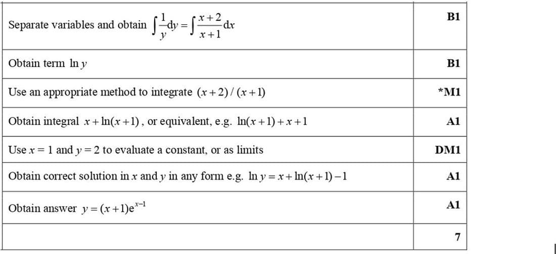
The variables x and y satisfy the differential equation
\((x+1) \frac{dy}{dx} = y(x+2),\)
and it is given that \(y = 2\) when \(x = 1\). Solve the differential equation and obtain an expression for \(y\) in terms of \(x\).
Solution
Separate variables:
\(\int \frac{1}{y} \, dy = \int \frac{x+2}{x+1} \, dx\)
Integrate both sides:
\(\ln y = x + \ln(x+1) + C\)
Use the initial condition \(y = 2\) when \(x = 1\):
\(\ln 2 = 1 + \ln(1+1) + C\)
\(\ln 2 = 1 + \ln 2 + C\)
\(C = -1\)
Substitute back to find \(y\):
\(\ln y = x + \ln(x+1) - 1\)
\(y = e^{x + \ln(x+1) - 1}\)
\(y = (x+1)e^{x-1}\)
Log in to record attempts.