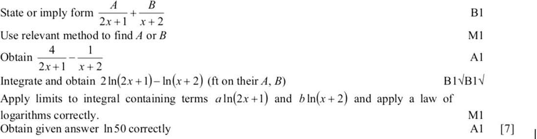
First, express \(\frac{2x + 7}{(2x + 1)(x + 2)}\) as partial fractions:
\(\frac{2x + 7}{(2x + 1)(x + 2)} = \frac{A}{2x + 1} + \frac{B}{x + 2}\).
Multiply through by \((2x + 1)(x + 2)\) to clear the denominators:
\(2x + 7 = A(x + 2) + B(2x + 1)\).
Expanding gives:
\(2x + 7 = Ax + 2A + 2Bx + B\).
Combine like terms:
\(2x + 7 = (A + 2B)x + (2A + B)\).
Equating coefficients, we get:
\(A + 2B = 2\)
\(2A + B = 7\).
Solving these equations, we find:
\(A = 4\), \(B = -1\).
Thus, \(\frac{2x + 7}{(2x + 1)(x + 2)} = \frac{4}{2x + 1} - \frac{1}{x + 2}\).
Now integrate each term separately:
\(\int \left( \frac{4}{2x + 1} - \frac{1}{x + 2} \right) \, dx = 2 \ln |2x + 1| - \ln |x + 2| + C\).
Apply the limits from 0 to 7:
\(\left[ 2 \ln |2x + 1| - \ln |x + 2| \right]_0^7\).
Calculate at the upper limit (7):
\(2 \ln |15| - \ln |9| = 2 \ln 15 - \ln 9\).
Calculate at the lower limit (0):
\(2 \ln |1| - \ln |2| = 0 - \ln 2\).
Subtract the lower limit from the upper limit:
\((2 \ln 15 - \ln 9) - (0 - \ln 2) = 2 \ln 15 - \ln 9 + \ln 2\).
Simplify using logarithm properties:
\(2 \ln 15 - \ln 9 + \ln 2 = \ln \left( \frac{15^2 \cdot 2}{9} \right) = \ln 50\).