Solve the equation \(\frac{3^x + 2}{3^x - 2} = 8\), giving your answer correct to 3 decimal places.
Solution
Start with the equation:
\(\frac{3^x + 2}{3^x - 2} = 8\)
Cross-multiply to eliminate the fraction:
\(3^x + 2 = 8(3^x - 2)\)
Expand the right side:
\(3^x + 2 = 8 \times 3^x - 16\)
Rearrange to isolate terms involving \(3^x\):
\(3^x + 2 = 8 \times 3^x - 16\)
\(2 + 16 = 8 \times 3^x - 3^x\)
\(18 = 7 \times 3^x\)
Divide both sides by 7:
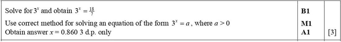
\(3^x = \frac{18}{7}\)
Take the logarithm of both sides:
\(x \log 3 = \log \left( \frac{18}{7} \right)\)
Solve for \(x\):
\(x = \frac{\log \left( \frac{18}{7} \right)}{\log 3}\)
Calculate \(x\) to 3 decimal places:
\(x \approx 0.860\)
Log in to record attempts.