June 2012 p31 q1
1522
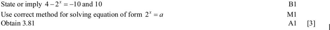
Solve the equation \(|4 - 2^x| = 10\), giving your answer correct to 3 significant figures.
Solution
The equation given is \(|4 - 2^x| = 10\). This implies two cases:
1. \(4 - 2^x = 10\)
2. \(4 - 2^x = -10\)
For the first case:
\(4 - 2^x = 10\)
\(-2^x = 10 - 4\)
\(-2^x = 6\)
This case is not possible as \(2^x\) is always positive.
For the second case:
\(4 - 2^x = -10\)
\(-2^x = -10 - 4\)
\(-2^x = -14\)
\(2^x = 14\)
Taking logarithms on both sides:
\(x \log 2 = \log 14\)
\(x = \frac{\log 14}{\log 2}\)
Calculating the value:
\(x \approx 3.81\)
Log in to record attempts.