Exam-Style Problems

โฌ… Back to Subchapter
Browsing as Guest. Progress, bookmarks and attempts are disabled. Log in to track your work.
June 2002 p3 q4
1819

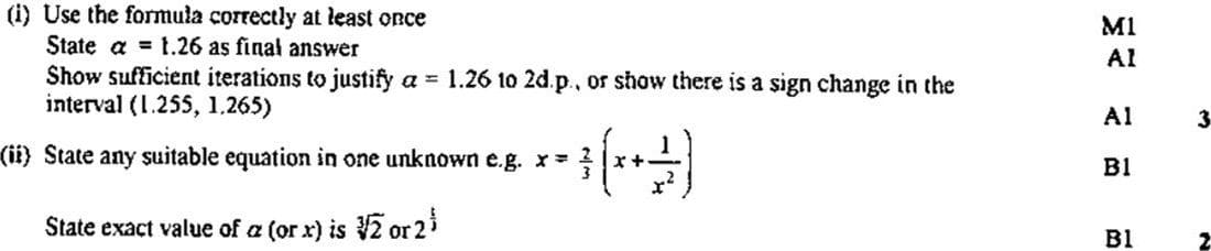
The sequence of values given by the iterative formula \(x_{n+1} = \frac{2}{3} \left( x_n + \frac{1}{x_n^2} \right)\), with initial value \(x_1 = 1\), converges to \(\alpha\).

(i) Use this formula to find \(\alpha\) correct to 2 decimal places, showing the result of each iteration.

(ii) State an equation satisfied by \(\alpha\), and hence find the exact value of \(\alpha\).

Log in to record attempts.
June 2020 p32 q9
1820

The diagram shows the curves \(y = \cos x\) and \(y = \frac{k}{1+x}\), where \(k\) is a constant, for \(0 \leq x \leq \frac{1}{2}\pi\). The curves touch at the point where \(x = p\).

(a) Show that \(p\) satisfies the equation \(\tan p = \frac{1}{1+p}\).

(b) Use the iterative formula \(p_{n+1} = \arctan\left(\frac{1}{1+p_n}\right)\) to determine the value of \(p\) correct to 3 decimal places. Give the result of each iteration to 5 decimal places.

(c) Hence find the value of \(k\) correct to 2 decimal places.

problem image 1820
Log in to record attempts.
June 2019 p33 q6
1821

The diagram shows the curve \(y = x^4 - 2x^3 - 7x - 6\). The curve intersects the \(x\)-axis at the points \((a, 0)\) and \((b, 0)\), where \(a < b\). It is given that \(b\) is an integer.

  1. Find the value of \(b\).
  2. Hence show that \(a\) satisfies the equation \(a = -\frac{1}{3}(2 + a^2 + a^3)\).
  3. Use an iterative formula based on the equation in part (ii) to determine \(a\) correct to 3 decimal places. Give the result of each iteration to 5 decimal places.
problem image 1821
Log in to record attempts.
Feb/Mar 2019 p32 q2
1822

The sequence of values given by the iterative formula

\(x_{n+1} = \frac{2x_n^6 + 12x_n}{3x_n^5 + 8}\),

with initial value \(x_1 = 2\), converges to \(\alpha\).

(i) Use the formula to calculate \(\alpha\) correct to 4 decimal places. Give the result of each iteration to 6 decimal places. [3]

(ii) State an equation satisfied by \(\alpha\) and hence find the exact value of \(\alpha\). [2]

Log in to record attempts.
Nov 2017 p31 q3
1823

The equation \(x^3 = 3x + 7\) has one real root, denoted by \(\alpha\).

(i) Show by calculation that \(\alpha\) lies between 2 and 3.

Two iterative formulae, \(A\) and \(B\), derived from this equation are as follows:

\(x_{n+1} = (3x_n + 7)^{\frac{1}{3}}\), \quad (A)

\(x_{n+1} = \frac{x_n^3 - 7}{3}\). \quad (B)

Each formula is used with initial value \(x_1 = 2.5\).

(ii) Show that one of these formulae produces a sequence which fails to converge, and use the other formula to calculate \(\alpha\) correct to 2 decimal places. Give the result of each iteration to 4 decimal places.

Log in to record attempts.
โฌ… Back to Subchapter Load more