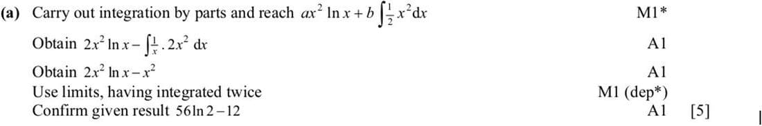
To solve \(\int_{2}^{4} 4x \ln x \, dx\), we use integration by parts.
Let \(u = \ln x\) and \(dv = 4x \, dx\). Then \(du = \frac{1}{x} \, dx\) and \(v = 2x^2\).
Using integration by parts, \(\int u \, dv = uv - \int v \, du\), we have:
\(\int 4x \ln x \, dx = 2x^2 \ln x - \int 2x^2 \cdot \frac{1}{x} \, dx\).
Simplifying the integral, \(\int 2x^2 \cdot \frac{1}{x} \, dx = \int 2x \, dx = x^2\).
Thus, \(\int 4x \ln x \, dx = 2x^2 \ln x - x^2\).
Evaluate from 2 to 4:
\(\left[ 2x^2 \ln x - x^2 \right]_{2}^{4} = \left( 2(4)^2 \ln 4 - (4)^2 \right) - \left( 2(2)^2 \ln 2 - (2)^2 \right)\).
Calculate each part:
For \(x = 4\): \(2(16) \ln 4 - 16 = 32 \ln 4 - 16\).
For \(x = 2\): \(2(4) \ln 2 - 4 = 8 \ln 2 - 4\).
Combine results:
\((32 \ln 4 - 16) - (8 \ln 2 - 4) = 32 \ln 4 - 16 - 8 \ln 2 + 4\).
\(= 32 \ln 4 - 8 \ln 2 - 12\).
Since \(\ln 4 = 2 \ln 2\), substitute:
\(= 32(2 \ln 2) - 8 \ln 2 - 12\).
\(= 64 \ln 2 - 8 \ln 2 - 12\).
\(= 56 \ln 2 - 12\).
Thus, the given result is confirmed: \(56 \ln 2 - 12\).