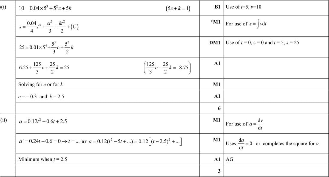
(i) Given \(v = 0.04t^3 + ct^2 + kt\), at \(t = 5\), \(v = 10\).
\(10 = 0.04(5)^3 + c(5)^2 + 5k\)
\(10 = 0.04 \times 125 + 25c + 5k\)
\(10 = 5 + 25c + 5k\)
\(5c + k = 1\)
For distance, \(s = \int v \, dt = \frac{0.04}{4}t^4 + \frac{c}{3}t^3 + \frac{k}{2}t^2 + C\)
At \(t = 0, s = 0\), so \(C = 0\).
At \(t = 5, s = 25\):
\(25 = 0.01(5)^4 + \frac{125}{3}c + \frac{25}{2}k\)
\(25 = 0.01 \times 625 + \frac{125}{3}c + \frac{25}{2}k\)
\(25 = 6.25 + \frac{125}{3}c + \frac{25}{2}k\)
\(\frac{125}{3}c + \frac{25}{2}k = 18.75\)
Solving \(5c + k = 1\) and \(\frac{125}{3}c + \frac{25}{2}k = 18.75\) gives \(c = -0.3\) and \(k = 2.5\).
(ii) Acceleration \(a = \frac{dv}{dt} = 0.12t^2 - 0.6t + 2.5\).
To find minimum acceleration, set \(\frac{da}{dt} = 0\):
\(a' = 0.24t - 0.6 = 0\)
\(t = 2.5\)
Completing the square for \(a = 0.12(t^2 - 5t + ...) = 0.12((t - 2.5)^2 + ...)\) confirms minimum at \(t = 2.5\).