(i) To express \(f(x) = 2x^2 - 8x + 10\) in the form \(a(x+b)^2 + c\), complete the square:
\(f(x) = 2(x^2 - 4x) + 10\)
\(= 2((x-2)^2 - 4) + 10\)
\(= 2(x-2)^2 - 8 + 10\)
\(= 2(x-2)^2 + 2\)
(ii) The vertex form \(2(x-2)^2 + 2\) shows the minimum value is 2 when \(x = 2\), and the maximum value is 10 when \(x = 0\). Thus, the range is \(2 \leq f(x) \leq 10\).
(iii) The range of \(f\) is \(2 \leq f(x) \leq 10\), so the domain of \(f^{-1}\) is \(2 \leq x \leq 10\).
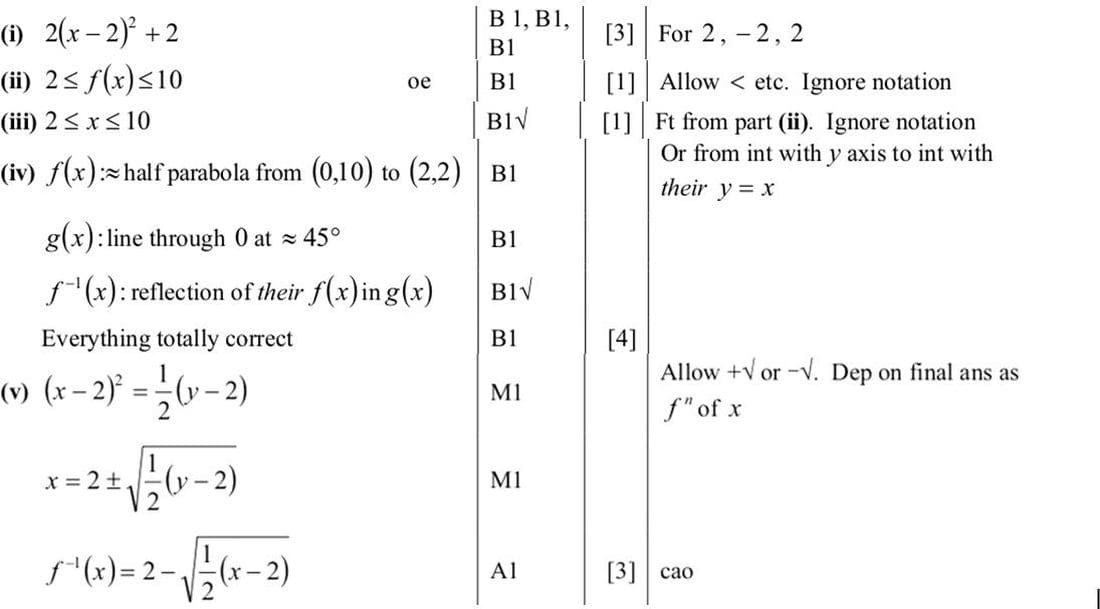
(iv) The graph of \(f(x)\) is a half parabola from (0,10) to (2,2). The graph of \(g(x)\) is a line through the origin at 45°. The graph of \(f^{-1}(x)\) is the reflection of \(f(x)\) in \(g(x)\).
(v) To find \(f^{-1}(x)\), start from \(y = 2(x-2)^2 + 2\):
\((x-2)^2 = \frac{1}{2}(y-2)\)
\(x = 2 \pm \sqrt{\frac{1}{2}(y-2)}\)
Since \(f(x)\) is decreasing on \(0 \leq x \leq 2\), choose the negative root:
\(f^{-1}(x) = 2 - \sqrt{\frac{1}{2}(x-2)}\)