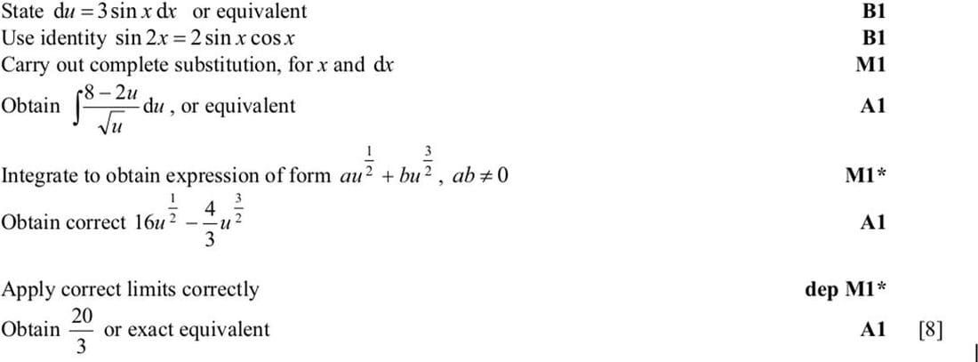
Let \(u = 4 - 3 \cos x\). Then, \(du = 3 \sin x \, dx\).
Using the identity \(\sin 2x = 2 \sin x \cos x\), we have:
\(\int \frac{9 \sin 2x}{\sqrt{4 - 3 \cos x}} \, dx = \int \frac{18 \sin x \cos x}{\sqrt{u}} \, dx\).
Substitute \(dx = \frac{du}{3 \sin x}\), so:
\(\int \frac{18 \sin x \cos x}{\sqrt{u}} \cdot \frac{du}{3 \sin x} = \int \frac{6 \cos x}{\sqrt{u}} \, du\).
Since \(\cos x = \frac{4 - u}{3}\), the integral becomes:
\(\int \frac{6 \left(\frac{4 - u}{3}\right)}{\sqrt{u}} \, du = \int \frac{8 - 2u}{\sqrt{u}} \, du\).
Integrate to obtain:
\(\int \frac{8}{\sqrt{u}} \, du - \int \frac{2u}{\sqrt{u}} \, du = 16u^{\frac{1}{2}} - \frac{4}{3}u^{\frac{3}{2}}\).
Apply the limits from \(x = 0\) to \(x = \frac{1}{2}\pi\):
When \(x = 0, u = 4 - 3 \cdot 1 = 1\).
When \(x = \frac{1}{2}\pi, u = 4 - 3 \cdot 0 = 4\).
Evaluate:
\(\left[ 16u^{\frac{1}{2}} - \frac{4}{3}u^{\frac{3}{2}} \right]_1^4 = \left( 16 \cdot 2 - \frac{4}{3} \cdot 8 \right) - \left( 16 \cdot 1 - \frac{4}{3} \cdot 1 \right)\).
\(= (32 - \frac{32}{3}) - (16 - \frac{4}{3})\).
\(= \frac{64}{3} - \frac{44}{3} = \frac{20}{3}\).