(i) To find \(\frac{dy}{dx}\), differentiate \(y = \sqrt{4x+1} + \frac{9}{\sqrt{4x+1}}\).
\(\frac{dy}{dx} = \frac{1}{2}(4x+1)^{-\frac{1}{2}} \times 4 + \frac{9}{2}(4x+1)^{-\frac{3}{2}} \times (-4)\)
\(= \frac{2}{\sqrt{4x+1}} - \frac{18}{(4x+1)^{\frac{3}{2}}}\)
To find \(\int y \, dx\), integrate \(y = \sqrt{4x+1} + \frac{9}{\sqrt{4x+1}}\).
\(\int y \, dx = \int (4x+1)^{\frac{1}{2}} \, dx + \int \frac{9}{(4x+1)^{\frac{1}{2}}} \, dx\)
\(= \frac{(4x+1)^{\frac{3}{2}}}{6} + \frac{9}{2}(4x+1)^{\frac{1}{2}} + C\)
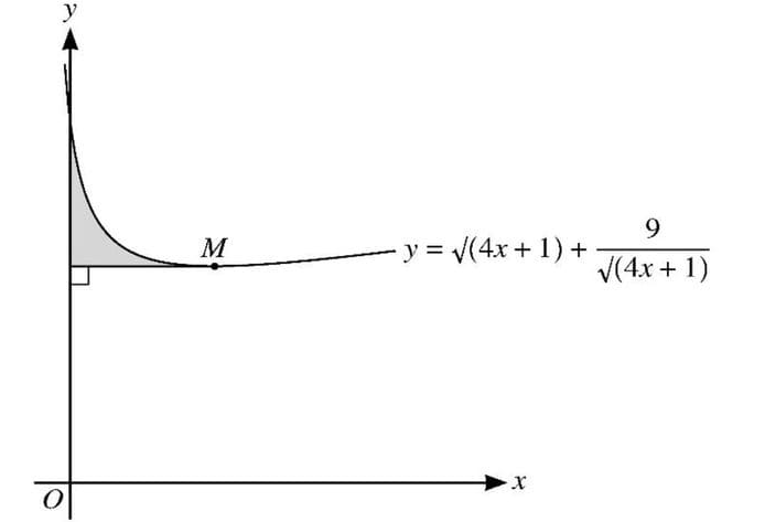
(ii) To find the coordinates of \(M\), set \(\frac{dy}{dx} = 0\).
\(\frac{2}{\sqrt{4x+1}} - \frac{18}{(4x+1)^{\frac{3}{2}}} = 0\)
\(4x+1 = 9\) or \((4x+1)^2 = 81\)
\(x = 2, y = 6\) so \(M = (2, 6)\)
(iii) The area is \(\int y \, dx\) from 0 to 2.
\(\left[ \frac{(4x+1)^{\frac{3}{2}}}{6} + \frac{9}{2}(4x+1)^{\frac{1}{2}} \right]_0^2\)
\(= [4.5 + 13.5] - [\frac{1}{6} + 4.5] = \frac{4}{3}\) or 1.33