Exam-Style Problems

โฌ… Back to Subchapter
Browsing as Guest. Progress, bookmarks and attempts are disabled. Log in to track your work.
Nov 2011 p31 q1
1562

Using the substitution \(u = e^x\), or otherwise, solve the equation

\(e^x = 1 + 6e^{-x}\),

giving your answer correct to 3 significant figures.

Log in to record attempts.
June 2008 p3 q2
1563

Solve, correct to 3 significant figures, the equation

\(e^x + e^{2x} = e^{3x}\).

Log in to record attempts.
Feb/Mar 2023 p32 q1
1564

It is given that \(x = \ln(2y - 3) - \ln(y + 4)\).

Express \(y\) in terms of \(x\).

Log in to record attempts.
Nov 2019 p31 q1
1565

Given that \(\ln(1 + e^{2y}) = x\), express \(y\) in terms of \(x\).

Log in to record attempts.
Nov 2016 p33 q1
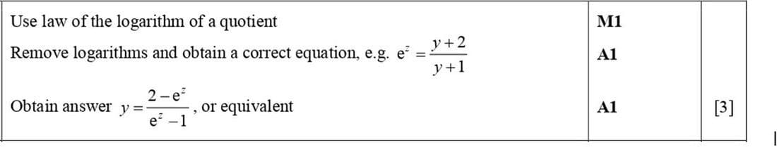
1566

It is given that \(z = \ln(y+2) - \ln(y+1)\). Express \(y\) in terms of \(z\).

Log in to record attempts.
โฌ… Back to Subchapter Load more