(a) Show that \(AB = 2CD.\)
(b) Find the angle between the directions of \(\overrightarrow{AB}\) and \(\overrightarrow{CD}.\)
(c) Show that the line through A and B does not intersect the line through C and D.
Two lines have equations \(\mathbf{r} = \mathbf{i} + 2\mathbf{j} + \mathbf{k} + \lambda(a\mathbf{i} + 2\mathbf{j} - \mathbf{k})\) and \(\mathbf{r} = 2\mathbf{i} + \mathbf{j} - \mathbf{k} + \mu(2\mathbf{i} - \mathbf{j} + \mathbf{k})\), where \(a\) is a constant.
(a) Given that the two lines intersect, find the value of \(a\) and the position vector of the point of intersection.
(b) Given instead that the acute angle between the directions of the two lines is \(\cos^{-1}\left(\frac{1}{6}\right)\), find the two possible values of \(a\).
With respect to the origin O, the points A and B have position vectors given by \(\overrightarrow{OA} = 6\mathbf{i} + 2\mathbf{j}\) and \(\overrightarrow{OB} = 2\mathbf{i} + 2\mathbf{j} + 3\mathbf{k}\). The midpoint of OA is M. The point N lying on AB, between A and B, is such that \(AN = 2NB\).
(a) Find a vector equation for the line through M and N.
The line through M and N intersects the line through O and B at the point P.
(b) Find the position vector of P.
(c) Calculate angle OPM, giving your answer in degrees.
The equations of the lines l and m are given by
l: \(\mathbf{r} = \begin{pmatrix} 3 \\ -2 \\ 1 \end{pmatrix} + \lambda \begin{pmatrix} 1 \\ 1 \\ 2 \end{pmatrix}\) and m: \(\mathbf{r} = \begin{pmatrix} 6 \\ -3 \\ 6 \end{pmatrix} + \mu \begin{pmatrix} -2 \\ 4 \\ c \end{pmatrix}\),
where c is a positive constant. It is given that the angle between l and m is 60°.
(a) Find the value of c.
(b) Show that the length of the perpendicular from (6, -3, 6) to l is \(\sqrt{11}\).
With respect to the origin O, the vertices of a triangle ABC have position vectors \(\overrightarrow{OA} = 2\mathbf{i} + 5\mathbf{k}\), \(\overrightarrow{OB} = 3\mathbf{i} + 2\mathbf{j} + 3\mathbf{k}\) and \(\overrightarrow{OC} = \mathbf{i} + \mathbf{j} + \mathbf{k}\).
(a) Using a scalar product, show that angle ABC is a right angle. [3]
(b) Show that triangle ABC is isosceles. [2]
(c) Find the exact length of the perpendicular from O to the line through B and C. [4]
In the diagram, OABCDEFG is a cuboid in which OA = 2 units, OC = 3 units and OD = 2 units. Unit vectors i, j and k are parallel to OA, OC and OD respectively. The point M on AB is such that MB = 2AM. The midpoint of FG is N.
(a) Express the vectors \(\overrightarrow{OM}\) and \(\overrightarrow{MN}\) in terms of i, j and k.
(b) Find a vector equation for the line through M and N.
(c) Find the position vector of P, the foot of the perpendicular from D to the line through M and N.

Two lines l and m have equations r = ai + 2j + 3k + λ(i − 2j + 3k) and r = 2i + j + 2k + μ(2i − j + k) respectively, where a is a constant. It is given that the lines intersect.
Find the value of a.
\(The line l has equation r = i + 2j + 3k + μ(2i - j - 2k).\)
The point P has position vector 4i + 2j - 3k. Find the length of the perpendicular from P to l.
The points A and B have position vectors i + 2j - k and 3i + j + k respectively. The line l has equation r = 2i + j + k + μ(i + j + 2k).
Show that l does not intersect the line passing through A and B.
The points A and B have position vectors \(2\mathbf{i} + \mathbf{j} + 3\mathbf{k}\) and \(4\mathbf{i} + \mathbf{j} + \mathbf{k}\) respectively. The line l has equation \(\mathbf{r} = 4\mathbf{i} + 6\mathbf{j} + \mu(\mathbf{i} + 2\mathbf{j} - 2\mathbf{k})\).
(i) Show that l does not intersect the line passing through A and B.
The point P, with parameter t, lies on l and is such that angle PAB is equal to 120°.
(ii) Show that \(3t^2 + 8t + 4 = 0\). Hence find the position vector of P.
Two lines l and m have equations r = 2i - j + k + s(2i + 3j - k) and r = i + 3j + 4k + t(i + 2j + k) respectively.
Show that the lines are skew.
The point P has position vector \(3\mathbf{i} - 2\mathbf{j} + \mathbf{k}\). The line \(l\) has equation \(\mathbf{r} = 4\mathbf{i} + 2\mathbf{j} + 5\mathbf{k} + \mu(\mathbf{i} + 2\mathbf{j} + 3\mathbf{k})\).
Find the length of the perpendicular from P to l, giving your answer correct to 3 significant figures.
The equations of two lines l and m are r = 3i − j − 2k + λ(−i + j + 4k) and r = 4i + 4j − 3k + μ(2i + j − 2k) respectively.
The points A and B have position vectors given by \(\overrightarrow{OA} = \mathbf{i} - 2\mathbf{j} + 2\mathbf{k}\) and \(\overrightarrow{OB} = 3\mathbf{i} + \mathbf{j} + \mathbf{k}\). The line \(l\) has equation \(\mathbf{r} = 2\mathbf{i} + \mathbf{j} + m\mathbf{k} + \mu(\mathbf{i} - 2\mathbf{j} - 4\mathbf{k})\), where \(m\) is a constant.
Given that the line \(l\) intersects the line passing through A and B, find the value of \(m\).
The lines l and m have equations
l: \(\mathbf{r} = a\mathbf{i} + 3\mathbf{j} + b\mathbf{k} + \lambda (c\mathbf{i} - 2\mathbf{j} + 4\mathbf{k})\),
m: \(\mathbf{r} = \mathbf{i} + 2\mathbf{j} + 3\mathbf{k} + \mu (2\mathbf{i} - 3\mathbf{j} + \mathbf{k})\).
Relative to the origin O, the position vector of the point P is \(4\mathbf{i} + 7\mathbf{j} - 2\mathbf{k}\).
(a) Given that l is perpendicular to m and that P lies on l, find the values of the constants a, b and c.
(b) The perpendicular from P meets line m at Q. The point R lies on PQ extended, with \(PQ : QR = 2 : 3\).
Find the position vector of R.
Relative to the origin O, the point A has position vector given by \(\overrightarrow{OA} = \mathbf{i} + 2\mathbf{j} + 4\mathbf{k}\). The line l has equation \(\mathbf{r} = 9\mathbf{i} - \mathbf{j} + 8\mathbf{k} + \mu(3\mathbf{i} - \mathbf{j} + 2\mathbf{k})\).
Find the position vector of the foot of the perpendicular from A to l. Hence find the position vector of the reflection of A in l.
The line l has vector equation r = i + 2j + k + \(\lambda (2i - j + k)\).
Find the position vectors of the two points on the line whose distance from the origin is \(\sqrt{10}\).
The points A and B have position vectors, relative to the origin O, given by \(\overrightarrow{OA} = \mathbf{i} + \mathbf{j} + \mathbf{k}\) and \(\overrightarrow{OB} = 2\mathbf{i} + 3\mathbf{k}\). The line \(l\) has vector equation \(\mathbf{r} = 2\mathbf{i} - 2\mathbf{j} - \mathbf{k} + \mu(-\mathbf{i} + 2\mathbf{j} + \mathbf{k})\).
(i) Show that the line passing through A and B does not intersect \(l\).
(ii) Show that the length of the perpendicular from A to \(l\) is \(\frac{1}{\sqrt{2}}\).
The points A, B and C have position vectors, relative to the origin O, given by \(\overrightarrow{OA} = \mathbf{i} + 2\mathbf{j} + 3\mathbf{k}\), \(\overrightarrow{OB} = 4\mathbf{j} + \mathbf{k}\) and \(\overrightarrow{OC} = 2\mathbf{i} + 5\mathbf{j} - \mathbf{k}\). A fourth point D is such that the quadrilateral ABCD is a parallelogram.
Find the position vector of D and verify that the parallelogram is a rhombus.
The points A and B have position vectors given by \(\overrightarrow{OA} = 2\mathbf{i} - \mathbf{j} + 3\mathbf{k}\) and \(\overrightarrow{OB} = \mathbf{i} + \mathbf{j} + 5\mathbf{k}\). The line l has equation \(\mathbf{r} = \mathbf{i} + \mathbf{j} + 2\mathbf{k} + \mu(3\mathbf{i} + \mathbf{j} - \mathbf{k})\).
Show that l does not intersect the line passing through A and B.
The straight line \(l_1\) passes through the points \((0, 1, 5)\) and \((2, -2, 1)\). The straight line \(l_2\) has equation \(\mathbf{r} = 7\mathbf{i} + \mathbf{j} + \mathbf{k} + \mu(\mathbf{i} + 2\mathbf{j} + 5\mathbf{k})\).
(i) Show that the lines \(l_1\) and \(l_2\) are skew.
(ii) Find the acute angle between the direction of the line \(l_2\) and the direction of the \(x\)-axis.
The equations of two straight lines are
\(\mathbf{r} = \mathbf{i} + 4\mathbf{j} - 2\mathbf{k} + \lambda(\mathbf{i} + 3\mathbf{k})\) and \(\mathbf{r} = a\mathbf{i} + 2\mathbf{j} - 2\mathbf{k} + \mu(\mathbf{i} + 2\mathbf{j} + 3a\mathbf{k})\),
where \(a\) is a constant.
The line l has equation r = 4i - 9j + 9k + \(\lambda (-2i + j - 2k)\). The point A has position vector 3i + 8j + 5k.
Show that the length of the perpendicular from A to l is 15.
Referred to the origin O, the points A, B and C have position vectors given by
\(\overrightarrow{OA} = \mathbf{i} + 2\mathbf{j} + 3\mathbf{k}, \quad \overrightarrow{OB} = 2\mathbf{i} + 4\mathbf{j} + \mathbf{k}, \quad \text{and} \quad \overrightarrow{OC} = 3\mathbf{i} + 5\mathbf{j} - 3\mathbf{k}.\)
Two lines have equations
\(\mathbf{r} = \begin{pmatrix} 5 \\ 1 \\ -4 \end{pmatrix} + s \begin{pmatrix} 1 \\ -1 \\ 3 \end{pmatrix}\) and \(\mathbf{r} = \begin{pmatrix} p \\ 4 \\ -2 \end{pmatrix} + t \begin{pmatrix} 2 \\ 5 \\ -4 \end{pmatrix}\),
where \(p\) is a constant. It is given that the lines intersect.
Find the value of \(p\) and determine the coordinates of the point of intersection.
The points A and B have position vectors \(\mathbf{i} + 2\mathbf{j} - 2\mathbf{k}\) and \(2\mathbf{i} - \mathbf{j} + \mathbf{k}\) respectively. The line \(l\) has equation \(\mathbf{r} = \mathbf{i} - \mathbf{j} + 3\mathbf{k} + \mu(2\mathbf{i} - 3\mathbf{j} + 4\mathbf{k})\).
(a) Show that \(l\) does not intersect the line passing through A and B.
(b) Find the position vector of the foot of the perpendicular from A to \(l\).
The lines l and m have equations r = 3i - 2j + k + λ(-i + 2j + k) and r = 4i + 4j + 2k + μ(ai + bj - k), respectively, where a and b are constants.
The point P has coordinates (-1, 4, 11) and the line l has equation \(\mathbf{r} = \begin{pmatrix} 1 \\ 3 \\ -4 \end{pmatrix} + \lambda \begin{pmatrix} 2 \\ 1 \\ 3 \end{pmatrix}\).
Find the perpendicular distance from P to l.
With respect to the origin O, the position vectors of two points A and B are given by \(\overrightarrow{OA} = \mathbf{i} + 2\mathbf{j} + 2\mathbf{k}\) and \(\overrightarrow{OB} = 3\mathbf{i} + 4\mathbf{j}\). The point P lies on the line through A and B, and \(\overrightarrow{AP} = \lambda \overrightarrow{AB}\).
With respect to the origin O, the lines l and m have vector equations r = 2i + k + \(\lambda\)(i - j + 2k) and r = 2j + 6k + \(\mu\)(i + 2j - 2k) respectively.
With respect to the origin O, the points A and B have position vectors given by \(\overrightarrow{OA} = \mathbf{i} + 2\mathbf{j} + 2\mathbf{k}\) and \(\overrightarrow{OB} = 3\mathbf{i} + 4\mathbf{j}\). The point P lies on the line AB and OP is perpendicular to AB.
(i) Find a vector equation for the line AB.
(ii) Find the position vector of P.
The lines l and m have vector equations
\(\mathbf{r} = \mathbf{i} + \mathbf{j} + \mathbf{k} + s(\mathbf{i} - \mathbf{j} + 2\mathbf{k})\)
and
\(\mathbf{r} = 4\mathbf{i} + 6\mathbf{j} + \mathbf{k} + t(2\mathbf{i} + 2\mathbf{j} + \mathbf{k})\)
respectively.
With respect to the origin O, the points A, B and C have position vectors given by \(\overrightarrow{OA} = \mathbf{i} - \mathbf{k}\), \(\overrightarrow{OB} = 3\mathbf{i} + 2\mathbf{j} - 3\mathbf{k}\) and \(\overrightarrow{OC} = 4\mathbf{i} - 3\mathbf{j} + 2\mathbf{k}\).
The mid-point of AB is M. The point N lies on AC between A and C and is such that \(AN = 2NC\).
(i) Find a vector equation of the line MN.
(ii) It is given that MN intersects BC at the point P. Find the position vector of P.
The points A and B have position vectors, relative to the origin O, given by \(\overrightarrow{OA} = \mathbf{i} + 2\mathbf{j} + 3\mathbf{k}\) and \(\overrightarrow{OB} = 2\mathbf{i} + \mathbf{j} + 3\mathbf{k}\).
The line \(l\) has vector equation \(\mathbf{r} = (1 - 2t)\mathbf{i} + (5 + t)\mathbf{j} + (2 - t)\mathbf{k}\).
(i) Show that \(l\) does not intersect the line passing through A and B.
(ii) The point P lies on \(l\) and is such that angle \(PAB\) is equal to 60°. Given that the position vector of P is \((1 - 2t)\mathbf{i} + (5 + t)\mathbf{j} + (2 - t)\mathbf{k}\), show that \(3t^2 + 7t + 2 = 0\). Hence find the only possible position vector of P.
The points A and B have position vectors, relative to the origin O, given by
\(\overrightarrow{OA} = \begin{pmatrix} -1 \\ 3 \\ 5 \end{pmatrix}\) and \(\overrightarrow{OB} = \begin{pmatrix} 3 \\ -1 \\ -4 \end{pmatrix}\).
The line l passes through A and is parallel to OB. The point N is the foot of the perpendicular from B to l.
(i) State a vector equation for the line l.
(ii) Find the position vector of N and show that \(BN = 3\).
With respect to the origin O, the points A and B have position vectors given by \(\overrightarrow{OA} = 2\mathbf{i} + 2\mathbf{j} + \mathbf{k}\) and \(\overrightarrow{OB} = \mathbf{i} + 4\mathbf{j} + 3\mathbf{k}\).
The line l has vector equation \(\mathbf{r} = 4\mathbf{i} - 2\mathbf{j} + 2\mathbf{k} + s(\mathbf{i} + 2\mathbf{j} + \mathbf{k})\).
Prove that the line l does not intersect the line through A and B.
With respect to the origin O, the points A, B, C and D have position vectors given by
\(\overrightarrow{OA} = \begin{pmatrix} 3 \\ -1 \\ 2 \end{pmatrix}, \quad \overrightarrow{OB} = \begin{pmatrix} 1 \\ 2 \\ -3 \end{pmatrix}, \quad \overrightarrow{OC} = \begin{pmatrix} 1 \\ -2 \\ 5 \end{pmatrix} \quad \text{and} \quad \overrightarrow{OD} = \begin{pmatrix} 5 \\ -6 \\ 11 \end{pmatrix}.\)
(a) Find the obtuse angle between the vectors \(\overrightarrow{OA}\) and \(\overrightarrow{OB}\).
The line \(l\) passes through the points \(A\) and \(B\).
(b) Find a vector equation for the line \(l\).
(c) Find the position vector of the point of intersection of the line \(l\) and the line passing through \(C\) and \(D\).
The lines l and m have vector equations
\(\mathbf{r} = 2\mathbf{i} - \mathbf{j} + 4\mathbf{k} + s(\mathbf{i} + \mathbf{j} - \mathbf{k})\)
and
\(\mathbf{r} = -2\mathbf{i} + 2\mathbf{j} + \mathbf{k} + t(-2\mathbf{i} + \mathbf{j} + \mathbf{k})\)
respectively.
The lines l and m have vector equations
\(\mathbf{r} = \mathbf{i} - 2\mathbf{k} + s(2\mathbf{i} + \mathbf{j} + 3\mathbf{k})\)
and
\(\mathbf{r} = 6\mathbf{i} - 5\mathbf{j} + 4\mathbf{k} + t(\mathbf{i} - 2\mathbf{j} + \mathbf{k})\)
respectively.
Show that l and m intersect, and find the position vector of their point of intersection.
With respect to the origin O, the points A, B, C, D have position vectors given by
\(\overrightarrow{OA} = 4\mathbf{i} + \mathbf{k}, \quad \overrightarrow{OB} = 5\mathbf{i} - 2\mathbf{j} - 2\mathbf{k}, \quad \overrightarrow{OC} = \mathbf{i} + \mathbf{j}, \quad \overrightarrow{OD} = -\mathbf{i} - 4\mathbf{k}\)
With respect to the origin O, the position vectors of the points A, B and C are given by
\(\overrightarrow{OA} = \begin{pmatrix} 0 \\ 5 \\ 2 \end{pmatrix}, \quad \overrightarrow{OB} = \begin{pmatrix} 1 \\ 0 \\ 1 \end{pmatrix} \quad \text{and} \quad \overrightarrow{OC} = \begin{pmatrix} 4 \\ -3 \\ -2 \end{pmatrix}.\)
The midpoint of AC is M and the point N lies on BC, between B and C, and is such that BN = 2NC.
(a) Find the position vectors of M and N.
(b) Find a vector equation for the line through M and N.
(c) Find the position vector of the point Q where the line through M and N intersects the line through A and B.
With respect to the origin \(O\), the point \(A\) has position vector given by \(\overrightarrow{OA} = \mathbf{i} + 5\mathbf{j} + 6\mathbf{k}\). The line \(l\) has vector equation \(\mathbf{r} = 4\mathbf{i} + \mathbf{k} + \lambda (-\mathbf{i} + 2\mathbf{j} + 3\mathbf{k})\).
(a) Find in degrees the acute angle between the directions of \(OA\) and \(l\).
(b) Find the position vector of the foot of the perpendicular from \(A\) to \(l\).
(c) Hence find the position vector of the reflection of \(A\) in \(l\).
The lines l and m have vector equations
\(\mathbf{r} = -\mathbf{i} + 3\mathbf{j} + 4\mathbf{k} + \lambda(2\mathbf{i} - \mathbf{j} - \mathbf{k})\)
and
\(\mathbf{r} = 5\mathbf{i} + 4\mathbf{j} + 3\mathbf{k} + \mu(a\mathbf{i} + b\mathbf{j} + \mathbf{k})\)
respectively, where a and b are constants.
(a) Given that l and m intersect, show that \(2b - a = 4\).
(b) Given also that l and m are perpendicular, find the values of a and b.
(c) When a and b have these values, find the position vector of the point of intersection of l and m.
In the diagram, OABCDEFG is a cuboid in which OA = 2 units, OC = 4 units and OG = 2 units. Unit vectors i, j and k are parallel to OA, OC and OG respectively. The point M is the midpoint of DF. The point N on AB is such that AN = 3NB.
(a) Express the vectors \(\overrightarrow{OM}\) and \(\overrightarrow{MN}\) in terms of i, j and k.
(b) Find a vector equation for the line through M and N.
(c) Show that the length of the perpendicular from O to the line through M and N is \(\sqrt{\frac{53}{6}}\).

Relative to the origin \(O\), the points \(A\), \(B\), and \(C\) have position vectors given by
\(\overrightarrow{OA} = \begin{pmatrix} 2 \\ 1 \\ 3 \end{pmatrix}, \quad \overrightarrow{OB} = \begin{pmatrix} 4 \\ 3 \\ 2 \end{pmatrix}, \quad \text{and} \quad \overrightarrow{OC} = \begin{pmatrix} 3 \\ -2 \\ -4 \end{pmatrix}.\)
The quadrilateral \(ABCD\) is a parallelogram.
(a) Find the position vector of \(D\).
(b) The angle between \(BA\) and \(BC\) is \(\theta\). Find the exact value of \(\cos \theta\).
(c) Hence find the area of \(ABCD\), giving your answer in the form \(p\sqrt{q}\), where \(p\) and \(q\) are integers.
(a) Relative to an origin O, the position vectors of two points P and Q are p and q respectively. The point R is such that PQR is a straight line with Q the mid-point of PR. Find the position vector of R in terms of p and q, simplifying your answer.
(b) The vector 6i + aj + bk has magnitude 21 and is perpendicular to 3i + 2j + 2k. Find the possible values of a and b, showing all necessary working.
Relative to an origin O, the position vectors of points A and B are given by
\(\overrightarrow{OA} = \begin{pmatrix} 5 \\ 1 \\ 3 \end{pmatrix}\) and \(\overrightarrow{OB} = \begin{pmatrix} 5 \\ 4 \\ -3 \end{pmatrix}\).
The point P lies on AB and is such that \(\overrightarrow{AP} = \frac{1}{3} \overrightarrow{AB}\).
(i) Find the position vector of P.
(ii) Find the distance OP.
(iii) Determine whether OP is perpendicular to AB. Justify your answer.
Relative to an origin O, the position vectors of three points A, B and C are given by
\(\overrightarrow{OA} = 3\mathbf{i} + p\mathbf{j} - 2p\mathbf{k}, \quad \overrightarrow{OB} = 6\mathbf{i} + (p + 4)\mathbf{j} + 3\mathbf{k} \quad \text{and} \quad \overrightarrow{OC} = (p - 1)\mathbf{i} + 2\mathbf{j} + q\mathbf{k},\)
where \(p\) and \(q\) are constants.
(i) In the case where \(p = 2\), use a scalar product to find angle \(AOB\). [4]
(ii) In the case where \(\overrightarrow{AB}\) is parallel to \(\overrightarrow{OC}\), find the values of \(p\) and \(q\). [4]
Relative to an origin O, the position vectors of points A and B are given by
\(\overrightarrow{OA} = \begin{pmatrix} 3 \\ -6 \\ p \end{pmatrix}\) and \(\overrightarrow{OB} = \begin{pmatrix} 2 \\ -6 \\ -7 \end{pmatrix}\),
and angle \(AOB = 90^\circ\).
(i) Find the value of \(p\).
The point C is such that \(\overrightarrow{OC} = \frac{2}{3} \overrightarrow{OA}\).
(ii) Find the unit vector in the direction of \(\overrightarrow{BC}\).
Relative to an origin O, the position vectors of the points A and B are given by
\(\overrightarrow{OA} = 2\mathbf{i} + 3\mathbf{j} + 5\mathbf{k}\) and \(\overrightarrow{OB} = 7\mathbf{i} + 4\mathbf{j} + 3\mathbf{k}\).
Relative to an origin O, the position vectors of the points A, B and C are given by
\(\overrightarrow{OA} = \begin{pmatrix} 2 \\ -2 \\ -1 \end{pmatrix}, \quad \overrightarrow{OB} = \begin{pmatrix} -2 \\ 3 \\ 6 \end{pmatrix} \quad \text{and} \quad \overrightarrow{OC} = \begin{pmatrix} 2 \\ 6 \\ 5 \end{pmatrix}.\)
The position vectors of A, B and C relative to an origin O are given by
\(\overrightarrow{OA} = \begin{pmatrix} 2 \\ 3 \\ -4 \end{pmatrix}, \quad \overrightarrow{OB} = \begin{pmatrix} 1 \\ 5 \\ p \end{pmatrix} \quad \text{and} \quad \overrightarrow{OC} = \begin{pmatrix} 5 \\ 0 \\ 2 \end{pmatrix},\)
where \(p\) is a constant.
(i) Find the value of \(p\) for which the lengths of \(AB\) and \(CB\) are equal.
(ii) For the case where \(p = 1\), use a scalar product to find angle \(ABC\).
Relative to an origin O, the position vectors of points A and B are given by \(\overrightarrow{OA} = 2\mathbf{i} - 5\mathbf{j} - 2\mathbf{k}\) and \(\overrightarrow{OB} = 4\mathbf{i} - 4\mathbf{j} + 2\mathbf{k}\).
The point C is such that \(\overrightarrow{AB} = \overrightarrow{BC}\). Find the unit vector in the direction of \(\overrightarrow{OC}\).
Relative to an origin O, the position vectors of points A, B and C are given by
\(\overrightarrow{OA} = \begin{pmatrix} 2 \\ 1 \\ -2 \end{pmatrix}, \quad \overrightarrow{OB} = \begin{pmatrix} 5 \\ -1 \\ k \end{pmatrix} \quad \text{and} \quad \overrightarrow{OC} = \begin{pmatrix} 2 \\ 6 \\ -3 \end{pmatrix}\)
respectively, where \(k\) is a constant.
Relative to an origin O, the position vectors of the points A and B are given by
\(\overrightarrow{OA} = \begin{pmatrix} p-6 \\ 2p-6 \\ 1 \end{pmatrix}\) and \(\overrightarrow{OB} = \begin{pmatrix} 4-2p \\ p \\ 2 \end{pmatrix}\),
where \(p\) is a constant.
(i) For the case where OA is perpendicular to OB, find the value of \(p\).
(ii) For the case where OAB is a straight line, find the vectors \(\overrightarrow{OA}\) and \(\overrightarrow{OB}\). Find also the length of the line OA.
Relative to the origin O, the points A, B and C have position vectors given by
\(\overrightarrow{OA} = \begin{pmatrix} 1 \\ 3 \\ 1 \end{pmatrix}, \quad \overrightarrow{OB} = \begin{pmatrix} 3 \\ 1 \\ 2 \end{pmatrix} \quad \text{and} \quad \overrightarrow{OC} = \begin{pmatrix} 5 \\ 3 \\ -2 \end{pmatrix}.\)
(a) Using a scalar product, find the cosine of angle BAC.
(b) Hence find the area of triangle ABC. Give your answer in a simplified exact form.
Relative to an origin \(O\), the position vectors of points \(A, B\) and \(C\) are given by
\(\overrightarrow{OA} = \begin{pmatrix} 0 \\ 2 \\ -3 \end{pmatrix}, \quad \overrightarrow{OB} = \begin{pmatrix} 2 \\ 5 \\ -2 \end{pmatrix} \quad \text{and} \quad \overrightarrow{OC} = \begin{pmatrix} 3 \\ p \\ q \end{pmatrix}.\)
(i) In the case where \(ABC\) is a straight line, find the values of \(p\) and \(q\).
(ii) In the case where angle \(BAC\) is \(90^\circ\), express \(q\) in terms of \(p\).
(iii) In the case where \(p = 3\) and the lengths of \(AB\) and \(AC\) are equal, find the possible values of \(q\).
Relative to an origin O, the position vectors of the points A, B and C are given by
\(\overrightarrow{OA} = \begin{pmatrix} 3 \\ 2 \\ -3 \end{pmatrix}, \quad \overrightarrow{OB} = \begin{pmatrix} 5 \\ -1 \\ -2 \end{pmatrix} \quad \text{and} \quad \overrightarrow{OC} = \begin{pmatrix} 6 \\ 1 \\ 2 \end{pmatrix}.\)
(i) Show that angle \(ABC\) is \(90^\circ\).
(ii) Find the area of triangle \(ABC\), giving your answer correct to 1 decimal place.
Relative to an origin O, the position vectors of points A and B are given by \(\overrightarrow{OA} = 2\mathbf{i} + 4\mathbf{j} + 4\mathbf{k}\) and \(\overrightarrow{OB} = 3\mathbf{i} + \mathbf{j} + 4\mathbf{k}\).
(i) Use a vector method to find angle \(AOB\).
The point C is such that \(\overrightarrow{AB} = \overrightarrow{BC}\).
(ii) Find the unit vector in the direction of \(\overrightarrow{OC}\).
(iii) Show that triangle OAC is isosceles.
Relative to the origin \(O\), the position vectors of points \(A\) and \(B\) are given by
\(\overrightarrow{OA} = \begin{pmatrix} 3 \\ 0 \\ -4 \end{pmatrix}\) and \(\overrightarrow{OB} = \begin{pmatrix} 6 \\ -3 \\ 2 \end{pmatrix}\).
(i) Find the cosine of angle \(AOB\).
The position vector of \(C\) is given by \(\overrightarrow{OC} = \begin{pmatrix} k \\ -2k \\ 2k - 3 \end{pmatrix}\).
(ii) Given that \(AB\) and \(OC\) have the same length, find the possible values of \(k\).
Three points, O, A and B, are such that \(\overrightarrow{OA} = \mathbf{i} + 3\mathbf{j} + p\mathbf{k}\) and \(\overrightarrow{OB} = -7\mathbf{i} + (1-p)\mathbf{j} + p\mathbf{k}\), where \(p\) is a constant.
(i) Find the values of \(p\) for which \(\overrightarrow{OA}\) is perpendicular to \(\overrightarrow{OB}\).
(ii) The magnitudes of \(\overrightarrow{OA}\) and \(\overrightarrow{OB}\) are \(a\) and \(b\) respectively. Find the value of \(p\) for which \(b^2 = 2a^2\).
(iii) Find the unit vector in the direction of \(\overrightarrow{AB}\) when \(p = -8\).
Relative to an origin O, the position vector of A is 3i + 2j - k and the position vector of B is 7i - 3j + k.
The position vectors of points A, B and C relative to an origin O are given by
\(\overrightarrow{OA} = \begin{pmatrix} 2 \\ 1 \\ 3 \end{pmatrix}, \quad \overrightarrow{OB} = \begin{pmatrix} 6 \\ -1 \\ 7 \end{pmatrix} \quad \text{and} \quad \overrightarrow{OC} = \begin{pmatrix} 2 \\ 4 \\ 7 \end{pmatrix}.\)
(i) Show that angle \(BAC = \cos^{-1}\left(\frac{1}{3}\right).\)
(ii) Use the result in part (i) to find the exact value of the area of triangle \(ABC.\)
Relative to an origin O, the position vectors of points A and B are given by
\(\overrightarrow{OA} = \begin{pmatrix} 3p \\ 4 \\ p^2 \end{pmatrix}\) and \(\overrightarrow{OB} = \begin{pmatrix} -p \\ -1 \\ p^2 \end{pmatrix}\).
(i) Find the values of \(p\) for which angle \(AOB\) is 90°.
(ii) For the case where \(p = 3\), find the unit vector in the direction of \(\overrightarrow{BA}\).
Relative to an origin O, the position vectors of points A and B are given by \(\overrightarrow{OA} = \mathbf{i} + 2\mathbf{j}\) and \(\overrightarrow{OB} = 4\mathbf{i} + p\mathbf{k}\).
(i) In the case where \(p = 6\), find the unit vector in the direction of \(\overrightarrow{AB}\).
(ii) Find the values of \(p\) for which angle \(AOB = \cos^{-1}\left(\frac{1}{5}\right)\).
Relative to an origin O, the position vectors of points A and B are given by
\(\overrightarrow{OA} = \mathbf{i} - 2\mathbf{j} + 2\mathbf{k}\) and \(\overrightarrow{OB} = 3\mathbf{i} + p\mathbf{j} + q\mathbf{k}\),
where \(p\) and \(q\) are constants.
With respect to the origin O, the points A and B have position vectors given by \(\overrightarrow{OA} = 2\mathbf{i} - \mathbf{j}\) and \(\overrightarrow{OB} = \mathbf{j} - 2\mathbf{k}\).
(a) Show that \(OA = OB\) and use a scalar product to calculate angle \(AOB\) in degrees.
The midpoint of \(AB\) is \(M\). The point \(P\) on the line through \(O\) and \(M\) is such that \(PA : OA = \sqrt{7} : 1\).
(b) Find the possible position vectors of \(P\).
Relative to an origin O, the position vectors of three points, A, B and C, are given by
\(\overrightarrow{OA} = \mathbf{i} + 2p\mathbf{j} + q\mathbf{k}, \quad \overrightarrow{OB} = q\mathbf{j} - 2p\mathbf{k} \quad \text{and} \quad \overrightarrow{OC} = -(4p^2 + q^2)\mathbf{i} + 2p\mathbf{j} + q\mathbf{k},\)
where \(p\) and \(q\) are constants.
The position vectors of points A and B relative to an origin O are given by
\(\overrightarrow{OA} = \begin{pmatrix} p \\ 1 \\ 1 \end{pmatrix}\) and \(\overrightarrow{OB} = \begin{pmatrix} 4 \\ 2 \\ p \end{pmatrix}\),
where \(p\) is a constant.
The position vectors of the points A and B, relative to an origin O, are given by
\(\overrightarrow{OA} = \begin{pmatrix} 1 \\ 0 \\ 2 \end{pmatrix}\) and \(\overrightarrow{OB} = \begin{pmatrix} k \\ -k \\ 2k \end{pmatrix}\),
where \(k\) is a constant.
The position vectors of points A and B relative to an origin O are a and b respectively. The position vectors of points C and D relative to O are 3a and 2b respectively. It is given that
\(\mathbf{a} = \begin{pmatrix} 2 \\ 1 \\ 2 \end{pmatrix}\) and \(\mathbf{b} = \begin{pmatrix} 4 \\ 0 \\ 6 \end{pmatrix}\).
(i) Find the unit vector in the direction of \(\overrightarrow{CD}\).
(ii) The point E is the mid-point of CD. Find angle EOD.
Relative to an origin O, the position vectors of the points A, B and C are given by
\(\overrightarrow{OA} = \begin{pmatrix} 2 \\ -1 \\ 4 \end{pmatrix}, \quad \overrightarrow{OB} = \begin{pmatrix} 4 \\ 2 \\ -2 \end{pmatrix} \quad \text{and} \quad \overrightarrow{OC} = \begin{pmatrix} 1 \\ 3 \\ p \end{pmatrix}.\)
Find
(i) the unit vector in the direction of \(\overrightarrow{AB}\),
(ii) the value of the constant \(p\) for which angle \(BOC = 90^\circ\).
(i) Find the angle between the vectors \(3\mathbf{i} - 4\mathbf{k}\) and \(2\mathbf{i} + 3\mathbf{j} - 6\mathbf{k}\).
The vector \(\overrightarrow{OA}\) has a magnitude of 15 units and is in the same direction as the vector \(3\mathbf{i} - 4\mathbf{k}\). The vector \(\overrightarrow{OB}\) has a magnitude of 14 units and is in the same direction as the vector \(2\mathbf{i} + 3\mathbf{j} - 6\mathbf{k}\).
(ii) Express \(\overrightarrow{OA}\) and \(\overrightarrow{OB}\) in terms of \(\mathbf{i}, \mathbf{j}\) and \(\mathbf{k}\).
(iii) Find the unit vector in the direction of \(\overrightarrow{AB}\).
Two vectors u and v are such that u = \(\begin{pmatrix} p^2 \\ -2 \\ 6 \end{pmatrix}\) and v = \(\begin{pmatrix} 2 \\ p-1 \\ 2p+1 \end{pmatrix}\), where \(p\) is a constant.
(i) Find the values of \(p\) for which u is perpendicular to v.
(ii) For the case where \(p = 1\), find the angle between the directions of u and v.
Relative to an origin O, the position vectors of points A and B are 3i + 4j - k and 5i - 2j - 3k respectively.
(i) Use a scalar product to find angle BOA.
The point C is the mid-point of AB. The point D is such that \(\overrightarrow{OD} = 2\overrightarrow{OB}\).
(ii) Find \(\overrightarrow{DC}\).
Relative to an origin O, the position vectors of points A and B are given by \(\overrightarrow{OA} = 5\mathbf{i} + \mathbf{j} + 2\mathbf{k}\) and \(\overrightarrow{OB} = 2\mathbf{i} + 7\mathbf{j} + p\mathbf{k}\), where \(p\) is a constant.
(i) Find the value of \(p\) for which angle \(AOB\) is \(90^\circ\).
(ii) In the case where \(p = 4\), find the vector which has magnitude 28 and is in the same direction as \(\overrightarrow{AB}\).
Relative to an origin O, the point A has position vector \(4\mathbf{i} + 7\mathbf{j} - p\mathbf{k}\) and the point B has position vector \(8\mathbf{i} - \mathbf{j} - p\mathbf{k}\), where \(p\) is a constant.
Relative to the origin \(O\), the points \(A, B\) and \(D\) have position vectors given by
\(\overrightarrow{OA} = \mathbf{i} + 2\mathbf{j} + \mathbf{k}, \quad \overrightarrow{OB} = 2\mathbf{i} + 5\mathbf{j} + 3\mathbf{k} \quad \text{and} \quad \overrightarrow{OD} = 3\mathbf{i} + 2\mathbf{k}.\)
A fourth point \(C\) is such that \(ABCD\) is a parallelogram.
(a) Find the position vector of \(C\) and verify that the parallelogram is not a rhombus. [5]
(b) Find angle \(BAD\), giving your answer in degrees. [3]
(c) Find the area of the parallelogram correct to 3 significant figures. [2]
Relative to the origin O, the position vectors of the points A, B and C are given by
\(\overrightarrow{OA} = \begin{pmatrix} 2 \\ 3 \\ 5 \end{pmatrix}, \quad \overrightarrow{OB} = \begin{pmatrix} 4 \\ 2 \\ 3 \end{pmatrix} \quad \text{and} \quad \overrightarrow{OC} = \begin{pmatrix} 10 \\ 0 \\ 6 \end{pmatrix}.\)
(i) Find angle \(ABC\).
The point D is such that ABCD is a parallelogram.
(ii) Find the position vector of D.
Relative to an origin O, the position vectors of the points A, B and C are given by
\(\overrightarrow{OA} = i - 2j + 4k, \quad \overrightarrow{OB} = 3i + 2j + 8k, \quad \overrightarrow{OC} = -i - 2j + 10k.\)
Relative to an origin O, the position vectors of the points A and B are given by
\(\overrightarrow{OA} = \begin{pmatrix} -2 \\ 3 \\ 1 \end{pmatrix}\) and \(\overrightarrow{OB} = \begin{pmatrix} 4 \\ 1 \\ p \end{pmatrix}\).
(i) Find the value of p for which \(\overrightarrow{OA}\) is perpendicular to \(\overrightarrow{OB}\).
(ii) Find the values of p for which the magnitude of \(\overrightarrow{AB}\) is 7.
Relative to an origin O, the position vectors of the points A, B and C are given by
\(\overrightarrow{OA} = \begin{pmatrix} 2 \\ 3 \\ -6 \end{pmatrix}, \quad \overrightarrow{OB} = \begin{pmatrix} 0 \\ -6 \\ 8 \end{pmatrix} \quad \text{and} \quad \overrightarrow{OC} = \begin{pmatrix} -2 \\ 5 \\ -2 \end{pmatrix}.\)
Relative to an origin O, the position vectors of the points A and B are given by \(\overrightarrow{OA} = 2\mathbf{i} - 8\mathbf{j} + 4\mathbf{k}\) and \(\overrightarrow{OB} = 7\mathbf{i} + 2\mathbf{j} - \mathbf{k}\).
(i) Find the value of \(\overrightarrow{OA} \cdot \overrightarrow{OB}\) and hence state whether angle AOB is acute, obtuse or a right angle.
(ii) The point X is such that \(\overrightarrow{AX} = \frac{2}{5} \overrightarrow{AB}\). Find the unit vector in the direction of \(\overrightarrow{OX}\).
Relative to an origin O, the position vectors of points A and B are \(2\mathbf{i} + \mathbf{j} + 2\mathbf{k}\) and \(3\mathbf{i} - 2\mathbf{j} + p\mathbf{k}\) respectively.
Relative to an origin O, the position vectors of the points A and B are given by
\(\overrightarrow{OA} = \begin{pmatrix} 4 \\ 1 \\ -2 \end{pmatrix}\) and \(\overrightarrow{OB} = \begin{pmatrix} 3 \\ 2 \\ -4 \end{pmatrix}\).
(i) Given that C is the point such that \(\overrightarrow{AC} = 2\overrightarrow{AB}\), find the unit vector in the direction of \(\overrightarrow{OC}\).
The position vector of the point D is given by \(\overrightarrow{OD} = \begin{pmatrix} 1 \\ 4 \\ k \end{pmatrix}\), where k is a constant, and it is given that \(\overrightarrow{OD} = m\overrightarrow{OA} + n\overrightarrow{OB}\), where m and n are constants.
(ii) Find the values of m, n and k.
The position vectors of points A and B are \(\begin{pmatrix} -3 \\ 6 \\ 3 \end{pmatrix}\) and \(\begin{pmatrix} -1 \\ 2 \\ 4 \end{pmatrix}\) respectively, relative to an origin O.
(i) Calculate angle \(AOB\).
(ii) The point C is such that \(\overrightarrow{AC} = 3\overrightarrow{AB}\). Find the unit vector in the direction of \(\overrightarrow{OC}\).
Relative to an origin O, the position vectors of points P and Q are given by
\(\overrightarrow{OP} = \begin{pmatrix} -2 \\ 3 \\ 1 \end{pmatrix}\) and \(\overrightarrow{OQ} = \begin{pmatrix} 2 \\ 1 \\ q \end{pmatrix}\),
where \(q\) is a constant.
Relative to an origin O, the position vectors of the points A and B are given by
\(\overrightarrow{OA} = 2\mathbf{i} + 3\mathbf{j} - \mathbf{k}\) and \(\overrightarrow{OB} = 4\mathbf{i} - 3\mathbf{j} + 2\mathbf{k}\).
Relative to an origin O, the position vectors of the points A, B and X are given by
\(\overrightarrow{OA} = \begin{pmatrix} -8 \\ -4 \\ 2 \end{pmatrix}, \quad \overrightarrow{OB} = \begin{pmatrix} 10 \\ 2 \\ 11 \end{pmatrix} \quad \text{and} \quad \overrightarrow{OX} = \begin{pmatrix} -2 \\ -2 \\ 5 \end{pmatrix}.\)
(i) Find \(\overrightarrow{AX}\) and show that AXB is a straight line.
The position vector of a point C is given by \(\overrightarrow{OC} = \begin{pmatrix} 1 \\ -8 \\ 3 \end{pmatrix}.\)
(ii) Show that CX is perpendicular to AX.
(iii) Find the area of triangle ABC.
The points A and B have position vectors i + 7j + 2k and -5i + 5j + 6k respectively, relative to an origin O.
(i) Use a scalar product to calculate angle AOB, giving your answer in radians correct to 3 significant figures. [4]
(ii) The point C is such that \(\overrightarrow{AB} = 2\overrightarrow{BC}\). Find the unit vector in the direction of \(\overrightarrow{OC}\). [4]
Relative to an origin O, the position vectors of the points A, B, C and D are given by
\(\overrightarrow{OA} = \begin{pmatrix} 1 \\ 3 \\ -1 \end{pmatrix}, \overrightarrow{OB} = \begin{pmatrix} 3 \\ -1 \\ 3 \end{pmatrix}, \overrightarrow{OC} = \begin{pmatrix} 4 \\ 2 \\ p \end{pmatrix} \text{ and } \overrightarrow{OD} = \begin{pmatrix} -1 \\ 0 \\ q \end{pmatrix}\),
where \(p\) and \(q\) are constants. Find
(i) the unit vector in the direction of \(\overrightarrow{AB}\),
(ii) the value of \(p\) for which angle \(AOC = 90^\circ\),
(iii) the values of \(q\) for which the length of \(\overrightarrow{AD}\) is 7 units.
The points A, B, C and D have position vectors \(3oldsymbol{i} + 2oldsymbol{k}\), \(2oldsymbol{i} - 2oldsymbol{j} + 5oldsymbol{k}\), \(2oldsymbol{j} + 7oldsymbol{k}\) and \(-2oldsymbol{i} + 10oldsymbol{j} + 7oldsymbol{k}\) respectively.
(i) Use a scalar product to show that \(\overrightarrow{BA}\) and \(\overrightarrow{BC}\) are perpendicular. [4]
(ii) Show that \(\overrightarrow{BC}\) and \(\overrightarrow{AD}\) are parallel and find the ratio of the length of \(BC\) to the length of \(AD\). [4]
Given that \(\mathbf{a} = \begin{pmatrix} 2 \\ -2 \\ 1 \end{pmatrix}, \mathbf{b} = \begin{pmatrix} 2 \\ 6 \\ 3 \end{pmatrix}\) and \(\mathbf{c} = \begin{pmatrix} p \\ p \\ p+1 \end{pmatrix}\), find
(i) the angle between the directions of \(\mathbf{a}\) and \(\mathbf{b}\),
(ii) the value of \(p\) for which \(\mathbf{b}\) and \(\mathbf{c}\) are perpendicular.
The position vectors of points A and B, relative to an origin O, are given by
\(\overrightarrow{OA} = \begin{pmatrix} 6 \\ -2 \\ -6 \end{pmatrix}\) and \(\overrightarrow{OB} = \begin{pmatrix} 3 \\ k \\ -3 \end{pmatrix}\),
where \(k\) is a constant.
The point C is such that \(\overrightarrow{AC} = 2\overrightarrow{CB}\).
Two vectors, u and v, are such that
\(\mathbf{u} = \begin{pmatrix} q \\ 2 \\ 6 \end{pmatrix}\) and \(\mathbf{v} = \begin{pmatrix} 8 \\ q-1 \\ q^2-7 \end{pmatrix}\),
where \(q\) is a constant.
(i) Find the values of \(q\) for which \(\mathbf{u}\) is perpendicular to \(\mathbf{v}\).
(ii) Find the angle between \(\mathbf{u}\) and \(\mathbf{v}\) when \(q = 0\).
Relative to an origin O, the position vectors of the points A, B and C are given by
\(\overrightarrow{OA} = \begin{pmatrix} 1 \\ -3 \\ 2 \end{pmatrix}, \quad \overrightarrow{OB} = \begin{pmatrix} -1 \\ 3 \\ 5 \end{pmatrix} \quad \text{and} \quad \overrightarrow{OC} = \begin{pmatrix} 3 \\ 1 \\ -2 \end{pmatrix}.\)
Relative to an origin \(O\), the position vectors of the points \(A, B\) and \(C\) are given by
\(\overrightarrow{OA} = \begin{pmatrix} 8 \\ -6 \\ 5 \end{pmatrix}, \quad \overrightarrow{OB} = \begin{pmatrix} -10 \\ 3 \\ -13 \end{pmatrix} \quad \text{and} \quad \overrightarrow{OC} = \begin{pmatrix} 2 \\ -3 \\ -1 \end{pmatrix}.\)
A fourth point, \(D\), is such that the magnitudes \(|\overrightarrow{AB}|, |\overrightarrow{BC}|\) and \(|\overrightarrow{CD}|\) are the first, second and third terms respectively of a geometric progression.
(i) Find the magnitudes \(|\overrightarrow{AB}|, |\overrightarrow{BC}|\) and \(|\overrightarrow{CD}|\).
(ii) Given that \(D\) is a point lying on the line through \(B\) and \(C\), find the two possible position vectors of the point \(D\).
In the diagram, OABCDEFG is a cuboid in which OA = 3 units, OC = 2 units and OD = 2 units. Unit vectors i, j and k are parallel to OA, OD and OC respectively. M is the midpoint of EF.
(a) Find the position vector of M.
The position vector of P is i + j + 2k.
(b) Calculate angle PAM.
(c) Find the exact length of the perpendicular from P to the line passing through O and M.

The diagram shows a pyramid OABCD with a horizontal rectangular base OABC. The sides OA and AB have lengths of 8 units and 6 units respectively. The point E on OB is such that OE = 2 units. The point D of the pyramid is 7 units vertically above E. Unit vectors i, j and k are parallel to OA, OC and ED respectively.
(i) Show that \(\overrightarrow{OE} = 1.6\mathbf{i} + 1.2\mathbf{j}\).
(ii) Use a scalar product to find angle BDO.

The diagram shows a three-dimensional shape. The base OAB is a horizontal triangle in which angle AOB is 90°. The side OBCD is a rectangle and the side OAD lies in a vertical plane. Unit vectors i and j are parallel to OA and OB respectively and the unit vector k is vertical. The position vectors of A, B and D are given by \(\overrightarrow{OA} = 8\mathbf{i}\), \(\overrightarrow{OB} = 5\mathbf{j}\) and \(\overrightarrow{OD} = 2\mathbf{i} + 4\mathbf{k}\).
(i) Express each of the vectors \(\overrightarrow{DA}\) and \(\overrightarrow{CA}\) in terms of i, j and k.
(ii) Use a scalar product to find angle CAD.

Fig. 1 shows a rectangle with sides of 7 units and 3 units from which a triangular corner has been removed, leaving a 5-sided polygon OABCD. The sides OA, AB, BC and DO have lengths of 7 units, 3 units, 3 units and 2 units respectively. Fig. 2 shows the polygon OABCD forming the horizontal base of a pyramid in which the point E is 8 units vertically above D. Unit vectors i, j and k are parallel to OA, OD and DE respectively.
(i) Find \(\overrightarrow{CE}\) and the length of \(CE\).
(ii) Use a scalar product to find angle ECA, giving your answer in the form \(\cos^{-1} \left( \frac{m}{\sqrt{n}} \right)\), where m and n are integers.

The diagram shows a trapezium \(OABC\) in which \(OA\) is parallel to \(CB\). The position vectors of \(A\) and \(B\) relative to the origin \(O\) are given by \(\overrightarrow{OA} = \begin{pmatrix} -2 \\ -2 \\ -1 \end{pmatrix}\) and \(\overrightarrow{OB} = \begin{pmatrix} 6 \\ 1 \\ 1 \end{pmatrix}\).
(i) Show that angle \(OAB\) is \(90^\circ\).
The magnitude of \(\overrightarrow{CB}\) is three times the magnitude of \(\overrightarrow{OA}\).
(ii) Find the position vector of \(C\).
(iii) Find the exact area of the trapezium \(OABC\), giving your answer in the form \(a\sqrt{b}\), where \(a\) and \(b\) are integers.

The diagram shows a triangular pyramid ABCD. It is given that \(\overrightarrow{AB} = 3\mathbf{i} + \mathbf{j} + \mathbf{k}\), \(\overrightarrow{AC} = \mathbf{i} - 2\mathbf{j} - \mathbf{k}\), and \(\overrightarrow{AD} = \mathbf{i} + 4\mathbf{j} - 7\mathbf{k}\).
(i) Verify, showing all necessary working, that each of the angles \(DAB\), \(DAC\), and \(CAB\) is \(90^\circ\).
(ii) Find the exact value of the area of the triangle \(ABC\), and hence find the exact value of the volume of the pyramid.
[The volume \(V\) of a pyramid of base area \(A\) and vertical height \(h\) is given by \(V = \frac{1}{3}Ah\).]

The diagram shows a cuboid OABCDEFG with a horizontal base OABC in which OA = 4 ext{ cm} and AB = 15 ext{ cm}. The height OD of the cuboid is 2 ext{ cm}. The point X on AB is such that AX = 5 ext{ cm} and the point P on DG is such that DP = p ext{ cm}, where p is a constant. Unit vectors i, j and k are parallel to OA, OC and OD respectively.

The diagram shows a pyramid OABC with a horizontal triangular base OAB and vertical height OC. Angles AOB, BOC and AOC are each right angles. Unit vectors i, j and k are parallel to OA, OB and OC respectively, with OA = 4 units, OB = 2.4 units and OC = 3 units. The point P on CA is such that CP = 3 units.

The diagram shows a cuboid OABCPQRS with a horizontal base OABC in which AB = 6 cm and OA = a cm, where a is a constant. The height OP of the cuboid is 10 cm. The point T on BR is such that BT = 8 cm, and M is the mid-point of AT. Unit vectors i, j and k are parallel to OA, OC and OP respectively.
(i) For the case where a = 2, find the unit vector in the direction of \(\overrightarrow{PM}\).
(ii) For the case where angle \(ATP = \cos^{-1}\left(\frac{2}{7}\right)\), find the value of a.

The diagram shows a pyramid \(OABCX\). The horizontal square base \(OABC\) has side 8 units and the centre of the base is \(D\). The top of the pyramid, \(X\), is vertically above \(D\) and \(XD = 10\) units. The mid-point of \(OX\) is \(M\). The unit vectors \(\mathbf{i}\) and \(\mathbf{j}\) are parallel to \(\overrightarrow{OA}\) and \(\overrightarrow{OC}\) respectively and the unit vector \(\mathbf{k}\) is vertically upwards.
(i) Express the vectors \(\overrightarrow{AM}\) and \(\overrightarrow{AC}\) in terms of \(\mathbf{i}\), \(\mathbf{j}\) and \(\mathbf{k}\).
(ii) Use a scalar product to find angle \(MAC\).

The diagram shows a trapezium ABCD in which BA is parallel to CD. The position vectors of A, B, and C relative to an origin O are given by
\(\overrightarrow{OA} = \begin{pmatrix} 3 \\ 4 \\ 0 \end{pmatrix}, \quad \overrightarrow{OB} = \begin{pmatrix} 1 \\ 3 \\ 2 \end{pmatrix}, \quad \text{and} \quad \overrightarrow{OC} = \begin{pmatrix} 4 \\ 5 \\ 6 \end{pmatrix}.\)

In the diagram, \(OABCD\) is a solid figure in which \(OA = OB = 4\) units and \(OD = 3\) units. The edge \(OD\) is vertical, \(DC\) is parallel to \(OB\) and \(DC = 1\) unit. The base, \(OAB\), is horizontal and angle \(AOB = 90^\circ\). Unit vectors \(\mathbf{i}, \mathbf{j}\) and \(\mathbf{k}\) are parallel to \(OA, OB\) and \(OD\) respectively. The midpoint of \(AB\) is \(M\) and the point \(N\) on \(BC\) is such that \(CN = 2NB\).

The diagram shows a pyramid OABC in which the edge OC is vertical. The horizontal base OAB is a triangle, right-angled at O, and D is the mid-point of AB. The edges OA, OB and OC have lengths of 8 units, 6 units and 10 units respectively. The unit vectors i, j and k are parallel to \(\overrightarrow{OA}\), \(\overrightarrow{OB}\) and \(\overrightarrow{OC}\) respectively.
(i) Express each of the vectors \(\overrightarrow{OD}\) and \(\overrightarrow{CD}\) in terms of i, j and k.
(ii) Use a scalar product to find angle ODC.

The diagram shows a pyramid OABCD in which the vertical edge OD is 3 units in length. The point E is the centre of the horizontal rectangular base OABC. The sides OA and AB have lengths of 6 units and 4 units respectively. The unit vectors i, j and k are parallel to \(\overrightarrow{OA}\), \(\overrightarrow{OC}\) and \(\overrightarrow{OD}\) respectively.

The diagram shows a parallelogram \(OABC\) in which
\(\overrightarrow{OA} = \begin{pmatrix} 3 \\ 3 \\ -4 \end{pmatrix}\) and \(\overrightarrow{OB} = \begin{pmatrix} 5 \\ 0 \\ 2 \end{pmatrix}\).
(i) Use a scalar product to find angle \(BOC\).
(ii) Find a vector which has magnitude 35 and is parallel to the vector \(\overrightarrow{OC}\).

In the diagram, OABCDEFG is a rectangular block in which OA = OD = 6 cm and AB = 12 cm. The unit vectors i, j and k are parallel to \(\overrightarrow{OA}\), \(\overrightarrow{OC}\) and \(\overrightarrow{OD}\) respectively. The point P is the mid-point of DG, Q is the centre of the square face CBFG and R lies on AB such that AR = 4 cm.
(i) Express each of the vectors \(\overrightarrow{PQ}\) and \(\overrightarrow{RQ}\) in terms of i, j and k.
(ii) Use a scalar product to find angle RQP.

The diagram shows a prism ABCDPQRS with a horizontal square base APSD with sides of length 6 cm. The cross-section ABCD is a trapezium and is such that the vertical edges AB and DC are of lengths 5 cm and 2 cm respectively. Unit vectors i, j and k are parallel to AD, AP and AB respectively.
(i) Express each of the vectors \(\overrightarrow{CP}\) and \(\overrightarrow{CQ}\) in terms of i, j and k.
(ii) Use a scalar product to calculate angle PCQ.

The diagram shows triangle OAB, in which the position vectors of A and B with respect to O are given by \(\overrightarrow{OA} = 2\mathbf{i} + \mathbf{j} - 3\mathbf{k}\) and \(\overrightarrow{OB} = -3\mathbf{i} + 2\mathbf{j} - 4\mathbf{k}\).
C is a point on OA such that \(\overrightarrow{OC} = p \overrightarrow{OA}\), where p is a constant.

The diagram shows a pyramid OABCP in which the horizontal base OABC is a square of side 10 cm and the vertex P is 10 cm vertically above O. The points D, E, F, G lie on OP, AP, BP, CP respectively and DEFG is a horizontal square of side 6 cm. The height of DEFG above the base is a cm. Unit vectors i, j and k are parallel to OA, OC and OD respectively.

The diagram shows a pyramid OABC with a horizontal base OAB where OA = 6 cm, OB = 8 cm and angle AOB = 90°. The point C is vertically above O and OC = 10 cm. Unit vectors i, j and k are parallel to OA, OB and OC as shown. Use a scalar product to find angle ACB.

The diagram shows the parallelogram OABC. Given that \(\overrightarrow{OA} = \mathbf{i} + 3\mathbf{j} + 3\mathbf{k}\) and \(\overrightarrow{OC} = 3\mathbf{i} - \mathbf{j} + \mathbf{k}\), find

In the diagram, \(OABCDEFG\) is a cube in which each side has length 6. Unit vectors \(\mathbf{i}, \mathbf{j}\) and \(\mathbf{k}\) are parallel to \(\overrightarrow{OA}, \overrightarrow{OC}\) and \(\overrightarrow{OD}\) respectively. The point \(P\) is such that \(\overrightarrow{AP} = \frac{1}{3} \overrightarrow{AB}\) and the point \(Q\) is the mid-point of \(DF\).
(i) Express each of the vectors \(\overrightarrow{OQ}\) and \(\overrightarrow{PQ}\) in terms of \(\mathbf{i}, \mathbf{j}\) and \(\mathbf{k}\).
(ii) Find the angle \(OQP\).

The diagram shows a three-dimensional shape OABCDEFG. The base OABC and the upper surface DEFG are identical horizontal rectangles. The parallelograms OAED and CBFG both lie in vertical planes. Points P and Q are the mid-points of OD and GF respectively. Unit vectors i and j are parallel to \(\overrightarrow{OA}\) and \(\overrightarrow{OC}\) respectively and the unit vector k is vertically upwards. The position vectors of A, C and D are given by \(\overrightarrow{OA} = 6\mathbf{i}\), \(\overrightarrow{OC} = 8\mathbf{j}\) and \(\overrightarrow{OD} = 2\mathbf{i} + 10\mathbf{k}\).
(i) Express each of the vectors \(\overrightarrow{PB}\) and \(\overrightarrow{PQ}\) in terms of i, j and k.
(ii) Determine whether P is nearer to Q or to B.
(iii) Use a scalar product to find angle BPQ.

The diagram shows a semicircular prism with a horizontal rectangular base \(ABCD\). The vertical ends \(AED\) and \(BFC\) are semicircles of radius 6 cm. The length of the prism is 20 cm. The mid-point of \(AD\) is the origin \(O\), the mid-point of \(BC\) is \(M\) and the mid-point of \(DC\) is \(N\). The points \(E\) and \(F\) are the highest points of the semicircular ends of the prism. The point \(P\) lies on \(EF\) such that \(EP = 8\) cm.
Unit vectors \(\mathbf{i}, \mathbf{j}\) and \(\mathbf{k}\) are parallel to \(OD, OM\) and \(OE\) respectively.
(i) Express each of the vectors \(\overrightarrow{PA}\) and \(\overrightarrow{PN}\) in terms of \(\mathbf{i}, \mathbf{j}\) and \(\mathbf{k}\).
(ii) Use a scalar product to calculate angle \(APN\).

The diagram shows a cube OABCDEFG in which the length of each side is 4 units. The unit vectors i, j, and k are parallel to \(\overrightarrow{OA}\), \(\overrightarrow{OC}\), and \(\overrightarrow{OD}\) respectively. The mid-points of OA and DG are P and Q respectively and R is the centre of the square face ABFE.

The diagram shows the roof of a house. The base of the roof, \(OABC\), is rectangular and horizontal with \(OA = CB = 14 \, \text{m}\) and \(OC = AB = 8 \, \text{m}\). The top of the roof \(DE\) is 5 m above the base and \(DE = 6 \, \text{m}\). The sloping edges \(OD, CD, AE\) and \(BE\) are all equal in length.
Unit vectors \(\mathbf{i}\) and \(\mathbf{j}\) are parallel to \(OA\) and \(OC\) respectively and the unit vector \(\mathbf{k}\) is vertically upwards.

The diagram shows a triangular prism with a horizontal rectangular base ADFC, where CF = 12 units and DF = 6 units. The vertical ends ABC and DEF are isosceles triangles with AB = BC = 5 units. The mid-points of BE and DF are M and N respectively. The origin O is at the mid-point of AC.
Unit vectors i, j and k are parallel to OC, ON and OB respectively.

The diagram shows a solid cylinder standing on a horizontal circular base, centre O and radius 4 units. The line BA is a diameter and the radius OC is at 90° to OA. Points O', A', B' and C' lie on the upper surface of the cylinder such that OO', AA', BB' and CC' are all vertical and of length 12 units. The mid-point of BB' is M.
Unit vectors i, j and k are parallel to OA, OC and OO' respectively.
(i) Express each of the vectors \(\overrightarrow{MO}\) and \(\overrightarrow{MC}\) in terms of i, j and k.
(ii) Hence find the angle OMC.

Relative to an origin O, the position vectors of the points A, B, C and D, shown in the diagram, are given by
\(\overrightarrow{OA} = \begin{pmatrix} -1 \\ 3 \\ -4 \end{pmatrix}, \overrightarrow{OB} = \begin{pmatrix} 2 \\ -3 \\ 5 \end{pmatrix}, \overrightarrow{OC} = \begin{pmatrix} 4 \\ -2 \\ 5 \end{pmatrix} \text{ and } \overrightarrow{OD} = \begin{pmatrix} 2 \\ 2 \\ -1 \end{pmatrix}.\)

The diagram shows a solid figure ABCDEF in which the horizontal base ABC is a triangle right-angled at A. The lengths of AB and AC are 8 units and 4 units respectively and M is the mid-point of AB. The point D is 7 units vertically above A. Triangle DEF lies in a horizontal plane with DE, DF and FE parallel to AB, AC and CB respectively and N is the mid-point of FE. The lengths of DE and DF are 4 units and 2 units respectively. Unit vectors i, j and k are parallel to \overrightarrow{AB}, \overrightarrow{AC} and \overrightarrow{AD} respectively.

The diagram shows a three-dimensional shape in which the base OABC and the upper surface DEFG are identical horizontal squares. The parallelograms OAED and CBFG both lie in vertical planes. The point M is the mid-point of AF.
Unit vectors i and j are parallel to OA and OC respectively and the unit vector k is vertically upwards. The position vectors of A and D are given by \(\overrightarrow{OA} = 8\mathbf{i}\) and \(\overrightarrow{OD} = 3\mathbf{i} + 10\mathbf{k}\).
(i) Express each of the vectors \(\overrightarrow{AM}\) and \(\overrightarrow{GM}\) in terms of i, j and k. [3]
(ii) Use a scalar product to find angle GMA correct to the nearest degree. [4]

The diagram shows a solid figure OABCDEFG with a horizontal rectangular base OABC in which OA = 8 units and AB = 6 units. The rectangle DEFG lies in a horizontal plane and is such that D is 7 units vertically above O and DE is parallel to OA. The sides DE and DG have lengths 4 units and 2 units respectively. Unit vectors i, j and k are parallel to OA, OC and OD respectively. Use a scalar product to find angle OBF, giving your answer in the form cos-1(\frac{a}{b}), where a and b are integers.

The diagram shows a solid cylinder standing on a horizontal circular base with centre O and radius 4 units. Points A, B and C lie on the circumference of the base such that AB is a diameter and angle BOC = 90^ ext{o}. Points P, Q and R lie on the upper surface of the cylinder vertically above A, B and C respectively. The height of the cylinder is 12 units. The mid-point of CR is M and N lies on BQ with BN = 4 units.
Unit vectors i and j are parallel to OB and OC respectively and the unit vector k is vertically upwards.
Evaluate \(\overrightarrow{PN} \cdot \overrightarrow{PM}\) and hence find angle MPN.

The diagram shows a solid figure OABCDEF having a horizontal rectangular base OABC with OA = 6 units and AB = 3 units. The vertical edges OF, AD and BE have lengths 6 units, 4 units and 4 units respectively. Unit vectors i, j and k are parallel to OA, OC and OF respectively.

Small blocks A and B are held at rest on a smooth plane inclined at 30° to the horizontal. Each is held in equilibrium by a force of magnitude 18 N. The force on A acts upwards parallel to a line of greatest slope of the plane, and the force on B acts horizontally in the vertical plane containing a line of greatest slope (see diagram). Find the weight of A and the weight of B.

A small block of weight 5.1 N rests on a smooth plane inclined at an angle \(\alpha\) to the horizontal, where \(\sin \alpha = \frac{8}{17}\). The block is held in equilibrium by means of a light inextensible string. The string makes an angle \(\beta\) above the line of greatest slope on which the block rests, where \(\sin \beta = \frac{7}{25}\) (see diagram). Find the tension in the string.

A small block of weight 12 N is at rest on a smooth plane inclined at 40° to the horizontal. The block is held in equilibrium by a force of magnitude P N. Find the value of P when

A small block of weight 18 N is held at rest on a smooth plane inclined at 30° to the horizontal, by a force of magnitude \(P\) N. Find

A block A of mass 80 kg is connected by a light, inextensible rope to a block B of mass 40 kg. The rope joining the two blocks is taut and is parallel to a line of greatest slope of a plane which is inclined at an angle of 20° to the horizontal. A force of magnitude 500 N inclined at an angle of 15° above the same line of greatest slope acts on A (see diagram). The blocks move up the plane and there is a resistance force of 50 N on B, but no resistance force on A.
(a) Find the acceleration of the blocks and the tension in the rope. [5]
(b) Find the time that it takes for the blocks to reach a speed of 1.2 m/s-1 from rest. [2]

Two blocks A and B of masses 4 kg and 5 kg respectively are joined by a light inextensible string. The blocks rest on a smooth plane inclined at an angle \(\alpha\) to the horizontal, where \(\tan \alpha = \frac{7}{24}\). The string is parallel to a line of greatest slope of the plane with B above A. A force of magnitude 36 N acts on B, parallel to a line of greatest slope of the plane (see diagram).

A particle P of mass 8 kg is on a smooth plane inclined at an angle of 30° to the horizontal. A force of magnitude 100 N, making an angle of θ° with a line of greatest slope and lying in the vertical plane containing the line of greatest slope, acts on P (see diagram).
(i) Given that P is in equilibrium, show that θ = 66.4, correct to 1 decimal place, and find the normal reaction between the plane and P. [4]
\((ii) Given instead that θ = 30, find the acceleration of P. [2]\)

A particle slides up a line of greatest slope of a smooth plane inclined at an angle \(\alpha^\circ\) to the horizontal. The particle passes through the points \(A\) and \(B\) with speeds 2.5 m s\(^{-1}\) and 1.5 m s\(^{-1}\) respectively. The distance \(AB\) is 4 m (see diagram). Find

Two particles P and Q move on a line of greatest slope of a smooth inclined plane. The particles start at the same instant and from the same point, each with speed 1.3 m s-1. Initially P moves down the plane and Q moves up the plane. The distance between the particles t seconds after they start to move is d m.
\(When t = 2.5 the difference in the vertical height of the particles is 1.6 m. Find\)
A, B, and C are three points on a line of greatest slope of a smooth plane inclined at an angle of \(\theta^\circ\) to the horizontal. A is higher than B and B is higher than C, and the distances AB and BC are 1.76 m and 2.16 m respectively. A particle slides down the plane with constant acceleration \(a \, \text{m s}^{-2}\). The speed of the particle at A is \(u \, \text{m s}^{-1}\) (see diagram). The particle takes 0.8 s to travel from A to B and takes 1.4 s to travel from A to C. Find

A particle P is projected from the top of a smooth ramp with speed u m s-1, and travels down a line of greatest slope. The ramp has length 6.4 m and is inclined at 30° to the horizontal. Another particle Q is released from rest at a point 3.2 m vertically above the bottom of the ramp, at the same instant that P is projected (see diagram). Given that P and Q reach the bottom of the ramp simultaneously, find

A particle P is released from rest at a point on a smooth plane inclined at 30° to the horizontal. Find the speed of P
Particles P and Q move on a line of greatest slope of a smooth inclined plane. P is released from rest at a point O on the line and 2 s later passes through the point A with speed 3.5 m s-1.
(i) Find the acceleration of P and the angle of inclination of the plane.
At the instant that P passes through A the particle Q is released from rest at O. At time t s after Q is released from O, the particles P and Q are 4.9 m apart.
(ii) Find the value of t.
A particle slides down a smooth plane inclined at an angle of \(\alpha^\circ\) to the horizontal. The particle passes through the point \(A\) with speed \(1.5 \text{ m s}^{-1}\), and \(1.2\) s later it passes through the point \(B\) with speed \(4.5 \text{ m s}^{-1}\). Find
A machine for driving a nail into a block of wood causes a hammerhead to drop vertically onto the top of a nail. The mass of the hammerhead is 1.2 kg and the mass of the nail is 0.004 kg (see diagram). The hammerhead hits the nail with speed \(v \text{ m s}^{-1}\) and remains in contact with the nail after the impact. The combined hammerhead and nail move immediately after the impact with speed 40 \(\text{ m s}^{-1}\).
(a) Calculate \(v\), giving your answer as an exact fraction.
(b) The nail is driven 4 cm into the wood. Find the constant force resisting the motion.

An elevator is pulled vertically upwards by a cable. The elevator accelerates at 0.4 m/s2 for 5 s, then travels at constant speed for 25 s. The elevator then decelerates at 0.2 m/s2 until it comes to rest.
(a) Find the greatest speed of the elevator and hence draw a velocity-time graph for the motion of the elevator.
(b) Find the total distance travelled by the elevator.
The mass of the elevator is 1200 kg and there is a crate of mass m kg resting on the floor of the elevator.
(c) Given that the tension in the cable when the elevator is decelerating is 12250 N, find the value of m.
(d) Find the greatest magnitude of the force exerted on the crate by the floor of the elevator, and state its direction.

An elevator moves vertically, supported by a cable. The diagram shows a velocity-time graph which models the motion of the elevator. The graph consists of 7 straight line segments.
The elevator accelerates upwards from rest to a speed of 2 m/s-1 over a period of 1.5 s and then travels at this speed for 4.5 s, before decelerating to rest over a period of 1 s.
The elevator then remains at rest for 6 s, before accelerating to a speed of V m/s-1 downwards over a period of 2 s. The elevator travels at this speed for a period of 5 s, before decelerating to rest over a period of 1.5 s.
(a) Find the acceleration of the elevator during the first 1.5 s.
(b) Given that the elevator starts and finishes its journey on the ground floor, find V.
(c) The combined weight of the elevator and passengers on its upward journey is 1500 kg. Assuming that there is no resistance to motion, find the tension in the elevator cable on its upward journey when the elevator is decelerating.

A particle of mass 0.4 kg is released from rest at a height of 1.8 m above the surface of the water in a tank. There is no instantaneous change of speed when the particle enters the water. The water exerts an upward force of 5.6 N on the particle when it is in the water.
(i) Find the velocity of the particle at the instant when it reaches the surface of the water.
(ii) Find the time that it takes from the instant when the particle enters the water until it comes to instantaneous rest in the water. You may assume that the tank is deep enough so that the particle does not reach the bottom of the tank.
(iii) Sketch a velocity-time graph for the motion of the particle from the instant at which it is released until it comes to instantaneous rest in the water.
A particle of mass 3 kg falls from rest at a point 5 m above the surface of a liquid which is in a container. There is no instantaneous change in speed of the particle as it enters the liquid. The depth of the liquid in the container is 4 m. The downward acceleration of the particle while it is moving in the liquid is 5.5 m s-2.
An elevator is pulled vertically upwards by a cable. The velocity-time graph for the motion is shown above. Find
The mass of the elevator is 800 kg and there is a box of mass 100 kg on the floor of the elevator.

The velocity-time graph shown models the motion of a parachutist falling vertically. There are four stages in the motion:
(i) Show that the total distance fallen is 1048 m.
The weight of the parachutist is 850 N.
(ii) Find the upward force on the parachutist due to the parachute, during the second stage.

The diagram shows the velocity-time graph for the motion of a small stone which falls vertically from rest at a point A above the surface of liquid in a container. The downward velocity of the stone t s after leaving A is v m s-1. The stone hits the surface of the liquid with velocity 7 m s-1 when t = 0.7. It reaches the bottom of the container with velocity 5 m s-1 when t = 1.2.
(i) Find
(ii) Find the deceleration of the stone while it is moving in the liquid.
(iii) Given that the resistance to motion of the stone while it is moving in the liquid has magnitude 0.7 N, find the mass of the stone.

A ring of mass 4 kg is threaded on a smooth circular rigid wire with centre C. The wire is fixed in a vertical plane and the ring is kept at rest by a light string connected to A, the highest point of the circle. The string makes an angle of 25° to the vertical (see diagram).
Find the tension in the string and the magnitude of the normal reaction of the wire on the ring.

The diagram shows a block of mass 10 kg suspended below a horizontal ceiling by two strings AC and BC, of lengths 0.8 m and 0.6 m respectively, attached to fixed points on the ceiling. Angle ACB = 90°. There is a horizontal force of magnitude F N acting on the block. The block is in equilibrium.
\((a) In the case where F = 20, find the tensions in each of the strings.\)
(b) Find the greatest value of F for which the block remains in equilibrium in the position shown.

A small ring R is attached to one end of a light inextensible string of length 70 cm. A fixed rough vertical wire passes through the ring. The other end of the string is attached to a point A on the wire, vertically above R. A horizontal force of magnitude 5.6 N is applied to the point J of the string 30 cm from A and 40 cm from R. The system is in equilibrium with each of the parts AJ and JR of the string taut and angle AJR equal to 90° (see diagram).

A small ring of mass 0.2 kg is threaded on a fixed vertical rod. The end A of a light inextensible string is attached to the ring. The other end C of the string is attached to a fixed point of the rod above A. A horizontal force of magnitude 8 N is applied to the point B of the string, where AB = 1.5 m and BC = 2 m. The system is in equilibrium with the string taut and AB at right angles to BC (see diagram).

A small smooth ring R, of mass 0.6 kg, is threaded on a light inextensible string of length 100 cm. One end of the string is attached to a fixed point A. A small bead B of mass 0.4 kg is attached to the other end of the string, and is threaded on a fixed rough horizontal rod which passes through A. The system is in equilibrium with B at a distance of 80 cm from A (see diagram).

A particle P of weight 5 N is attached to one end of each of two light inextensible strings of lengths 30 cm and 40 cm. The other end of the shorter string is attached to a fixed point A of a rough rod which is fixed horizontally. A small ring S of weight W N is attached to the other end of the longer string and is threaded on to the rod. The system is in equilibrium with the strings taut and AS = 50 cm (see diagram).

One end of a light inextensible string is attached to a fixed point A of a fixed vertical wire. The other end of the string is attached to a small ring B, of mass 0.2 kg, through which the wire passes. A horizontal force of magnitude 5 N is applied to the mid-point M of the string. The system is in equilibrium with the string taut, with B below A, and with angles ∠ABM and ∠BAM equal to 30° (see diagram).
(i) Show that the tension in BM is 5 N.
(ii) The ring is on the point of sliding up the wire. Find the coefficient of friction between the ring and the wire.
(iii) A particle of mass m kg is attached to the ring. The ring is now on the point of sliding down the wire. Given that the coefficient of friction between the ring and the wire is unchanged, find the value of m.

A ring of mass 0.2 kg is threaded on a fixed rough horizontal rod and a light inextensible string is attached to the ring at an angle \(\alpha\) above the horizontal, where \(\cos \alpha = 0.96\). The ring is in limiting equilibrium with the tension in the string \(T\) N (see diagram). Given that the coefficient of friction between the ring and the rod is 0.25, find the value of \(T\).

A ring of mass 4 kg is attached to one end of a light string. The ring is threaded on a fixed horizontal rod and the string is pulled at an angle of 25° below the horizontal (see diagram). With a tension in the string of \(T\) N the ring is in equilibrium.
(i) Find, in terms of \(T\), the horizontal and vertical components of the force exerted on the ring by the rod.
The coefficient of friction between the ring and the rod is 0.4.
(ii) Given that the equilibrium is limiting, find the value of \(T\).

A small ring of mass 0.8 kg is threaded on a rough rod which is fixed horizontally. The ring is in equilibrium, acted on by a force of magnitude 7 N pulling upwards at 45° to the horizontal (see diagram).
(i) Show that the normal component of the contact force acting on the ring has magnitude 3.05 N, correct to 3 significant figures.
(ii) The ring is in limiting equilibrium. Find the coefficient of friction between the ring and the rod.

A ring of mass 1.1 kg is threaded on a fixed rough horizontal rod. A light string is attached to the ring and the string is pulled with a force of magnitude 13 N at an angle \(\alpha\) below the horizontal, where \(\tan \alpha = \frac{5}{12}\) (see diagram). The ring is in equilibrium.
(i) Find the frictional component of the contact force on the ring.
(ii) Find the normal component of the contact force on the ring.
(iii) Given that the equilibrium of the ring is limiting, find the coefficient of friction between the ring and the rod.

A ring of mass 0.3 kg is threaded on a horizontal rough rod. The coefficient of friction between the ring and the rod is 0.8. A force of magnitude 8 N acts on the ring. This force acts at an angle of 10° above the horizontal in the vertical plane containing the rod.
Find the time taken for the ring to move, from rest, 0.6 m along the rod.
The diagram shows a ring of mass 0.1 kg threaded on a fixed horizontal rod. The rod is rough and the coefficient of friction between the ring and the rod is 0.8. A force of magnitude \(T \text{ N}\) acts on the ring in a direction at \(30^\circ\) to the rod, downwards in the vertical plane containing the rod. Initially the ring is at rest.
(a) Find the greatest value of \(T\) for which the ring remains at rest. [4]
(b) Find the acceleration of the ring when \(T = 3\). [3]

A small ring of mass 0.024 kg is threaded on a fixed rough horizontal rod. A light inextensible string is attached to the ring and the string is pulled with a force of magnitude 0.195 N at an angle of \(\theta\) with the horizontal, where \(\sin \theta = \frac{5}{13}\). When the angle \(\theta\) is below the horizontal (see Fig. 1) the ring is in limiting equilibrium.
(i) Find the coefficient of friction between the ring and the rod.
When the angle \(\theta\) is above the horizontal (see Fig. 2) the ring moves.
(ii) Find the acceleration of the ring.

A small ring of weight 12 N is threaded on a fixed rough horizontal rod. A light string is attached to the ring and the string is pulled with a force of 15 N at an angle of 30° to the horizontal.
(i) When the angle of 30° is below the horizontal (see Fig. 1), the ring is in limiting equilibrium. Show that the coefficient of friction between the ring and the rod is 0.666, correct to 3 significant figures.
(ii) When the angle of 30° is above the horizontal (see Fig. 2), the ring is moving with acceleration a m s−2. Find the value of a.

A small ring P of mass 0.03 kg is threaded on a rough vertical rod. A light inextensible string is attached to the ring and is pulled upwards at an angle of 15° to the horizontal. The tension in the string is 2.5 N (see diagram). The ring is in limiting equilibrium and on the point of sliding up the rod. Find the coefficient of friction between the ring and the rod.

The diagram shows a ring of mass 2 kg threaded on a fixed rough vertical rod. A light string is attached to the ring and is pulled upwards at an angle of 30° to the horizontal. The tension in the string is \(T\) N. The coefficient of friction between the ring and the rod is 0.24. Find the two values of \(T\) for which the ring is in limiting equilibrium.

A ring of mass 4 kg is threaded on a fixed rough vertical rod. A light string is attached to the ring, and is pulled with a force of magnitude \(T\) N acting at an angle of \(60^\circ\) to the downward vertical (see diagram). The ring is in equilibrium.
(i) The normal and frictional components of the contact force exerted on the ring by the rod are \(R\) N and \(F\) N respectively. Find \(R\) and \(F\) in terms of \(T\).
(ii) The coefficient of friction between the rod and the ring is 0.7. Find the value of \(T\) for which the ring is about to slip.

A small ring of mass 0.6 kg is threaded on a rough rod which is fixed vertically. The ring is in equilibrium, acted on by a force of magnitude 5 N pulling upwards at 30° to the vertical (see diagram).

The variables x and y satisfy the differential equation \(\frac{dy}{dx} = \frac{y^2 + 4}{x(y + 4)}\) for \(x > 0\). It is given that \(x = 4\) when \(y = 2\sqrt{3}\). Solve the differential equation to obtain the value of \(x\) when \(y = 2\).
The variables x and y are related by the differential equation \((x^2 + 4) \frac{dy}{dx} = 6xy\).
It is given that \(y = 32\) when \(x = 0\). Find an expression for y in terms of x.
Given that \(x = 1\) when \(t = 0\), solve the differential equation
\(\frac{dx}{dt} = \frac{1}{x} - \frac{x}{4}\)
obtaining an expression for \(x^2\) in terms of \(t\).
Given that \(y = 0\) when \(x = 1\), solve the differential equation \(xy \frac{dy}{dx} = y^2 + 4\), obtaining an expression for \(y^2\) in terms of \(x\).
Given that \(y = 2\) when \(x = 0\), solve the differential equation
\(\frac{y}{\frac{dy}{dx}} = 1 + y^2,\)
obtaining an expression for \(y^2\) in terms of \(x\).
Given that \(y = 1\) when \(x = 0\), solve the differential equation \(\frac{dy}{dx} = \frac{y^3 + 1}{y^2}\), obtaining an expression for \(y\) in terms of \(x\).
The variables x and y satisfy the differential equation \(\frac{dy}{dx} = \frac{xy}{1+x^2}\), and \(y = 2\) when \(x = 0\). Solve the differential equation, obtaining a simplified expression for y in terms of x.
A curve is such that the gradient at a general point with coordinates \((x, y)\) is proportional to \(\frac{y}{\sqrt{x+1}}\).
The curve passes through the points with coordinates \((0, 1)\) and \((3, e)\).
By setting up and solving a differential equation, find the equation of the curve, expressing \(y\) in terms of \(x\).
The coordinates (x, y) of a general point of a curve satisfy the differential equation \(x \frac{dy}{dx} = (1 - 2x^2)y\), for \(x > 0\). It is given that \(y = 1\) when \(x = 1\).
Solve the differential equation, obtaining an expression for \(y\) in terms of \(x\).
The variables x and y satisfy the differential equation \((x + 1) y \frac{dy}{dx} = y^2 + 5\).
It is given that \(y = 2\) when \(x = 0\). Solve the differential equation obtaining an expression for \(y^2\) in terms of \(x\).
The coordinates \((x, y)\) of a general point on a curve satisfy the differential equation \(x \frac{dy}{dx} = (2 - x^2)y\).
The curve passes through the point \((1, 1)\). Find the equation of the curve, obtaining an expression for \(y\) in terms of \(x\).
The variables x and y satisfy the differential equation
\((x+1) \frac{dy}{dx} = y(x+2),\)
and it is given that \(y = 2\) when \(x = 1\). Solve the differential equation and obtain an expression for \(y\) in terms of \(x\).
The variables x and y satisfy the differential equation
\(x \frac{dy}{dx} = y(1 - 2x^2)\),
and it is given that \(y = 2\) when \(x = 1\). Solve the differential equation and obtain an expression for y in terms of x in a form not involving logarithms.
The variables x and t satisfy the differential equation
\(t \frac{dx}{dt} = \frac{k - x^3}{2x^2}\),
for \(t > 0\), where \(k\) is a constant. When \(t = 1, x = 1\) and when \(t = 4, x = 2\).
(i) Solve the differential equation, finding the value of \(k\) and obtaining an expression for \(x\) in terms of \(t\). [9]
(ii) State what happens to the value of \(x\) as \(t\) becomes large. [1]
A gardener is filling an ornamental pool with water, using a hose that delivers 30 litres of water per minute. Initially the pool is empty. At time t minutes after filling begins the volume of water in the pool is V litres. The pool has a small leak and loses water at a rate of 0.01V litres per minute.
The differential equation satisfied by V and t is of the form \(\frac{dV}{dt} = a - bV\).
(a) Write down the values of the constants a and b.
\((b) Solve the differential equation and find the value of t when V = 1000.\)
(c) Obtain an expression for V in terms of t and hence state what happens to V as t becomes large.
During an experiment, the number of organisms present at time t days is denoted by N, where N is treated as a continuous variable. It is given that
\(\frac{dN}{dt} = 1.2e^{-0.02t}N^{0.5}\).
When \(t = 0\), the number of organisms present is 100.
The number of birds of a certain species in a forested region is recorded over several years. At time \(t\) years, the number of birds is \(N\), where \(N\) is treated as a continuous variable. The variation in the number of birds is modelled by
\(\frac{dN}{dt} = \frac{N(1800 - N)}{3600}.\)
It is given that \(N = 300\) when \(t = 0\).
(i) Find an expression for \(N\) in terms of \(t\).
(ii) According to the model, how many birds will there be after a long time?
The temperature of a quantity of liquid at time \(t\) is \(\theta\). The liquid is cooling in an atmosphere whose temperature is constant and equal to \(A\). The rate of decrease of \(\theta\) is proportional to the temperature difference \((\theta - A)\). Thus \(\theta\) and \(t\) satisfy the differential equation
\(\frac{d\theta}{dt} = -k(\theta - A),\)
where \(k\) is a positive constant.
(i) Find, in any form, the solution of this differential equation, given that \(\theta = 4A\) when \(t = 0\). [5]
(ii) Given also that \(\theta = 3A\) when \(t = 1\), show that \(k = \ln \frac{3}{2}\). [1]
(iii) Find \(\theta\) in terms of \(A\) when \(t = 2\), expressing your answer in its simplest form. [3]
The number of insects in a population t days after the start of observations is denoted by N. The variation in the number of insects is modelled by a differential equation of the form
\(\frac{dN}{dt} = kN \cos(0.02t)\),
\(where k is a constant and N is taken to be a continuous variable. It is given that N = 125 when t = 0.\)
In a certain chemical reaction the amount, x grams, of a substance present is decreasing. The rate of decrease of x is proportional to the product of x and the time, t seconds, since the start of the reaction. Thus x and t satisfy the differential equation
\(\frac{dx}{dt} = -kxt\),
\(where k is a positive constant. At the start of the reaction, when t = 0, x = 100.\)
(i) Solve this differential equation, obtaining a relation between x, k and t.
(ii) 20 seconds after the start of the reaction the amount of substance present is 90 grams. Find the time after the start of the reaction at which the amount of substance present is 50 grams.
Compressed air is escaping from a container. The pressure of the air in the container at time t is P, and the constant atmospheric pressure of the air outside the container is A. The rate of decrease of P is proportional to the square root of the pressure difference \\(P - A\\). Thus the differential equation connecting P and t is
\\(\frac{dP}{dt} = -k \sqrt{P - A} \\),
where k is a positive constant.
In a certain chemical reaction the amount, x grams, of a substance is increasing. The differential equation satisfied by x and t, the time in seconds since the reaction began, is
\(\frac{dx}{dt} = kxe^{-0.1t}\),
\(where k is a positive constant. It is given that x = 20 at the start of the reaction.\)
(a) Solve the differential equation, obtaining a relation between x, t and k.
(b) Given that x = 40 when t = 10, find the value of k and find the value approached by x as t becomes large.
At time t days after the start of observations, the number of insects in a population is N. The variation in the number of insects is modelled by a differential equation of the form \(\frac{dN}{dt} = kN^{\frac{3}{2}} \cos 0.02t\), where k is a constant and N is a continuous variable. It is given that when t = 0, N = 100.
(a) Solve the differential equation, obtaining a relation between N, k and t.
\((b) Given also that N = 625 when t = 50, find the value of k.\)
(c) Obtain an expression for N in terms of t, and find the greatest value of N predicted by this model.
The variables x and t satisfy the differential equation \(5 \frac{dx}{dt} = (20-x)(40-x)\). It is given that \(x = 10\) when \(t = 0\).
(i) Using partial fractions, solve the differential equation, obtaining an expression for x in terms of t.
(ii) State what happens to the value of x when t becomes large.
In a certain chemical reaction the amount, x grams, of a substance is decreasing. The differential equation relating x and t, the time in seconds since the reaction started, is
\(\frac{dx}{dt} = -\frac{kx}{\sqrt{t}}\),
\(where k is a positive constant. It is given that x = 100 at the start of the reaction.\)
A large field of area 4 km2 is becoming infected with a soil disease. At time t years the area infected is x km2 and the rate of growth of the infected area is given by the differential equation \(\frac{dx}{dt} = kx(4-x)\), where k is a positive constant. It is given that when t = 0, x = 0.4 and that when t = 2, x = 2.
The number of micro-organisms in a population at time t is denoted by M. At any time the variation in M is assumed to satisfy the differential equation
\(\frac{dM}{dt} = k(\sqrt{M}) \cos(0.02t)\),
\(where k is a constant and M is taken to be a continuous variable. It is given that when t = 0, M = 100.\)
The number of organisms in a population at time t is denoted by x. Treating x as a continuous variable, the differential equation satisfied by x and t is
\(\frac{dx}{dt} = \frac{xe^{-t}}{k + e^{-t}},\)
where k is a positive constant.
In a certain country the government charges tax on each litre of petrol sold to motorists. The revenue per year is \(R\) million dollars when the rate of tax is \(x\) dollars per litre. The variation of \(R\) with \(x\) is modelled by the differential equation
\(\frac{dR}{dx} = R \left( \frac{1}{x} - 0.57 \right),\)
where \(R\) and \(x\) are taken to be continuous variables. When \(x = 0.5, R = 16.8\).
(i) Solve the differential equation and obtain an expression for \(R\) in terms of \(x\). [6]
(ii) This model predicts that \(R\) cannot exceed a certain amount. Find this maximum value of \(R\). [3]
A large plantation of area 20 km2 is becoming infected with a plant disease. At time t years the area infected is x km2 and the rate of increase of x is proportional to the ratio of the area infected to the area not yet infected.
When t = 0, x = 1 and \(\frac{dx}{dt} = 1\).
(a) Show that x and t satisfy the differential equation \(\frac{dx}{dt} = \frac{19x}{20-x}\).
(b) Solve the differential equation and show that when t = 1 the value of x satisfies the equation \(x = e^{0.9 + 0.05x}\).
(c) Use an iterative formula based on the equation in part (b), with an initial value of 2, to determine x correct to 2 decimal places. Give the result of each iteration to 4 decimal places.
(d) Calculate the value of t at which the entire plantation becomes infected.
A water tank has vertical sides and a horizontal rectangular base, as shown in the diagram. The area of the base is 2 m2. At time t = 0 the tank is empty and water begins to flow into it at a rate of 1 m3 per hour. At the same time water begins to flow out from the base at a rate of 0.2√h m3 per hour, where h m is the depth of water in the tank at time t hours.
(i) Form a differential equation satisfied by h and t, and show that the time T hours taken for the depth of water to reach 4 m is given by
\(T = \int_0^4 \frac{10}{5 - \sqrt{h}} \, dh.\)
\((ii) Using the substitution u = 5 - √h, find the value of T.\)

The diagram shows a variable point \(P\) with coordinates \((x, y)\) and the point \(N\) which is the foot of the perpendicular from \(P\) to the \(x\)-axis. \(P\) moves on a curve such that, for all \(x \geq 0\), the gradient of the curve is equal in value to the area of the triangle \(OPN\), where \(O\) is the origin.
(i) State a differential equation satisfied by \(x\) and \(y\).
The point with coordinates \((0, 2)\) lies on the curve.
(ii) Solve the differential equation to obtain the equation of the curve, expressing \(y\) in terms of \(x\).
(iii) Sketch the curve.

Naturalists are managing a wildlife reserve to increase the number of plants of a rare species. The number of plants at time t years is denoted by N, where N is treated as a continuous variable.
(i) It is given that the rate of increase of N with respect to t is proportional to (N - 150). Write down a differential equation relating N, t and a constant of proportionality.
(ii) Initially, when t = 0, the number of plants was 650. It was noted that, at a time when there were 900 plants, the number of plants was increasing at a rate of 60 per year. Express N in terms of t.
(iii) The naturalists had a target of increasing the number of plants from 650 to 2000 within 15 years. Will this target be met?
The population of a country at time t years is N millions. At any time, N is assumed to increase at a rate proportional to the product of N and (1 - 0.01N). When t = 0, N = 20 and \(\frac{dN}{dt} = 0.32\).
(i) Treating N and t as continuous variables, show that they satisfy the differential equation \(\frac{dN}{dt} = 0.02N(1 - 0.01N)\).
(ii) Solve the differential equation, obtaining an expression for t in terms of N.
\((iii) Find the time at which the population will be double its value at t = 0.\)
A particular solution of the differential equation
\(3y^2 \frac{dy}{dx} = 4(y^3 + 1) \cos^2 x\)
is such that \(y = 2\) when \(x = 0\). The diagram shows a sketch of the graph of this solution for \(0 \leq x \leq 2\pi\); the graph has stationary points at \(A\) and \(B\). Find the \(y\)-coordinates of \(A\) and \(B\), giving each coordinate correct to 1 decimal place.

A tank containing water is in the form of a cone with vertex C. The axis is vertical and the semi-vertical angle is 60°, as shown in the diagram. At time t = 0, the tank is full and the depth of water is H. At this instant, a tap at C is opened and water begins to flow out. The volume of water in the tank decreases at a rate proportional to \(\sqrt{h}\), where h is the depth of water at time t. The tank becomes empty when \(t = 60\).
(i) Show that h and t satisfy a differential equation of the form \(\frac{dh}{dt} = -Ah^{-\frac{3}{2}}\), where A is a positive constant.
(ii) Solve the differential equation given in part (i) and obtain an expression for t in terms of h and H.
(iii) Find the time at which the depth reaches \(\frac{1}{2}H\).
[The volume V of a cone of vertical height h and base radius r is given by \(V = \frac{1}{3} \pi r^2 h\).]

Liquid is flowing into a small tank which has a leak. Initially the tank is empty and, t minutes later, the volume of liquid in the tank is V cm3. The liquid is flowing into the tank at a constant rate of 80 cm3 per minute. Because of the leak, liquid is being lost from the tank at a rate which, at any instant, is equal to kV cm3 per minute where k is a positive constant.
(i) Write down a differential equation describing this situation and solve it to show that \(V = \frac{1}{k}(80 - 80e^{-kt})\).
(ii) It is observed that \(V = 500\) when \(t = 15\), so that \(k\) satisfies the equation \(k = \frac{4 - 4e^{-15k}}{25}\). Use an iterative formula, based on this equation, to find the value of \(k\) correct to 2 significant figures. Use an initial value of \(k = 0.1\) and show the result of each iteration to 4 significant figures.
(iii) Determine how much liquid there is in the tank 20 minutes after the liquid started flowing, and state what happens to the volume of liquid in the tank after a long time.
In a certain chemical process a substance A reacts with another substance B. The masses in grams of A and B present at time t seconds after the start of the process are x and y respectively. It is given that \(\frac{dy}{dt} = -0.6xy\) and \(x = 5e^{-3t}\). When \(t = 0\), \(y = 70\).
(i) Form a differential equation in y and t. Solve this differential equation and obtain an expression for y in terms of t.
(ii) The percentage of the initial mass of B remaining at time t is denoted by p. Find the exact value approached by p as t becomes large.
In a chemical reaction, a compound X is formed from two compounds Y and Z. The masses in grams of X, Y and Z present at time t seconds after the start of the reaction are x, 10 − x and 20 − x respectively. At any time the rate of formation of X is proportional to the product of the masses of Y and Z present at the time. When t = 0, x = 0 and \(\frac{dx}{dt} = 2\).
(i) Show that x and t satisfy the differential equation \(\frac{dx}{dt} = 0.01(10-x)(20-x)\).
(ii) Solve this differential equation and obtain an expression for x in terms of t.
(iii) State what happens to the value of x when t becomes large.
A certain curve is such that its gradient at a point \((x, y)\) is proportional to \(xy\). At the point \((1, 2)\) the gradient is 4.
(i) By setting up and solving a differential equation, show that the equation of the curve is \(y = 2e^{x^2 - 1}\). [7]
(ii) State the gradient of the curve at the point \((-1, 2)\) and sketch the curve. [2]
For the curve shown in the diagram, the normal to the curve at the point \(P\) with coordinates \((x, y)\) meets the \(x\)-axis at \(N\). The point \(M\) is the foot of the perpendicular from \(P\) to the \(x\)-axis.
The curve is such that for all values of \(x\) in the interval \(0 \leq x < \frac{1}{2}\pi\), the area of triangle \(PMN\) is equal to \(\tan x\).
(a) (i) Show that \(\frac{MN}{y} = \frac{dy}{dx}\).
(ii) Hence show that \(x\) and \(y\) satisfy the differential equation \(\frac{1}{2}y^2 \frac{dy}{dx} = \tan x\).
(b) Given that \(y = 1\) when \(x = 0\), solve this differential equation to find the equation of the curve, expressing \(y\) in terms of \(x\).

A biologist is investigating the spread of a weed in a particular region. At time \(t\) weeks after the start of the investigation, the area covered by the weed is \(A \text{ m}^2\). The biologist claims that the rate of increase of \(A\) is proportional to \(\sqrt{2A - 5}\).
(i) Write down a differential equation representing the biologist’s claim.
(ii) At the start of the investigation, the area covered by the weed was \(7 \text{ m}^2\) and, 10 weeks later, the area covered was \(27 \text{ m}^2\). Assuming that the biologist’s claim is correct, find the area covered 20 weeks after the start of the investigation.
A certain substance is formed in a chemical reaction. The mass of substance formed t seconds after the start of the reaction is x grams. At any time the rate of formation of the substance is proportional to \((20 - x)\). When \(t = 0\), \(x = 0\) and \(\frac{dx}{dt} = 1\).
(i) Show that x and t satisfy the differential equation \(\frac{dx}{dt} = 0.05(20 - x)\). [2]
(ii) Find, in any form, the solution of this differential equation. [5]
(iii) Find x when \(t = 10\), giving your answer correct to 1 decimal place. [2]
(iv) State what happens to the value of x as t becomes very large. [1]
In a model of the expansion of a sphere of radius r cm, it is assumed that, at time t seconds after the start, the rate of increase of the surface area of the sphere is proportional to its volume. When t = 0, r = 5 and \(\frac{dr}{dt} = 2\).
(i) Show that r satisfies the differential equation \(\frac{dr}{dt} = 0.08r^2\).
[The surface area A and volume V of a sphere of radius r are given by the formulae \(A = 4\pi r^2\), \(V = \frac{4}{3}\pi r^3\).]
(ii) Solve this differential equation, obtaining an expression for r in terms of t.
(iii) Deduce from your answer to part (ii) the set of values that t can take, according to this model.
An underground storage tank is being filled with liquid as shown in the diagram. Initially the tank is empty. At time \(t\) hours after filling begins, the volume of liquid is \(V\) m\(^3\) and the depth of liquid is \(h\) m. It is given that \(V = \frac{4}{3}h^3\).
The liquid is poured in at a rate of 20 m\(^3\) per hour, but owing to leakage, liquid is lost at a rate proportional to \(h^2\). When \(h = 1\), \(\frac{dh}{dt} = 4.95\).

In the diagram the tangent to a curve at a general point \(P\) with coordinates \((x, y)\) meets the \(x\)-axis at \(T\). The point \(N\) on the \(x\)-axis is such that \(PN\) is perpendicular to the \(x\)-axis. The curve is such that, for all values of \(x\) in the interval \(0 < x < \frac{1}{2}\pi\), the area of triangle \(PTN\) is equal to \(\tan x\), where \(x\) is in radians.
(i) Using the fact that the gradient of the curve at \(P\) is \(\frac{PN}{TN}\), show that \(\frac{dy}{dx} = \frac{1}{2}y^2 \cot x\).
(ii) Given that \(y = 2\) when \(x = \frac{1}{6}\pi\), solve this differential equation to find the equation of the curve, expressing \(y\) in terms of \(x\).

A model for the height, h metres, of a certain type of tree at time t years after being planted assumes that, while the tree is growing, the rate of increase in height is proportional to \((9 - h)^{\frac{1}{3}}\). It is given that, when t = 0, h = 1 and \(\frac{dh}{dt} = 0.2\).
(i) Show that h and t satisfy the differential equation \(\frac{dh}{dt} = 0.1(9 - h)^{\frac{1}{3}}\).
(ii) Solve this differential equation, and obtain an expression for h in terms of t.
(iii) Find the maximum height of the tree and the time taken to reach this height after planting.
(iv) Calculate the time taken to reach half the maximum height.
In a certain industrial process, a substance is being produced in a container. The mass of the substance in the container t minutes after the start of the process is x grams. At any time, the rate of formation of the substance is proportional to its mass. Also, throughout the process, the substance is removed from the container at a constant rate of 25 grams per minute. When t = 0, x = 1000 and \(\frac{dx}{dt} = 75\).
(i) Show that x and t satisfy the differential equation \(\frac{dx}{dt} = 0.1(x - 250)\).
(ii) Solve this differential equation, obtaining an expression for x in terms of t.
A rectangular reservoir has a horizontal base of area 1000 m2. At time \(t = 0\), it is empty and water begins to flow into it at a constant rate of 30 m3s-1. At the same time, water begins to flow out at a rate proportional to \(\sqrt{h}\), where \(h\) m is the depth of the water at time \(t\) s. When \(h = 1\), \(\frac{dh}{dt} = 0.02\).
(i) Show that \(h\) satisfies the differential equation \(\frac{dh}{dt} = 0.01(3 - \sqrt{h})\).
It is given that, after making the substitution \(x = 3 - \sqrt{h}\), the equation in part (i) becomes \((x - 3) \frac{dx}{dt} = 0.005x\).
(ii) Using the fact that \(x = 3\) when \(t = 0\), solve this differential equation, obtaining an expression for \(t\) in terms of \(x\).
(iii) Find the time at which the depth of water reaches 4 m.
In a chemical reaction a compound X is formed from a compound Y. The masses in grams of X and Y present at time t seconds after the start of the reaction are x and y respectively. The sum of the two masses is equal to 100 grams throughout the reaction. At any time, the rate of formation of X is proportional to the mass of Y at that time. When t = 0, x = 5 and \(\frac{dx}{dt} = 1.9\).
(i) Show that x satisfies the differential equation \(\frac{dx}{dt} = 0.02(100 - x)\). [2]
(ii) Solve this differential equation, obtaining an expression for x in terms of t. [6]
(iii) State what happens to the value of x as t becomes very large. [1]
In an experiment to study the spread of a soil disease, an area of 10 m2 of soil was exposed to infection. In a simple model, it is assumed that the infected area grows at a rate which is proportional to the product of the infected area and the uninfected area. Initially, 5 m2 was infected and the rate of growth of the infected area was 0.1 m2 per day. At time t days after the start of the experiment, an area a m2 is infected and an area (10 - a) m2 is uninfected.
A tank containing water is in the form of a hemisphere. The axis is vertical, the lowest point is A and the radius is r, as shown in the diagram. The depth of water at time t is h. At time t = 0 the tank is full and the depth of the water is r. At this instant a tap at A is opened and water begins to flow out at a rate proportional to \(\sqrt{h}\). The tank becomes empty at time t = 14.
The volume of water in the tank is V when the depth is h. It is given that \(V = \frac{1}{3} \pi (3rh^2 - h^3)\).
(a) Show that h and t satisfy a differential equation of the form \(\frac{dh}{dt} = -\frac{B}{2rh^2 - h^3}\)
where B is a positive constant.
(b) Solve the differential equation and obtain an expression for t in terms of h and r.

In a certain chemical process a substance is being formed, and t minutes after the start of the process there are m grams of the substance present. In the process the rate of increase of m is proportional to \((50 - m)^2\). When \(t = 0\), \(m = 0\) and \(\frac{dm}{dt} = 5\).
(i) Show that m satisfies the differential equation \(\frac{dm}{dt} = 0.002(50 - m)^2\).
(ii) Solve the differential equation, and show that the solution can be expressed in the form \(m = 50 - \frac{500}{t + 10}\).
(iii) Calculate the mass of the substance when \(t = 10\), and find the time taken for the mass to increase from 0 to 45 grams.
(iv) State what happens to the mass of the substance as t becomes very large.
A certain curve is such that its gradient at a point \((x, y)\) is proportional to \(\frac{y}{x\sqrt{x}}\). The curve passes through the points with coordinates \((1, 1)\) and \((4, e)\).
(a) By setting up and solving a differential equation, find the equation of the curve, expressing \(y\) in terms of \(x\). [8]
(b) Describe what happens to \(y\) as \(x\) tends to infinity. [1]
The number of insects in a population t weeks after the start of observations is denoted by N. The population is decreasing at a rate proportional to Ne-0.02t. The variables N and t are treated as continuous, and it is given that when t = 0, N = 1000 and \(\frac{dN}{dt} = -10\).
(i) Show that N and t satisfy the differential equation \(\frac{dN}{dt} = -0.01e^{-0.02t}N\).
\((ii) Solve the differential equation and find the value of t when N = 800.\)
(iii) State what happens to the value of N as t becomes large.
A certain curve is such that its gradient at a general point with coordinates \((x, y)\) is proportional to \(\frac{y^2}{x}\). The curve passes through the points with coordinates \((1, 1)\) and \((e, 2)\). By setting up and solving a differential equation, find the equation of the curve, expressing \(y\) in terms of \(x\).
In the diagram, the tangent to a curve at the point \(P\) with coordinates \((x, y)\) meets the \(x\)-axis at \(T\). The point \(N\) is the foot of the perpendicular from \(P\) to the \(x\)-axis. The curve is such that, for all values of \(x\), the gradient of the curve is positive and \(TN = 2\).
(i) Show that the differential equation satisfied by \(x\) and \(y\) is \(\frac{dy}{dx} = \frac{1}{2}y\).
The point with coordinates \((4, 3)\) lies on the curve.
(ii) Solve the differential equation to obtain the equation of the curve, expressing \(y\) in terms of \(x\).

In a certain chemical reaction, a compound A is formed from a compound B. The masses of A and B at time t after the start of the reaction are x and y respectively and the sum of the masses is equal to 50 throughout the reaction. At any time the rate of increase of the mass of A is proportional to the mass of B at that time.
(i) Explain why \(\frac{dx}{dt} = k(50 - x)\), where k is a constant.
It is given that \(x = 0\) when \(t = 0\), and \(x = 25\) when \(t = 10\).
(ii) Solve the differential equation in part (i) and express x in terms of t.
In a certain chemical process a substance A reacts with and reduces a substance B. The masses of A and B at time t after the start of the process are x and y respectively. It is given that \(\frac{dy}{dt} = -0.2xy\) and \(x = \frac{10}{(1+t)^2}\). At the beginning of the process \(y = 100\).
(i) Form a differential equation in y and t, and solve this differential equation.
(ii) Find the exact value approached by the mass of B as t becomes large. State what happens to the mass of A as t becomes large.
The variables x and y satisfy the differential equation
\(x^2 \frac{dy}{dx} + y^2 + y = 0\).
It is given that \(x = 1\) when \(y = 1\).
(a) Solve the differential equation to obtain an expression for y in terms of x.
(b) State what happens to the value of y when x tends to infinity. Give your answer in an exact form.
(i) Express \(\frac{100}{x^2(10-x)}\) in partial fractions.
(ii) Given that \(x = 1\) when \(t = 0\), solve the differential equation \(\frac{dx}{dt} = \frac{1}{100}x^2(10-x)\), obtaining an expression for \(t\) in terms of \(x\).
(i) Using partial fractions, find \(\int \frac{1}{y(4-y)} \, dy\).
(ii) Given that \(y = 1\) when \(x = 0\), solve the differential equation \(\frac{dy}{dx} = y(4-y)\), obtaining an expression for \(y\) in terms of \(x\).
(iii) State what happens to the value of \(y\) if \(x\) becomes very large and positive.
The variables x and y satisfy the differential equation
\((x + 1)(3x + 1) \frac{dy}{dx} = y,\)
and it is given that \(y = 1\) when \(x = 1\).
Solve the differential equation and find the exact value of \(y\) when \(x = 3\), giving your answer in a simplified form.
The variables x and t satisfy the differential equation \(\frac{dx}{dt} = x^2(1 + 2x)\), and \(x = 1\) when \(t = 0\).
Using partial fractions, solve the differential equation, obtaining an expression for t in terms of x.
The variables x and y satisfy the differential equation
\(\frac{dy}{dx} = \frac{y-1}{(x+1)(x+3)}\).
It is given that \(y = 2\) when \(x = 0\).
Solve the differential equation, obtaining an expression for \(y\) in terms of \(x\).
(i) Express \(\frac{1}{4-y^2}\) in partial fractions.
(ii) The variables \(x\) and \(y\) satisfy the differential equation \(\frac{dy}{dx} = \frac{x}{4-y^2}\), and \(y = 1\) when \(x = 1\). Solve the differential equation, obtaining an expression for \(y\) in terms of \(x\).
(i) Express \(\frac{1}{x(2x+3)}\) in partial fractions.
(ii) The variables \(x\) and \(y\) satisfy the differential equation \(x(2x+3) \frac{dy}{dx} = y\), and it is given that \(y = 1\) when \(x = 1\). Solve the differential equation and calculate the value of \(y\) when \(x = 9\), giving your answer correct to 3 significant figures.
Given that \(y = 1\) when \(x = 0\), solve the differential equation \(\frac{dy}{dx} = 4x(3y^2 + 10y + 3)\), obtaining an expression for \(y\) in terms of \(x\).
(i) Express \(\frac{1}{x^2(2x+1)}\) in the form \(\frac{A}{x^2} + \frac{B}{x} + \frac{C}{2x+1}\).
(ii) The variables \(x\) and \(y\) satisfy the differential equation \(y = x^2(2x+1) \frac{dy}{dx}\), and \(y = 1\) when \(x = 1\). Solve the differential equation and find the exact value of \(y\) when \(x = 2\). Give your value of \(y\) in a form not involving logarithms.
The variables x and y are related by the differential equation \(x \frac{dy}{dx} = 1 - y^2\).
When \(x = 2, y = 0\). Solve the differential equation, obtaining an expression for y in terms of x.
The variables x and y satisfy the differential equation \(\frac{dy}{dx} = xe^{y-x}\), and \(y = 0\) when \(x = 0\).
(a) Solve the differential equation, obtaining an expression for y in terms of x.
(b) Find the value of y when \(x = 1\), giving your answer in the form \(a - \ln b\), where a and b are integers.
The variables x and y satisfy the differential equation
\(e^{2x} \frac{dy}{dx} = 4xy^2\),
and it is given that \(y = 1\) when \(x = 0\).
Solve the differential equation, obtaining an expression for y in terms of x.
The variables x and y satisfy the differential equation \(\frac{dy}{dx} = xe^{x+y}\), and it is given that \(y = 0\) when \(x = 0\).
The variables x and y are related by the differential equation \(\frac{dy}{dx} = \frac{1}{5}x y^{\frac{1}{2}} \sin \left( \frac{1}{3}x \right)\).
(i) Find the general solution, giving y in terms of x.
\((ii) Given that y = 100 when x = 0, find the value of y when x = 25.\)
The variables x and y are related by the differential equation \(\frac{dy}{dx} = \frac{6xe^{3x}}{y^2}\).
It is given that \(y = 2\) when \(x = 0\). Solve the differential equation and hence find the value of \(y\) when \(x = 0.5\), giving your answer correct to 2 decimal places.
The variables x and y satisfy the differential equation
\(e^{4x} \frac{dy}{dx} = \cos^2 3y\).
It is given that \(y = 0\) when \(x = 2\).
Solve the differential equation, obtaining an expression for y in terms of x.
The variables x and y satisfy the differential equation \(\frac{dy}{dx} = \frac{1 + 4y^2}{e^x}\).
It is given that \(y = 0\) when \(x = 1\).
(a) Solve the differential equation, obtaining an expression for y in terms of x.
(b) State what happens to the value of y as x tends to infinity.
The variables x and θ satisfy the differential equation
\(\sin \frac{1}{2} \theta \frac{dx}{d\theta} = (x + 2) \cos \frac{1}{2} \theta\)
for \(0 < \theta < \pi\). It is given that \(x = 1\) when \(\theta = \frac{1}{3} \pi\). Solve the differential equation and obtain an expression for \(x\) in terms of \(\cos \theta\).
(i) Differentiate \(\frac{1}{\sin^2 \theta}\) with respect to \(\theta\).
(ii) The variables \(x\) and \(\theta\) satisfy the differential equation \(x \tan \theta \frac{dx}{d\theta} + \csc^2 \theta = 0\), for \(0 < \theta < \frac{1}{2}\pi\) and \(x > 0\). It is given that \(x = 4\) when \(\theta = \frac{1}{6}\pi\). Solve the differential equation, obtaining an expression for \(x\) in terms of \(\theta\).
The variables x and y satisfy the differential equation \(\frac{dy}{dx} = ky^3 e^{-x}\), where \(k\) is a constant. It is given that \(y = 1\) when \(x = 0\), and that \(y = \sqrt{e}\) when \(x = 1\). Solve the differential equation, obtaining an expression for \(y\) in terms of \(x\).
The variables x and θ satisfy the differential equation
\(x \cos^2 \theta \frac{dx}{d\theta} = 2 \tan \theta + 1,\)
for \(0 \leq \theta < \frac{1}{2}\pi\) and \(x > 0\). It is given that \(x = 1\) when \(\theta = \frac{1}{4}\pi\).
(i) Show that \(\frac{d}{d\theta}(\tan^2 \theta) = \frac{2 \tan \theta}{\cos^2 \theta}\).
(ii) Solve the differential equation and calculate the value of \(x\) when \(\theta = \frac{1}{3}\pi\), giving your answer correct to 3 significant figures.
The variables x and y satisfy the differential equation \(\frac{dy}{dx} = 4 \cos^2 y \tan x\), for \(0 \leq x < \frac{1}{2}\pi\), and \(x = 0\) when \(y = \frac{1}{4}\pi\). Solve this differential equation and find the value of \(x\) when \(y = \frac{1}{3}\pi\).
The variables x and y satisfy the differential equation
\(\frac{dy}{dx} = e^{-2y} \tan^2 x\),
for \(0 \leq x < \frac{1}{2}\pi\), and it is given that \(y = 0\) when \(x = 0\). Solve the differential equation and calculate the value of \(y\) when \(x = \frac{1}{4}\pi\).
The variables x and θ satisfy the differential equation
\((3 + \\cos 2\theta) \frac{dx}{d\theta} = x \sin 2\theta,\)
and it is given that \(x = 3\) when \(\theta = \frac{1}{4}\pi.\)
(i) Solve the differential equation and obtain an expression for \(x\) in terms of \(\theta.\) [7]
(ii) State the least value taken by \(x.\) [1]
The variables x and θ satisfy the differential equation \(\frac{dx}{dθ} = (x + 2) \sin^2 2θ\), and it is given that \(x = 0\) when \(θ = 0\). Solve the differential equation and calculate the value of x when \(θ = \frac{1}{4}π\), giving your answer correct to 3 significant figures.
The variables x and θ satisfy the differential equation
\(2 \cos^2 \theta \frac{dx}{d\theta} = \sqrt{2x + 1}\),
and \(x = 0\) when \(\theta = \frac{1}{4}\pi\). Solve the differential equation and obtain an expression for \(x\) in terms of \(\theta\).
The variables x and θ satisfy the differential equation
\(\frac{x}{\tan \theta} \frac{\mathrm{d}x}{\mathrm{d}\theta} = x^2 + 3.\)
It is given that \(x = 1\) when \(\theta = 0\).
Solve the differential equation, obtaining an expression for \(x^2\) in terms of \(\theta\).
The variables x and y are related by the differential equation
\(\frac{dy}{dx} = \frac{6ye^{3x}}{2 + e^{3x}}\).
Given that \(y = 36\) when \(x = 0\), find an expression for \(y\) in terms of \(x\).
The variables x and y satisfy the differential equation
\(\frac{dy}{dx} = e^{2x+y}\),
and \(y = 0\) when \(x = 0\). Solve the differential equation, obtaining an expression for y in terms of x.
The variables x and θ are related by the differential equation
\(\sin 2θ \frac{dx}{dθ} = (x + 1) \cos 2θ\),
where \(0 < θ < \frac{1}{2}π\). When \(θ = \frac{1}{12}π\), \(x = 0\). Solve the differential equation, obtaining an expression for \(x\) in terms of \(θ\), and simplifying your answer as far as possible.
The variables x and t are related by the differential equation
\(e^{2t} \frac{dx}{dt} = \cos^2 x\),
where \(t \geq 0\). When \(t = 0\), \(x = 0\).
(i) Solve the differential equation, obtaining an expression for \(x\) in terms of \(t\). [6]
(ii) State what happens to the value of \(x\) when \(t\) becomes very large. [1]
(iii) Explain why \(x\) increases as \(t\) increases. [1]
(a) The variables x and y satisfy the differential equation \(\frac{dy}{dx} = \frac{4 + 9y^2}{e^{2x+1}}\).
It is given that \(y = 0\) when \(x = 1\).
Solve the differential equation, obtaining an expression for y in terms of x.
(b) State what happens to the value of y as x tends to infinity. Give your answer in an exact form.
The variables x and y satisfy the differential equation
\(\cos 2x \frac{dy}{dx} = \frac{4 \tan 2x}{\sin^2 3y}\),
where \(0 \leq x < \frac{1}{4}\pi\). It is given that \(y = 0\) when \(x = \frac{1}{6}\pi\).
Solve the differential equation to obtain the value of x when \(y = \frac{1}{6}\pi\). Give your answer correct to 3 decimal places.
The variables x and y satisfy the differential equation
\(\frac{dy}{dx} = e^{3y} \sin^2 2x\).
It is given that \(y = 0\) when \(x = 0\).
Solve the differential equation and find the value of \(y\) when \(x = \frac{1}{2}\).
The variables x and θ satisfy the differential equation
\(x \sin^2 \theta \frac{dx}{d\theta} = \tan^2 \theta - 2 \cot \theta,\)
for \(0 < \theta < \frac{1}{2}\pi\) and \(x > 0\). It is given that \(x = 2\) when \(\theta = \frac{1}{4}\pi\).
(a) Show that \(\frac{d}{d\theta}(\cot^2 \theta) = -\frac{2 \cot \theta}{\sin^2 \theta}\).
(You may assume without proof that the derivative of \(\cot \theta\) with respect to \(\theta\) is \(-\csc^2 \theta\).) [1]
(b) Solve the differential equation and find the value of \(x\) when \(\theta = \frac{1}{6}\pi\). [7]
(a) Given that \(y = \ln(\ln x)\), show that \(\frac{dy}{dx} = \frac{1}{x \ln x}\).
The variables \(x\) and \(t\) satisfy the differential equation \(x \ln x + t \frac{dx}{dt} = 0\).
It is given that \(x = e\) when \(t = 2\).
(b) Solve the differential equation obtaining an expression for \(x\) in terms of \(t\), simplifying your answer.
(c) Hence state what happens to the value of \(x\) as \(t\) tends to infinity.
The variables x and y satisfy the differential equation
\((1 - \\cos x) \frac{dy}{dx} = y \sin x.\)
It is given that \(y = 4\) when \(x = \pi.\)
(a) Solve the differential equation, obtaining an expression for \(y\) in terms of \(x.\) [6]
(b) Sketch the graph of \(y\) against \(x\) for \(0 < x < 2\pi.\) [1]
The variables x and t satisfy the differential equation
\(e^{3t} \frac{dx}{dt} = \cos^2 2x\),
for \(t \geq 0\). It is given that \(x = 0\) when \(t = 0\).
(a) Solve the differential equation and obtain an expression for \(x\) in terms of \(t\). [7]
(b) State what happens to the value of \(x\) when \(t\) tends to infinity. [1]
The diagram shows the graphs with equations \(y = f(x)\) and \(y = g(x)\).
Describe fully a sequence of two transformations which transforms the graph of \(y = f(x)\) to the graph of \(y = g(x)\). Make clear the order in which the transformations should be applied.

(a) The first, second and third terms of an arithmetic progression are \(4k\), \(k^2\) and \(8k\) respectively, where \(k\) is a non-zero constant.
(b) The fourth and sixth terms of a geometric progression are 36 and 6 respectively. The common ratio of the progression is positive.
Find the sum to infinity of the progression. Give your answer in the form \(\frac{a}{\sqrt{b} - c}\), where \(a\), \(b\) and \(c\) are integers.
(a) Express \(x^2 + 4x + 2\) in the form \((x+a)^2 + b\), where \(a\) and \(b\) are integers.
The functions \(f\) and \(g\) are defined as follows.
\(f(x) = x^2 + 4x + 2\) for \(x \leq -2\)
\(g(x) = -x - 4\) for \(x \geq -2\)
(b) (i) Find an expression for \(f^{-1}(x)\).
(ii) Find an expression for \((gf)^{-1}(x)\).
Find the coordinates of the points of intersection of the curve and the line with equations
\(2xy + 5y^2 = 24\) and \(2x + y + 4 = 0\).
The coefficient of \(x^7\) in the expansion of \(\left( px^2 + \frac{4}{p}x \right)^5\) is 1280.
Find the value of the constant \(p\).
A point P is moving along the curve with equation \(y = ax^{\frac{3}{2}} - 12x\) in such a way that the x-coordinate of P is increasing at a constant rate of 5 units per second.
(a) Find the rate at which the y-coordinate of P is changing when \(x = 9\). Give your answer in terms of the constant \(a\).
(b) Given that the curve has a minimum point when \(x = \frac{1}{4}\), find the value of \(a\).
The equation of a curve is \(y = 4 \cos 2x + 3\) for \(0 \leq x \leq 2\pi\).

The diagram shows the curve with equation \(y = \frac{9}{(5x+4)^{\frac{1}{2}}}\) and the line \(y = 6 - 3x\). The line and the curve intersect at the point \(P\) which has y-coordinate 3.
Find the area of the shaded region.

(a) Prove the identity \(\frac{\tan \theta + 7}{\tan^2 \theta - 3} \equiv \frac{\sin \theta \cos \theta + 7 \cos^2 \theta}{1 - 4 \cos^2 \theta}\).
(b) Hence solve the equation \(\frac{\sin \theta \cos \theta + 7 \cos^2 \theta}{1 - 4 \cos^2 \theta} = \frac{5}{\tan \theta}\) for \(0^\circ \leq \theta \leq 180^\circ\).
The diagram shows the circle with equation \(x^2 + y^2 - 14x + 8y + 36 = 0\) and the line \(y = -2\). The line intersects the circle at the points \(A\) and \(B\). The centre of the circle is \(C\).
(a) Find the coordinates of \(A\), \(B\) and \(C\).
(b) Find the angle \(ACB\) in radians. Give your answer correct to 3 significant figures.
(c) The chord \(AB\) divides the circle into two segments. Find the area of the larger segment.

The equation of a curve is such that \(\frac{d^2y}{dx^2} = -\frac{24}{x^3}\). It is given that the curve has a stationary point at \((-2, 19)\).
(a) Find an expression for \(\frac{dy}{dx}\).
(b) Find the \(x\)-coordinate of the other stationary point of the curve, and determine the nature of this stationary point.
(c) Find the equation of the curve.
(d) Find the equation of the normal to the curve at the point where \(\frac{dy}{dx} = -\frac{9}{4}\) and \(x\) is positive. Express your answer in the form \(px + qy + r = 0\), where \(p, q\) and \(r\) are integers.
Solve the quadratic equation \((3+i)w^2 - 2w + 3 - i = 0\), giving your answers in the form \(x + iy\), where \(x\) and \(y\) are real.
(a) On an Argand diagram, sketch the locus of points representing complex numbers \(z\) satisfying \(|z + 3 - 2i| = 2\).
(b) Find the least value of \(|z|\) for points on this locus, giving your answer in an exact form.
(a) The complex number z is given by \(z = \frac{4 - 3i}{1 - 2i}\).
(i) Express \(z\) in the form \(x + iy\), where \(x\) and \(y\) are real.
(ii) Find the modulus and argument of \(z\).
(b) Find the two square roots of the complex number \(5 - 12i\), giving your answers in the form \(x + iy\), where \(x\) and \(y\) are real.
The complex number \(\frac{2}{-1+i}\) is denoted by \(u\).
(i) Find the modulus and argument of \(u\) and \(u^2\).
(ii) Sketch an Argand diagram showing the points representing the complex numbers \(u\) and \(u^2\). Shade the region whose points represent the complex numbers \(z\) which satisfy both the inequalities \(|z| < 2\) and \(|z-u^2| < |z-u|\).
The complex number u is given by
\(u = \frac{3+i}{2-i}\).
The complex number 2 + i is denoted by u. Its complex conjugate is denoted by u*.
(i) Show, on a sketch of an Argand diagram with origin O, the points A, B and C representing the complex numbers u, u* and u + u* respectively. Describe in geometrical terms the relationship between the four points O, A, B and C. [4]
(ii) Express \(\frac{u}{u^*}\) in the form \(x + iy\), where x and y are real. [3]
(iii) By considering the argument of \(\frac{u}{u^*}\), or otherwise, prove that \(\arctan\left(\frac{4}{3}\right) = 2 \arctan\left(\frac{1}{2}\right)\). [2]
The equation \(2x^3 + x^2 + 25 = 0\) has one real root and two complex roots.
(i) Solve the equation \(z^2 - 2iz - 5 = 0\), giving your answers in the form \(x + iy\) where \(x\) and \(y\) are real.
(ii) Find the modulus and argument of each root.
(iii) Sketch an Argand diagram showing the points representing the roots.
The complex numbers 1 + 3i and 4 + 2i are denoted by u and v respectively.
In an Argand diagram, with origin O, the points A, B and C represent the numbers u, v and u - v respectively.
(i) Find the roots of the equation \(z^2 - z + 1 = 0\), giving your answers in the form \(x + iy\), where \(x\) and \(y\) are real.
(ii) Obtain the modulus and argument of each root.
(iii) Show that each root also satisfies the equation \(z^3 = -1\).
The complex number u is given by \(u = \frac{7 + 4i}{3 - 2i}\).
The complex number 2i is denoted by u. The complex number with modulus 1 and argument \(\frac{2}{3} \pi\) is denoted by w.
(i) Find in the form x + iy, where x and y are real, the complex numbers w, uw and \(\frac{u}{w}\).
(ii) Sketch an Argand diagram showing the points U, A and B representing the complex numbers u, uw and \(\frac{u}{w}\) respectively.
(iii) Prove that triangle UAB is equilateral.
The polynomial \(x^3 + 5x^2 + 31x + 75\) is denoted by \(p(x)\).
(a) Show that \((x + 3)\) is a factor of \(p(x)\).
(b) Show that \(z = -1 + 2\sqrt{6}i\) is a root of \(p(z) = 0\).
(c) Hence find the complex numbers \(z\) which are roots of \(p(z^2) = 0\).
(a) Find the two square roots of the complex number \(-3 + 4i\), giving your answers in the form \(x + iy\), where \(x\) and \(y\) are real.
(b) The complex number \(z\) is given by
\(z = \frac{-1 + 3i}{2 + i}.\)
The complex number \(1 + i \sqrt{3}\) is denoted by \(u\).
(i) Express \(u\) in the form \(r(\cos \theta + i \sin \theta)\), where \(r > 0\) and \(-\pi < \theta \leq \pi\). Hence, or otherwise, find the modulus and argument of \(u^2\) and \(u^3\).
(ii) Show that \(u\) is a root of the equation \(z^2 - 2z + 4 = 0\), and state the other root of this equation.
(iii) Sketch an Argand diagram showing the points representing the complex numbers \(i\) and \(u\). Shade the region whose points represent every complex number \(z\) satisfying both the inequalities \(|z-i| \leq 1\) and \(\arg z \geq \arg u\).
Solve the equation \(\frac{5z}{1 + 2i} - zz^* + 30 + 10i = 0\), giving your answers in the form \(x + iy\), where \(x\) and \(y\) are real.
(a) On an Argand diagram, shade the region whose points represent complex numbers \(z\) satisfying the inequalities \(-\frac{1}{3}\pi \leq \arg(z - 1 - 2i) \leq \frac{1}{3}\pi\) and \(\text{Re} \, z \leq 3\).
(b) Calculate the least value of \(\arg z\) for points in the region from (a). Give your answer in radians correct to 3 decimal places.
Solve the quadratic equation \((1 - 3i)z^2 - (2 + i)z + i = 0\), giving your answers in the form \(x + iy\), where \(x\) and \(y\) are real.
(a) On a sketch of an Argand diagram, shade the region whose points represent complex numbers \(z\) satisfying the inequalities \(|z + 2| \leq 2\) and \(\text{Im} \, z \geq 1\).
(b) Find the greatest value of \(\arg z\) for points in the shaded region.
(a) Solve the equation \(z^2 - 6iz - 12 = 0\), giving the answers in the form \(x + iy\), where \(x\) and \(y\) are real and exact.
(b) On a sketch of an Argand diagram with origin \(O\), show points \(A\) and \(B\) representing the roots of the equation in part (a).
(c) Find the exact modulus and argument of each root.
(d) Hence show that the triangle \(OAB\) is equilateral.
The complex numbers u and w are defined by u = 2e\frac{1}{4} \pi i and w = 3e\frac{1}{3} \pi i.
(a) Find \(\frac{u^2}{w}\), giving your answer in the form \(re^{i\theta}\), where \(r > 0\) and \(-\pi < \theta \leq \pi\). Give the exact values of \(r\) and \(\theta\).
(b) State the least positive integer \(n\) such that both \(\text{Im} \ w^n = 0\) and \(\text{Re} \ w^n > 0\).
On a sketch of an Argand diagram shade the region whose points represent complex numbers \(z\) satisfying the inequalities \(|z| \leq 3\), \(\text{Re} \, z \geq -2\) and \(\frac{1}{4}\pi \leq \arg z \leq \pi\).
The complex number 3 - i is denoted by u.
(a) Show, on an Argand diagram with origin O, the points A, B and C representing the complex numbers u, u^* and u^* - u respectively. State the type of quadrilateral formed by the points O, A, B and C.
(b) Express \(\frac{u^*}{u}\) in the form \(x + iy\), where \(x\) and \(y\) are real.
(c) By considering the argument of \(\frac{u^*}{u}\), or otherwise, prove that \(\arctan\left(\frac{3}{4}\right) = 2 \arctan\left(\frac{1}{3}\right)\).
On an Argand diagram, shade the region whose points represent complex numbers \(z\) satisfying the inequalities \(|z - 1 + 2i| \leq |z|\) and \(|z - 2| \leq 1\).
The complex number \(-1 + \sqrt{7}i\) is denoted by \(u\). It is given that \(u\) is a root of the equation
\(2x^3 + 3x^2 + 14x + k = 0,\)
where \(k\) is a real constant.
(a) Find the value of \(k\). [3]
(b) Find the other two roots of the equation. [4]
(c) On an Argand diagram, sketch the locus of points representing complex numbers \(z\) satisfying the equation \(|z - u| = 2\). [2]
(d) Determine the greatest value of \(\arg z\) for points on this locus, giving your answer in radians. [2]
The complex number \(u\) is defined by \(u = \frac{\sqrt{2} - a\sqrt{2}i}{1 + 2i}\), where \(a\) is a positive integer.
(a) Express \(u\) in terms of \(a\), in the form \(x + iy\), where \(x\) and \(y\) are real and exact.
It is now given that \(a = 3\).
(b) Express \(u\) in the form \(re^{i\theta}\), where \(r > 0\) and \(-\pi < \theta \leq \pi\), giving the exact values of \(r\) and \(\theta\).
(c) Using your answer to part (b), find the two square roots of \(u\). Give your answers in the form \(re^{i\theta}\) where \(r > 0\) and \(-\pi < \theta \leq \pi\), giving the exact values of \(r\) and \(\theta\).
Find the complex numbers \(w\) which satisfy the equation \(w^2 + 2iw^* = 1\) and are such that \(\text{Re} \, w \leq 0\). Give your answers in the form \(x + iy\), where \(x\) and \(y\) are real.
On a sketch of an Argand diagram, shade the region whose points represent complex numbers \(z\) satisfying the inequalities \(|z + 2 - 3i| \leq 2\) and \(\text{arg} \, z \leq \frac{3}{4}\pi\).
\(The complex number -\sqrt{3} + i is denoted by u.\)
\((a) Express u in the form re^{i\theta}, where r > 0 and -\pi < \theta \leq \pi, giving the exact values of r and \theta.\)
(b) Hence show that u^6 is real and state its value.
(c) (i) On a sketch of an Argand diagram, shade the region whose points represent complex numbers z satisfying the inequalities 0 \leq \arg(z - u) \leq \frac{1}{4}\pi and \text{Re } z \leq 2.
(ii) Find the greatest value of |z| for points in the shaded region. Give your answer correct to 3 significant figures.
(a) On a sketch of an Argand diagram, shade the region whose points represent complex numbers \(z\) satisfying the inequalities \(|z - 3 - 2i| \leq 1\) and \(\text{Im} \, z \geq 2\).
(b) Find the greatest value of \(\arg z\) for points in the shaded region, giving your answer in degrees.
(a) Given the complex numbers \(u = a + ib\) and \(w = c + id\), where \(a, b, c\) and \(d\) are real, prove that \((u + w)^* = u^* + w^*\).
(b) Solve the equation \((z + 2 + i)^* + (2 + i)z = 0\), giving your answer in the form \(x + iy\) where \(x\) and \(y\) are real.
The complex number 1 + 2i is denoted by u. The polynomial 2x^3 + ax^2 + 4x + b, where a and b are real constants, is denoted by p(x). It is given that u is a root of the equation p(x) = 0.
(a) Find the values of a and b.
(b) State a second complex root of this equation.
(c) Find the real factors of p(x).
(d) (i) On a sketch of an Argand diagram, shade the region whose points represent complex numbers z satisfying the inequalities |z - u| ≤ √5 and arg z ≤ 1/4 π.
(ii) Find the least value of Im z for points in the shaded region. Give your answer in an exact form.
(a) Verify that \(-1 + \sqrt{2}i\) is a root of the equation \(z^4 + 3z^2 + 2z + 12 = 0\).
(b) Find the other roots of this equation.
\(The complex number u is given by u = 10 - 4√6i.\)
Find the two square roots of u, giving your answers in the form a + ib, where a and b are real and exact.
It is given that \(\frac{2 + 3ai}{a + 2i} = \lambda(2 - i)\), where \(a\) and \(\lambda\) are real constants.
(a) Show that \(3a^2 + 4a - 4 = 0\).
(b) Hence find the possible values of \(a\) and the corresponding values of \(\lambda\).
On a sketch of an Argand diagram, shade the region whose points represent complex numbers \(z\) satisfying the inequalities \(|z + 1 - i| \leq 1\) and \(\arg(z - 1) \leq \frac{3}{4}\pi\).
(a) Solve the equation \(z^2 - 2piz - q = 0\), where \(p\) and \(q\) are real constants.
In an Argand diagram with origin \(O\), the roots of this equation are represented by the distinct points \(A\) and \(B\).
(b) Given that \(A\) and \(B\) lie on the imaginary axis, find a relation between \(p\) and \(q\).
(c) Given instead that triangle \(OAB\) is equilateral, express \(q\) in terms of \(p\).
\(The complex numbers u and v are defined by u = -4 + 2i and v = 3 + i.\)
(a) Find \(\frac{u}{v}\) in the form x + iy, where x and y are real.
(b) Hence express \(\frac{u}{v}\) in the form \(re^{i\theta}\), where r and \(\theta\) are exact.
In an Argand diagram, with origin O, the points A, B and C represent the complex numbers u, v and 2u + v respectively.
(c) State fully the geometrical relationship between OA and BC.
(d) Prove that angle AOB = \(\frac{3}{4}\pi\).
The complex number u is defined by
\(u = \frac{7+i}{1-i}\).
(a) Express u in the form \(x + iy\), where \(x\) and \(y\) are real.
(b) Show on a sketch of an Argand diagram the points A, B and C representing u, \(7 + i\) and \(1 - i\) respectively.
(c) By considering the arguments of \(7 + i\) and \(1 - i\), show that
\(\arctan\left(\frac{4}{3}\right) = \arctan\left(\frac{1}{7}\right) + \frac{1}{4}\pi\).
(a) Verify that \(-1 + \sqrt{5}i\) is a root of the equation \(2x^3 + x^2 + 6x - 18 = 0\).
(b) Find the other roots of this equation.
On a sketch of an Argand diagram, shade the region whose points represent complex numbers \(z\) satisfying the inequalities \(|z| \geq 2\) and \(|z - 1 + i| \leq 1\).
(a) The complex numbers u and w are such that
\(u - w = 2i\) and \(uw = 6\).
Find u and w, giving your answers in the form x + iy, where x and y are real and exact.
(b) On a sketch of an Argand diagram, shade the region whose points represent complex numbers z satisfying the inequalities
\(|z - 2 - 2i| \leq 2\), \(0 \leq \arg z \leq \frac{\pi}{4}\) and \(\text{Re } z \leq 3\).
(a) Solve the equation \((1 + 2i)w + iw^* = 3 + 5i\). Give your answer in the form \(x + iy\), where \(x\) and \(y\) are real.
(b) (i) On a sketch of an Argand diagram, shade the region whose points represent complex numbers \(z\) satisfying the inequalities \(|z - 2 - 2i| \leq 1\) and \(\arg(z - 4i) \geq -\frac{1}{4}\pi\).
(ii) Find the least value of \(\text{Im } z\) for points in this region, giving your answer in an exact form.
(a) The complex number u is defined by \(u = \frac{3i}{a + 2i}\), where a is real.
(b)
(a) The complex numbers \(v\) and \(w\) satisfy the equations
\(v + iw = 5\) and \((1 + 2i)v - w = 3i\).
Solve the equations for \(v\) and \(w\), giving your answers in the form \(x + iy\), where \(x\) and \(y\) are real.
(b) (i) On an Argand diagram, sketch the locus of points representing complex numbers \(z\) satisfying \(|z - 2 - 3i| = 1\).
(ii) Calculate the least value of \(\arg z\) for points on this locus.
(a) On a sketch of an Argand diagram, shade the region whose points represent complex numbers \(z\) satisfying the inequalities \(|z - 4 - 3i| \leq 2\) and \(\text{Re} \, z \leq 3\).
(b) Find the greatest value of \(\arg z\) for points in this region.
The complex number with modulus 1 and argument \(\frac{1}{3} \pi\) is denoted by \(w\).
(i) Express \(w\) in the form \(x + iy\), where \(x\) and \(y\) are real and exact. [1]
The complex number \(1 + 2i\) is denoted by \(u\). The complex number \(v\) is such that \(|v| = 2|u|\) and \(\arg v = \arg u + \frac{1}{3} \pi\).
(ii) Sketch an Argand diagram showing the points representing \(u\) and \(v\). [2]
(iii) Explain why \(v\) can be expressed as \(2uw\). Hence find \(v\), giving your answer in the form \(a + ib\), where \(a\) and \(b\) are real and exact. [4]
(a) Find the complex number \(z\) satisfying the equation
\(z + \frac{iz}{z^*} - 2 = 0,\)
where \(z^*\) denotes the complex conjugate of \(z\). Give your answer in the form \(x + iy\), where \(x\) and \(y\) are real.
(b) (i) On a single Argand diagram sketch the loci given by the equations \(|z - 2i| = 2\) and \(\text{Im} \, z = 3\), where \(\text{Im} \, z\) denotes the imaginary part of \(z\).
(ii) In the first quadrant the two loci intersect at the point \(P\). Find the exact argument of the complex number represented by \(P\).
(a) The complex number u is given by u = -3 - (2\sqrt{10})i. Showing all necessary working and without using a calculator, find the square roots of u. Give your answers in the form a + ib, where the numbers a and b are real and exact.
(b) On a sketch of an Argand diagram shade the region whose points represent complex numbers z satisfying the inequalities |z - 3 - i| \leq 3, arg z \geq \frac{1}{4}\pi and Im z \geq 2, where Im z denotes the imaginary part of the complex number z.
The complex number u is defined by
\(u = \frac{4i}{1 - (\sqrt{3})i}\).
\(It is given that the complex number -1 + (\sqrt{3})i is a root of the equation\)
\(kx^3 + 5x^2 + 10x + 4 = 0\),
where \(k\) is a real constant.
(i) Write down another root of the equation.
(ii) Find the value of \(k\) and the third root of the equation.
The complex number \((\sqrt{3}) + i\) is denoted by \(u\).
(a) Showing all working and without using a calculator, solve the equation
\((1 + i)z^2 - (4 + 3i)z + 5 + i = 0.\)
Give your answers in the form x + iy, where x and y are real.
(b) The complex number u is given by
\(u = -1 - i.\)
On a sketch of an Argand diagram show the point representing u. Shade the region whose points represent complex numbers satisfying the inequalities |z| < |z - 2i| and \(\frac{1}{4}\pi < \text{arg}(z - u) < \frac{1}{2}\pi\).
(a) (i) Without using a calculator, express the complex number \(\frac{2 + 6i}{1 - 2i}\) in the form \(x + iy\), where \(x\) and \(y\) are real.
(ii) Hence, without using a calculator, express \(\frac{2 + 6i}{1 - 2i}\) in the form \(r(\cos \theta + i \sin \theta)\), where \(r > 0\) and \(-\pi < \theta \leq \pi\), giving the exact values of \(r\) and \(\theta\).
(b) On a sketch of an Argand diagram, shade the region whose points represent complex numbers \(z\) satisfying both the inequalities \(|z - 3i| \leq 1\) and \(\text{Re } z \leq 0\), where \(\text{Re } z\) denotes the real part of \(z\). Find the greatest value of \(\arg z\) for points in this region, giving your answer in radians correct to 2 decimal places.
(a) Showing all necessary working, express the complex number \(\frac{2 + 3i}{1 - 2i}\) in the form \(re^{i\theta}\), where \(r > 0\) and \(-\pi < \theta \leq \pi\). Give the values of \(r\) and \(\theta\) correct to 3 significant figures.
(b) On an Argand diagram sketch the locus of points representing complex numbers \(z\) satisfying the equation \(|z - 3 + 2i| = 1\). Find the least value of \(|z|\) for points on this locus, giving your answer in an exact form.
(a) Find the complex number z satisfying the equation
\(3z - iz^* = 1 + 5i\),
where \(z^*\) denotes the complex conjugate of \(z\).
(b) On a sketch of an Argand diagram, shade the region whose points represent complex numbers \(z\) which satisfy both the inequalities \(|z| \leq 3\) and \(\text{Im } z \geq 2\), where \(\text{Im } z\) denotes the imaginary part of \(z\). Calculate the greatest value of \(\arg z\) for points in this region. Give your answer in radians correct to 2 decimal places.
The complex number u is defined by \(u = \frac{3 + 2i}{a - 5i}\), where a is real.
(a) Express u in the Cartesian form \(x + iy\), where x and y are in terms of a.
(b) Given that \(\arg u = \frac{1}{4}\pi\), find the value of a.
The complex numbers \(-3\sqrt{3} + i\) and \(\sqrt{3} + 2i\) are denoted by \(u\) and \(v\) respectively.
(i) Showing all working and without using a calculator, solve the equation \(z^2 + (2\sqrt{6})z + 8 = 0\), giving your answers in the form \(x + iy\), where \(x\) and \(y\) are real and exact.
(ii) Sketch an Argand diagram showing the points representing the roots.
(iii) The points representing the roots are \(A\) and \(B\), and \(O\) is the origin. Find angle \(AOB\).
(iv) Prove that triangle \(AOB\) is equilateral.
The complex number 1 + 2i is denoted by u.
\((i) It is given that u is a root of the equation 2x^3 - x^2 + 4x + k = 0, where k is a constant.\)
(a) Showing all working and without using a calculator, find the value of k.
(b) Showing all working and without using a calculator, find the other two roots of this equation.
(ii) On an Argand diagram sketch the locus of points representing complex numbers z satisfying the equation |z - u| = 1. Determine the least value of arg z for points on this locus. Give your answer in radians correct to 2 decimal places.
The complex number \(1 - (\sqrt{3})i\) is denoted by \(u\).
(i) Find the modulus and argument of \(u\).
(ii) Show that \(u^3 + 8 = 0\).
(iii) On a sketch of an Argand diagram, shade the region whose points represent complex numbers \(z\) satisfying both the inequalities \(|z - u| \leq 2\) and \(\text{Re } z \geq 2\), where \(\text{Re } z\) denotes the real part of \(z\).
(a) The complex number u is given by u = 8 - 15i. Showing all necessary working, find the two square roots of u. Give answers in the form a + ib, where the numbers a and b are real and exact.
(b) On an Argand diagram, shade the region whose points represent complex numbers satisfying both the inequalities \\(|z - 2 - i| \leq 2\\) and \\(0 \leq \arg(z - i) \leq \frac{1}{4}\pi\\).
(a) The complex numbers z and w satisfy the equations
\(z + (1+i)w = i\)
and
\((1-i)z + iw = 1\).
Solve the equations for z and w, giving your answers in the form x + iy, where x and y are real.
(b) The complex numbers u and v are given by \(u = 1 + (2\sqrt{3})i\) and \(v = 3 + 2i\). In an Argand diagram, u and v are represented by the points A and B. A third point C lies in the first quadrant and is such that \(BC = 2AB\) and angle \(\angle ABC = 90^\circ\). Find the complex number z represented by C, giving your answer in the form x + iy, where x and y are real and exact.
The complex number \(2 - i\) is denoted by \(u\).
(i) It is given that \(u\) is a root of the equation \(x^3 + ax^2 - 3x + b = 0\), where the constants \(a\) and \(b\) are real. Find the values of \(a\) and \(b\).
(ii) On a sketch of an Argand diagram, shade the region whose points represent complex numbers \(z\) satisfying both the inequalities \(|z - u| < 1\) and \(|z| < |z + i|\).
\(The complex numbers u and w are defined by u = -1 + 7i and w = 3 + 4i.\)
The polynomial \(z^4 + 3z^2 + 6z + 10\) is denoted by \(p(z)\). The complex number \(-1 + i\) is denoted by \(u\).
(i) Showing all your working, verify that \(u\) is a root of the equation \(p(z) = 0\).
(ii) Find the other three roots of the equation \(p(z) = 0\).
The complex number \(z\) is defined by \(z = (\sqrt{2}) - (\sqrt{6})i\). The complex conjugate of \(z\) is denoted by \(z^*\).
On an Argand diagram, shade the region whose points represent complex numbers \(z\) satisfying the inequalities \(|z - 2i| \leq |z + 2 - i|\) and \(0 \leq \arg(z + 1) \leq \frac{1}{4}\pi\).
(a) Solve the equation \((1 + 2i)w^2 + 4w - (1 - 2i) = 0\), giving your answers in the form \(x + iy\), where \(x\) and \(y\) are real.
(b) On a sketch of an Argand diagram, shade the region whose points represent complex numbers satisfying the inequalities \(|z - 1 - i| \leq 2\) and \(-\frac{\pi}{4} \leq \arg z \leq \frac{\pi}{4}\).
The complex numbers \(-1 + 3i\) and \(2 - i\) are denoted by \(u\) and \(v\) respectively. In an Argand diagram with origin \(O\), the points \(A, B\) and \(C\) represent the numbers \(u, v\) and \(u + v\) respectively.
(a) Showing all necessary working, solve the equation \(iz^2 + 2z - 3i = 0\), giving your answers in the form \(x + iy\), where \(x\) and \(y\) are real and exact.
(b) (i) On a sketch of an Argand diagram, show the locus representing complex numbers satisfying the equation \(|z| = |z - 4 - 3i|\).
(ii) Find the complex number represented by the point on the locus where \(|z|\) is least. Find the modulus and argument of this complex number, giving the argument correct to 2 decimal places.
(a) Showing all your working and without the use of a calculator, find the square roots of the complex number \(7 - (6\sqrt{2})i\). Give your answers in the form \(x + iy\), where \(x\) and \(y\) are real and exact.
(b) (i) On an Argand diagram, sketch the loci of points representing complex numbers \(w\) and \(z\) such that \(|w - 1 - 2i| = 1\) and \(\text{arg}(z - 1) = \frac{3}{4}\pi\).
(ii) Calculate the least value of \(|w - z|\) for points on these loci.
(a) Find the complex number z satisfying the equation \(z^* + 1 = 2iz\), where \(z^*\) denotes the complex conjugate of \(z\). Give your answer in the form \(x + iy\), where \(x\) and \(y\) are real.
(b) (i) On a sketch of an Argand diagram, shade the region whose points represent complex numbers satisfying the inequalities \(|z + 1 - 3i| \leq 1\) and \(\text{Im } z \geq 3\), where \(\text{Im } z\) denotes the imaginary part of \(z\).
(ii) Determine the difference between the greatest and least values of \(\arg z\) for points lying in this region.
(a) It is given that \((1 + 3i)w = 2 + 4i\). Showing all necessary working, prove that the exact value of \(|w^2|\) is 2 and find \(\arg(w^2)\) correct to 3 significant figures.
(b) On a single Argand diagram sketch the loci \(|z| = 5\) and \(|z - 5| = |z|\). Hence determine the complex numbers represented by points common to both loci, giving each answer in the form \(re^{i\theta}\).
The complex number 3 - i is denoted by u. Its complex conjugate is denoted by u*.
The complex number 1 - i is denoted by u.
(i) Showing your working and without using a calculator, express \(\frac{i}{u}\) in the form \(x + iy\), where \(x\) and \(y\) are real.
(ii) On an Argand diagram, sketch the loci representing complex numbers \(z\) satisfying the equations \(|z - u| = |z|\) and \(|z - i| = 2\).
(iii) Find the argument of each of the complex numbers represented by the points of intersection of the two loci in part (ii).
\(The complex number u is given by u = -1 + (4\sqrt{3})i.\)
The complex number w is defined by \(w = \frac{22 + 4i}{(2 - i)^2}\).
The complex number \(z\) is defined by \(z = \frac{5a - 2i}{3 + ai}\), where \(a\) is an integer. It is given that \(\arg z = -\frac{1}{4}\pi\).
(a) Find the value of \(a\) and hence express \(z\) in the form \(x + iy\), where \(x\) and \(y\) are real. [6]
(b) Express \(z^3\) in the form \(re^{i\theta}\), where \(r > 0\) and \(-\pi < \theta \leq \pi\). Give the simplified exact values of \(r\) and \(\theta\). [3]
\(The complex numbers w and z are defined by w = 5 + 3i and z = 4 + i.\)
(i) Express \(\frac{i w}{z}\) in the form x + iy, showing all your working and giving the exact values of x and y. [3]
(ii) Find wz and hence, by considering arguments, show that \(\arctan \left( \frac{3}{5} \right) + \arctan \left( \frac{1}{4} \right) = \frac{1}{4} \pi\). [4]
The complex numbers w and z satisfy the relation
\(w = \frac{z + i}{iz + 2}\).
(i) Given that \(z = 1 + i\), find \(w\), giving your answer in the form \(x + iy\), where \(x\) and \(y\) are real.
(ii) Given instead that \(w = z\) and the real part of \(z\) is negative, find \(z\), giving your answer in the form \(x + iy\), where \(x\) and \(y\) are real.
(a) The complex number \(\frac{3 - 5i}{1 + 4i}\) is denoted by \(u\). Showing your working, express \(u\) in the form \(x + iy\), where \(x\) and \(y\) are real.
(b) (i) On a sketch of an Argand diagram, shade the region whose points represent complex numbers satisfying the inequalities \(|z - 2 - i| \leq 1\) and \(|z - i| \leq |z - 2|\).
(ii) Calculate the maximum value of \(\arg z\) for points lying in the shaded region.
(a) It is given that \(-1 + (\sqrt{5})i\) is a root of the equation \(z^3 + 2z + a = 0\), where \(a\) is real. Showing your working, find the value of \(a\), and write down the other complex root of this equation.
(b) The complex number \(w\) has modulus 1 and argument \(2\theta\) radians. Show that \(\frac{w-1}{w+1} = i \tan \theta\).
The complex number \(z\) is defined by \(z = \frac{9\sqrt{3} + 9i}{\sqrt{3} - i}\). Find, showing all your working,
(i) an expression for \(z\) in the form \(re^{i\theta}\), where \(r > 0\) and \(-\pi < \theta \leq \pi\),
(ii) the two square roots of \(z\), giving your answers in the form \(re^{i\theta}\), where \(r > 0\) and \(-\pi < \theta \leq \pi\).
(a) Without using a calculator, use the formula for the solution of a quadratic equation to solve \((2 - i)z^2 + 2z + 2 + i = 0\). Give your answers in the form \(a + bi\).
(b) The complex number \(w\) is defined by \(w = 2e^{\frac{1}{4}\pi i}\). In an Argand diagram, the points \(A, B\) and \(C\) represent the complex numbers \(w, w^3\) and \(w^*\) respectively (where \(w^*\) denotes the complex conjugate of \(w\)). Draw the Argand diagram showing the points \(A, B\) and \(C\), and calculate the area of triangle \(ABC\).
(a) The complex numbers u and v satisfy the equations
\(u + 2v = 2i\) and \(iu + v = 3\).
Solve the equations for u and v, giving both answers in the form x + iy, where x and y are real.
(b) On an Argand diagram, sketch the locus representing complex numbers z satisfying \(|z + i| = 1\) and the locus representing complex numbers w satisfying \(\text{arg}(w - 2) = \frac{3}{4}\pi\). Find the least value of \(|z - w|\) for points on these loci.
The complex number z is defined by z = a + ib, where a and b are real. The complex conjugate of z is denoted by z*.
\(In an Argand diagram a set of points representing complex numbers z is defined by the equation |z - 10i| = 2|z - 4i|.\)
(a) The complex number \(w\) is such that \(\text{Re} \, w > 0\) and \(w + 3w^* = iw^2\), where \(w^*\) denotes the complex conjugate of \(w\). Find \(w\), giving your answer in the form \(x + iy\), where \(x\) and \(y\) are real.
(b) On a sketch of an Argand diagram, shade the region whose points represent complex numbers \(z\) which satisfy both the inequalities \(|z - 2i| \leq 2\) and \(0 \leq \arg(z + 2) \leq \frac{1}{4}\pi\). Calculate the greatest value of \(|z|\) for points in this region, giving your answer correct to 2 decimal places.
(a) Without using a calculator, solve the equation
\(3w + 2iw^* = 17 + 8i\),
where \(w^*\) denotes the complex conjugate of \(w\). Give your answer in the form \(a + bi\).
(b) In an Argand diagram, the loci
\(\arg(z - 2i) = \frac{1}{6}\pi\) and \(|z - 3| = |z - 3i|\)
intersect at the point \(P\). Express the complex number represented by \(P\) in the form \(re^{i\theta}\), giving the exact value of \(\theta\) and the value of \(r\) correct to 3 significant figures.
On a sketch of an Argand diagram, shade the region whose points represent complex numbers \(z\) satisfying the inequalities \(|z - 3 - i| \leq 3\) and \(|z| \geq |z - 4i|\).
(a) Without using a calculator, solve the equation \(iw^2 = (2 - 2i)^2\).
(b) (i) Sketch an Argand diagram showing the region \(R\) consisting of points representing the complex numbers \(z\) where \(|z - 4 - 4i| \leq 2\).
(ii) For the complex numbers represented by points in the region \(R\), it is given that \(p \leq |z| \leq q\) and \(\alpha \leq \arg z \leq \beta\). Find the values of \(p, q, \alpha\) and \(\beta\), giving your answers correct to 3 significant figures.
The complex number \(1 + (\sqrt{2})i\) is denoted by \(u\). The polynomial \(x^4 + x^2 + 2x + 6\) is denoted by \(p(x)\).
(a) The complex numbers u and w satisfy the equations
\(u - w = 4i\) and \(uw = 5\).
Solve the equations for u and w, giving all answers in the form x + iy, where x and y are real.
(b) (i) On a sketch of an Argand diagram, shade the region whose points represent complex numbers satisfying the inequalities \(|z - 2 + 2i| \leq 2\), \(\text{arg } z \leq -\frac{1}{4}\pi\) and \(\text{Re } z \geq 1\), where \(\text{Re } z\) denotes the real part of z.
(ii) Calculate the greatest possible value of \(\text{Re } z\) for points lying in the shaded region.
The complex number u is defined by
\(u = \frac{1 + 2i}{1 - 3i}\).
The complex number u is defined by \(u = \frac{(1 + 2i)^2}{2 + i}\).
\(The complex number w is defined by w = -1 + i.\)
(i) Find the modulus and argument of w2 and w3, showing your working.
(ii) The points in an Argand diagram representing w and w2 are the ends of a diameter of a circle. Find the equation of the circle, giving your answer in the form |z - (a + bi)| = k.
(a) Showing your working, find the two square roots of the complex number \(1 - (2\sqrt{6})i\). Give your answers in the form \(x + iy\), where \(x\) and \(y\) are exact.
(b) On a sketch of an Argand diagram, shade the region whose points represent the complex numbers \(z\) which satisfy the inequality \(|z - 3i| \leq 2\). Find the greatest value of \(\arg z\) for points in this region.
(i) Find the roots of the equation
\(z^2 + (2\sqrt{3})z + 4 = 0\),
giving your answers in the form \(x + iy\), where \(x\) and \(y\) are real.
(ii) State the modulus and argument of each root.
(iii) Showing all your working, verify that each root also satisfies the equation
\(z^6 = -64\).
(a) The complex number u is defined by \(u = \frac{5}{a + 2i}\), where the constant a is real.
(b) On a sketch of an Argand diagram, shade the region whose points represent complex numbers z which satisfy both the inequalities \(|z| < 2\) and \(|z| < |z - 2 - 2i|\).
The complex number u is defined by \(u = \frac{6 - 3i}{1 + 2i}\).
The complex number \(2 + yi\) is denoted by \(a\), where \(y\) is a real number and \(y < 0\). It is given that \(f(a) = a^3 - a^2 - 2a\).
(a) Find a simplified expression for \(f(a)\) in terms of \(y\).
(b) Given that \(\text{Re}(f(a)) = -20\), find \(\arg a\).
\(The complex number w is defined by w = 2 + i.\)
(i) Showing your working, express w2 in the form x + iy, where x and y are real. Find the modulus of w2.
(ii) Shade on an Argand diagram the region whose points represent the complex numbers z which satisfy \(|z - w^2| \leq |w^2|\).
The complex number z is given by
\(z = (3) + i\).
(a) The equation \(2x^3 - x^2 + 2x + 12 = 0\) has one real root and two complex roots. Showing your working, verify that \(1 + i\sqrt{3}\) is one of the complex roots. State the other complex root.
(b) On a sketch of an Argand diagram, show the point representing the complex number \(1 + i\sqrt{3}\). On the same diagram, shade the region whose points represent the complex numbers \(z\) which satisfy both the inequalities \(|z - 1 - i\sqrt{3}| \leq 1\) and \(\arg z \leq \frac{1}{3}\pi\).
The variable complex number \(z\) is given by
\(z = 1 + \\cos 2\theta + i \\sin 2\theta\),
where \(\theta\) takes all values in the interval \(-\frac{1}{2}\pi < \theta < \frac{1}{2}\pi\).
(i) Show that the modulus of \(z\) is \(2 \cos \theta\) and the argument of \(z\) is \(\theta\).
(ii) Prove that the real part of \(\frac{1}{z}\) is constant.
The complex number 2 + 2i is denoted by u.
(i) Find the modulus and argument of u.
(ii) Sketch an Argand diagram showing the points representing the complex numbers 1, i and u. Shade the region whose points represent the complex numbers z which satisfy both the inequalities \(|z - 1| \leq |z - i|\) and \(|z - u| \leq 1\).
(iii) Using your diagram, calculate the value of \(|z|\) for the point in this region for which \(\arg z\) is least.
The complex numbers \(-2 + i\) and \(3 + i\) are denoted by \(u\) and \(v\) respectively.
(i) Find, in the form \(x + iy\), the complex numbers
(a) \(u + v\),
(b) \(\frac{u}{v}\), showing all your working.
(ii) State the argument of \(\frac{u}{v}\).
In an Argand diagram with origin \(O\), the points \(A, B\) and \(C\) represent the complex numbers \(u, v\) and \(u + v\) respectively.
(iii) Prove that angle \(AOB = \frac{3}{4}\pi\).
(iv) State fully the geometrical relationship between the line segments \(OA\) and \(BC\).
The complex number \(-2 + i\) is denoted by \(u\).
(i) Given that \(u\) is a root of the equation \(x^3 - 11x - k = 0\), where \(k\) is real, find the value of \(k\).
(ii) Write down the other complex root of this equation.
(iii) Find the modulus and argument of \(u\).
(iv) Sketch an Argand diagram showing the point representing \(u\). Shade the region whose points represent the complex numbers \(z\) satisfying both the inequalities \(|z| < |z - 2|\) and \(0 < \arg(z - u) < \frac{1}{4}\pi\).
(i) Solve the equation \(z^2 + (2\sqrt{3})iz - 4 = 0\), giving your answers in the form \(x + iy\), where \(x\) and \(y\) are real.
(ii) Sketch an Argand diagram showing the points representing the roots.
(iii) Find the modulus and argument of each root.
(iv) Show that the origin and the points representing the roots are the vertices of an equilateral triangle.
The complex number w is given by \(w = -\frac{1}{2} + i \frac{\sqrt{3}}{2}\).
The variable complex number \(z\) is given by
\(z = 2 \cos \theta + i(1 - 2 \sin \theta)\),
where \(\theta\) takes all values in the interval \(-\pi < \theta \leq \pi\).
(i) Show that \(|z - i| = 2\), for all values of \(\theta\). Hence sketch, in an Argand diagram, the locus of the point representing \(z\).
(ii) Prove that the real part of \(\frac{1}{z + 2 - i}\) is constant for \(-\pi < \theta < \pi\).